201805技术员上午真题
第 1 题
以下关于数据处理的叙述中,不正确的是( )。
- (A) 数据处理不仅能预测不久的未来,有时还能影响未来
- (B) 数据处理和数据分析可以为决策提供真知灼见
- (C) 数据处理的重点应从技术角度去发现和解释数据蕴涵的意义
- (D) 数据处理是从现实世界到数据,再从数据到现实世界的过程
答案与解析
- 试题难度:一般
- 知识点:信息处理技术基础知识>信息处理与信息处理实务>信息处理的基本概念
- 试题答案:[['C']]
- 试题解析:本题考查信息处理基础知识。
数据处理的基本目的是从大量的、可能是杂乱无章的、难以理解的数据中抽取并推导出对于某些特定的人们来说是有价值、有意义的数据。数据处理的重点应从业务角度去发现和解释数据蕴含的意义。
第 2 题
“互联网+制造”是实施《中国制造2025》的重要措施。以下对“互联网+制造”主要特征的叙述中,不正确的是( )。
- (A) 数字技术得到普遍应用,设计和研发实现协同与共享
- (B) 通过系统集成,打通整个制造系统的数据流、信息流
- (C) 企业生产将从以用户为中心向以产品为中心转型
- (D) 企业、产品和用户通过网络平台实现联接和交互
答案与解析
- 试题难度:一般
- 知识点:计算机网络应用基础知识>网络新技术>其他技术
- 试题答案:[['C']]
- 试题解析:本题考查信息的相关概念。
一、产品为中心,这是销售部做的事,主要是由推销员把本公司已做好的产品,想办法卖给客户。
二、以客户为中心,这是营销活动,公司的很多的部门都要参与,在产品生产之前要先了解公司的潜在客户所需要什么产品,再统计出需求的比较大的产品,再生产销售。
销售是一种相对被动的方式,在现代的市场经济体制下,不太适应市场的灵活性。因此现阶段应该是从产品为中心向以用户为中心进行转型。
第 3 题
信息技术对传统教育方式带来了深刻的变化。以下叙述中,不正确的是( )。
- (A) 学习者可以克服时空障碍,实现随时、随地、随愿学习
- (B) 给学习者提供宽松的、内容丰富的、个性化的学习环境
- (C) 通过信息技术与学科教学的整合,激发学生的学习兴趣
- (D) 教育信息化的发展使学校各学科全部转型为电子化教育
答案与解析
- 试题难度:容易
- 知识点:信息处理技术基础知识>信息与信息技术>信息化和信息社会
- 试题答案:[['D']]
- 试题解析:本题考查信息的相关概念。
这里全部转型错误,虽然很多学科教育转化为了电子化教育,但是并不是所有都转化了。
第 4 题
n=1,2,3,…,100时,[n/3]共有( )个不同的数([a]表示a的整数部分,例如[3.14]=3)。
- (A) 33
- (B) 34
- (C) 35
- (D) 100
答案与解析
- 试题难度:一般
- 知识点:信息处理技术基础知识>初等数学基础>其他初等数学题
- 试题答案:[['B']]
- 试题解析:本题考查初等数学基础知识。
1-100除以3的值是从0-33,故总共有34个不同的数。
第 5 题
某工厂共40人参加技能考核,平均成绩80分,其中男工平均成绩83分,女工平均成绩78分。该工厂参加技能考核的女工有( )人。
- (A) 16
- (B) 18
- (C) 20
- (D) 24
答案与解析
- 试题难度:一般
- 知识点:信息处理技术基础知识>初等数学基础>代数与等式
- 试题答案:[['D']]
- 试题解析:本题考查初等数学基础知识。
设男工x人,女工人数就是40-x人,那么有:4080=83x+78*(40-x),得到x=16,那么女工人数是40-16=24人。
第 6 题
(a+b-|a-b|)/2=( )。
- (A) a
- (B) b
- (C) min(a,b)
- (D) max(a,b)
答案与解析
- 试题难度:一般
- 知识点:信息处理技术基础知识>初等数学基础>其他初等数学题
- 试题答案:[['C']]
- 试题解析:
本题考查初等数学基础知识。
先看|a-b|这里是进行绝对值的运算,如果a>b,则是a-b,如果a<b,则是b-a。那么可以分情况讨论。1)如果a>b,(a+b-|a-b|)/2=(a+b-(a-b))/2=2b/2=b;如果a<b,(a+b-(b-a))/2=2a/2=a,因此可以发现这个是保留了其中较小的值。
第 7 题
在信息收集过程中,需要根据项目的目标把握数据( )要求,既不要纳入过多无关的数据,也不要短缺主要的数据:既不要过于简化,也不要过于繁琐。
- (A) 适用性
- (B) 准确性
- (C) 安全性
- (D) 及时性
答案与解析
- 试题难度:一般
- 知识点:信息处理技术基础知识>信息处理与信息处理实务>信息处理的基本概念
- 试题答案:[['A']]
- 试题解析:本题考查信息的相关概念。
统计数据是经济社会发展的晴雨表,统计数据质量是统计工作的生命。统计数据质量从使用的要求上看,取决于准确性、及时性和完整性。准确性是统计数据质量在统计信息客观真实性方面的体现,是统计数据使用者的首要要求。及时性是统计数据质量在统计信息的时间价值上的体现,是对统计数据形成和提供的高速度、快节奏、强效率的要求。完整性或适用性是统计数据在统计信息的内容含量上的体现,就是要求统计部门提供的统计数据在内容上应该包括使用者所需的所有项目,不能残缺不全,主要是根据数据的用途,检查数据解释说明问题的程度。具体包括数据与调查主题、与目标总体的界定、与调查项目的解释等是否匹配。
第 8 题
许多企业常把大量暂时不用的过期数据分类归档转存于( )中。
- (A) ROM
- (B) 移动硬盘
- (C) cache
- (D) RAM
答案与解析
- 试题难度:容易
- 知识点:计算机系统基础知识>计算机硬件基础知识>存储系统
- 试题答案:[['B']]
- 试题解析:本题考查存储器的相关知识。
如果有大量暂时不用的过期数据最好放在移动硬盘里面。
第 9 题
信息传递的三个基本环节中,信息接收者称为( )。
- (A) 信源
- (B) 信道
- (C) 信标
- (D) 信宿
答案与解析
- 试题难度:容易
- 知识点:信息处理技术基础知识>信息处理与信息处理实务>信息处理的基本概念
- 试题答案:[['D']]
- 试题解析:本题考查信息的基本知识。
信息的接收者叫做信宿,信息的发生者叫做信源,信息的传播渠道叫做信道。
第 10 题
数据处理过程中,影响数据精度的因素不包括( )。
- (A) 显示器的分辨率
- (B) 收集数据的准确度
- (C) 数据的类型
- (D) 对小数位数的指定
答案与解析
- 试题难度:容易
- 知识点:信息处理技术基础知识>信息处理与信息处理实务>其他
- 试题答案:[['A']]
- 试题解析:本题考查信息的基本知识。
显示器的分辨率只是影响显示效果,与数据的精度没有关系。
第 11 题
某商场记录(统计)销售情况的数据库中,对每一种商品采用了国家统一的商品编码。这种做法的好处不包括( )。
- (A) 节省存储量
- (B) 确保唯一性
- (C) 便于人识别
- (D) 便于计算机处理
答案与解析
- 试题难度:一般
- 知识点:信息处理技术基础知识>信息处理与信息处理实务>数据处理方法
- 试题答案:[['C']]
- 试题解析:
本题考查信息的基本知识。
对于商品编码,采用了数字来表示编码,而这些数字可能只有细微的区别,是不方便人进行识别的。
第 12 题
某地区对高二学生举行了一次数学统考,并按“成绩—人数”绘制了分布曲线。考试成绩呈( ),分布比较合理。
- (A) 比较平坦的均匀分布
- (B) 两头高中间低的凹型分布
- (C) 大致逐渐降低的分布
- (D) 两头低中间高的正态分布
答案与解析
- 试题难度:一般
- 知识点:信息处理技术基础知识>初等数学基础>统计图表知识
- 试题答案:[['D']]
- 试题解析:本题考查信息的基本知识。
一般情况下,成绩位于中间段的分数会比较多,分数往低和分数往高的人会越来越少。所以呈现的两头低中间高的正态分布。
第 13 题
数据分析工具的( )特性是指它能导入和导出各种常见格式的数据文件或分析结果。
- (A) 硬件兼容性
- (B) 软件兼容性
- (C) 数据兼容性
- (D) 应用兼容性
答案与解析
- 试题难度:一般
- 知识点:信息处理技术基础知识>信息处理与信息处理实务>其他
- 试题答案:[['C']]
- 试题解析:本题考查数据处理基础知识。
衡量软件好坏有以下几点:
数据兼容性:软件是否提供对其他常用数据格式的支持。例如办公软件是否支持常用的DOC、WPS等文件格式,支持的程度如何,即可否完全正确的读出这些格式的文件。
软件兼容性:主要考查两项内容:一是软件运行需要哪些其他应用软件的支持,二是判断与其他常用软件如MS OFFICE,反病毒软件一起使用,是否造成其他软件运行错误或软件本身不能正确实现其功能。
硬件兼容性:考查软件对运行的硬件环境有无特殊说明,如对计算机的型号,网卡的型号、声卡的型号、显卡的型号等有无特别的声明,有些软件可能在不同的硬件环境中,出现不同的运行结果或是根本就不能执行。
能导入和导出各种常见格式的数据文件或分析结果这个描述属于数据兼容性。
第 14 题
某数字校园平台的系统架构包括用户层和以下四层。制作各种可视化图表的工具属于( )。
- (A) 基础设施层
- (B) 支撑平台层
- (C) 应用层
- (D) 表现层
答案与解析
- 试题难度:一般
- 知识点:计算机系统基础知识>计算机软件的基础知识>计算机的层级划分
- 试题答案:[['D']]
- 试题解析:本题考查信息的基础知识。
1、基础层基础设施层是整个项目的基础支撑,提供各类业务系统的远行环境,包括硬件环境、网络环境和软件环境等,包括服务器、存储设备、网络设备、安全设备、数据库、操作系统、中间件、负载均衡等。
2、支撑平台层应用支撑层是通过总线技术,封装各类通用服务和组件,为项目建设提供应用支撑框架和底层通用服务,以应用系统和应用构件为基础,主要由服务总线、通用服务组件和业务服务组件等组成,各类组件包括统一认证服务、统一用户管理、日志服务、数据推送服务、元数据管理、信息资源目录服务、查询服务等。
3、应用系统层根据项目要求,建立各类与数据处理相关的业务信息系统,主要包括学生档案管理系统、学生选课管理系统、统计分析系统等。
4、表现层要解决放置的事情。表现层则要解决并弥补“产品框架层的逻辑排布”的感知呈现问题。通过关注视觉设计,我们决定信息设计的安排在视觉上应该如何呈现。
5、用户层是主要包括使用各业务系统的用户,本项目中涉及到的用户包括学生、教职工、管理人员、研究人员等。
第 15 题
微机CPU的主要性能指标不包括( )。
- (A) 主频
- (B) 字长
- (C) 芯片尺寸
- (D) 运算速度
答案与解析
- 试题难度:一般
- 知识点:计算机系统基础知识>计算机系统概述>性能指标
- 试题答案:[['C']]
- 试题解析:本题考查计算机系统基础知识。
计算机的用途不同,对其不同部件的性能指标要求也有所不同。用作科学计算为主的计算机,其对主机的运算速度要求很高;用作大型数据库处理为主的计算机,其对主机的内存容量、存取速度和外存储器的读写速度要求较高;对于用作网络传输的计算机,则要求有很高的I/O速度,因此应当有高速的I/O总线和相应的I/O接口。
计算机的运算速度常用每秒钟执行的指令数来衡量,单位为每秒百万条指令(MIPS)或者每秒百万条浮点指令(MFPOPS)。影响运算速度的主要有如下几个因素:
①CPU的主频。指计算机的时钟频率。它在很大程度上决定了计算机的运算速度。例如Intel公司的CPU主频最高已达3.20GHz以上,AMD公司的可达400MHz以上。
②字长。CPU进行运算和数据处理的最基本、最有效的信息位长度。PC的字长已由8088的准16位(运算用16位,I/O用8位)发展到现在的32位、64位。
③指令系统的合理性。每种机器都设计了一套指令,一般均有数十条到上百条,例如,加、浮点加、逻辑与、跳转等等,组成了指令系统。
第 16 题
I/O设备表示( )。
- (A) 录音播放设备
- (B) 输入输出设备
- (C) 录像播放设备
- (D) 扫描复印设备
答案与解析
- 试题难度:容易
- 知识点:计算机系统基础知识>计算机硬件基础知识>I/O设备
- 试题答案:[['B']]
- 试题解析:本题考查计算机系统基础知识。
I/O表示的是Input/Output 输入/输出设备。
第 17 题
以下设备中,( )属于输出设备。
- (A) 扫描仪
- (B) 键盘
- (C) 鼠标
- (D) 打印机
答案与解析
- 试题难度:容易
- 知识点:计算机系统基础知识>计算机硬件基础知识>I/O设备
- 试题答案:[['D']]
- 试题解析:本题考查计算机系统基础知识。
扫描仪、键盘和鼠标都属于输入设备,只有打印机属于输出设备。
第 18 题
( )不属于基础软件。
- (A) 操作系统
- (B) 办公软件
- (C) 计算机辅助设计软件
- (D) 通用数据库系统
答案与解析
- 试题难度:一般
- 知识点:计算机系统基础知识>计算机软件的基础知识>软件基础知识
- 试题答案:[['C']]
- 试题解析:本题考查计算机软件基础知识。
基础软件是指大多数计算机上普遍安装的通用软件,例如,操作系统、浏览器、办公软件、数据库管理软件等。计算机辅助设计软件属于特定应用领域需要安装的软件,不属于基础软件。
第 19 题
以下文件类型中,( )表示视频文件。
- (A) wav
- (B) avi
- (C) jpg
- (D) gif
答案与解析
- 试题难度:一般
- 知识点:计算机系统基础知识>多媒体基础知识>动画/视频
- 试题答案:[['B']]
- 试题解析:本题考查多媒体基础知识。
其中wav是声音文件,jpg和gif是图像文件,只有avi是视频文件。主要的视频格式有:avi、.mov、.qt、.rm/.rmvb、.mpeg、.mpg、.dat、.mp4、.fli、.foc等。
第 20 题
以下关于 Windows7文件名的叙述中,( )是正确的。
- (A) 文件名中间可包含换行符
- (B) 文件名中可以有多种字体
- (C) 文件名中可以有多种字号
- (D) 文件名中可以有汉字和字母
答案与解析
- 试题难度:容易
- 知识点:操作系统知识>文件系统的相关概念及操作>文件管理操作方法
- 试题答案:[['D']]
- 试题解析:本题考查Windows的基本知识。
在Windows中,不包含换行符,没有字体和字号的区分,可以使用汉字和字母,不区分大小写。
第 21 题
网络有线传输介质中,不包括( )。
- (A) 双绞线
- (B) 红外线
- (C) 同轴电缆
- (D) 光纤
答案与解析
- 试题难度:容易
- 知识点:计算机网络应用基础知识>计算机网络概述>网络构成、分类和通信设备
- 试题答案:[['B']]
- 试题解析:本题考查网络的基础知识。
网络根据传输介质来划分:
有线:同轴电缆、双绞线、光纤。
无线:微波、无线电、红外线、激光。
第 22 题
网络互联设备不包括( )。
- (A) 集线器
- (B) 路由器
- (C) 浏览器
- (D) 交换机
答案与解析
- 试题难度:容易
- 知识点:计算机网络应用基础知识>计算机网络概述>网络构成、分类和通信设备
- 试题答案:[['C']]
- 试题解析:本题考查网络的基础知识。
浏览器是一款能够搜索或者查找信息、浏览信息的软件,不属于网络互连设备。
第 23 题
以下关于电子邮件的叙述中,不正确的是( )。
- (A) 发送电子邮件时,通讯双方必须都在线
- (B) 一封电子邮件可以同时发送给多个用户
- (C) 可以通过电子邮件发送文字、图像、语音等信息
- (D) 电子邮件比人工邮件传送迅速、可靠,且范围更广
答案与解析
- 试题难度:容易
- 知识点:计算机网络应用基础知识>互联网基础知识及应用>互联网应用
- 试题答案:[['A']]
- 试题解析:本题考查电子邮件的基础知识。
电子邮件发送的时候,不需要双方都在线。
第 24 题
在Windows7运行时,为强行终止某个正在持续运行且没有互动反应的应用程序,可使用Ctrl+Alt+Del启动( ),选择指定的进程和应用程序,结束其任务。
- (A) 引导程序
- (B) 控制面板
- (C) 任务管理器
- (D) 资源管理器
答案与解析
- 试题难度:容易
- 知识点:操作系统知识>Windows7界面及其使用>常见鼠标指针及快捷键
- 试题答案:[['C']]
- 试题解析:本题考查Windows的基本操作。
在Windows7运行时,为强行终止某个正在持续运行且没有互动反应的应用程序,可使用Ctrl+Alt+Del启动任务管理器,选择指定的进程和应用程序,结束其任务。
第 25 题
以下关于文件压缩的叙述中,不正确的是( )。
- (A) 文件压缩可以节省存储空间
- (B) 文件压缩可以缩短传输时间
- (C) 文件压缩默认进行加密保护
- (D) 右击文件名可操作文件压缩或解压
答案与解析
- 试题难度:容易
- 知识点:操作系统知识>文件系统的相关概念及操作>文件管理操作方法
- 试题答案:[['C']]
- 试题解析:本题考查文件的基本知识。
文件压缩可以节省存储空间,从而可以缩短传输时间,通常通过右击文件名可操作文件压缩或解压,但是文件压缩并没有进行加密保护。
第 26 题
以下操作中属于触摸屏的操作是( )。
- (A) 左键单击
- (B) 右键单击
- (C) 长按和滑动
- (D) 左右键双击
答案与解析
- 试题难度:容易
- 知识点:计算机系统基础知识>计算机硬件基础知识>I/O设备
- 试题答案:[['C']]
- 试题解析:本题考查计算机设备的基础知识。
触摸屏的操作有长按和滑动。
第 27 题
黑屏是微机显示器常见的故障现象。发生黑屏时需要检查的项目不包括( )。
- (A) 检查显示器电源开关是否开启,电源线连接是否良好
- (B) 检查显示器信号线与机箱内显卡的连接是否良好
- (C) 检查显示器亮度、对比度等按钮是否调在正常位置
- (D) 检查操作系统与应用软件的输入输出功能是否正常
答案与解析
- 试题难度:容易
- 知识点:计算机系统基础知识>计算机硬件基础知识>计算机故障维修
- 试题答案:[['D']]
- 试题解析:本题考查计算机故障检查的知识。
如果计算机发生黑屏,通常可能是没有连接好电源或者显示器接口不正常,或者亮度对比度等没有调正常,与操作系统和应用软件的输入输出功能无关。
第 28 题
计算机使用了一段时间后,系统磁盘空间不足,系统启动时间变长,系统响应延迟,应用程序运行缓慢,此时,需要对系统进行优化。( )不属于系统优化工作。
- (A) 清除系统垃圾文件
- (B) 升级操作系统和应用程序
- (C) 关闭不需要的系统服务
- (D) 禁用额外自动加载的程序
答案与解析
- 试题难度:一般
- 知识点:计算机系统基础知识>计算机硬件基础知识>计算机的维护和优化
- 试题答案:[['B']]
- 试题解析:本题考查计算机维护基础知识。
常用的应用软件有必要根据应用需要以及厂商对产品的更新情况而考虑升级,许多不常用的软件可以等使用需要时再升级。现在的软件升级非常频繁,全部跟风去更新并不好。
第 29 题
使用扫描仪的注意事项中不包括( )。
- (A) 不要在扫描中途切断电源
- (B) 不要在扫描中途移动扫描原件
- (C) 不要扫描带图片的纸质件
- (D) 平时不用扫描仪时应切断电源
答案与解析
- 试题难度:容易
- 知识点:计算机系统基础知识>计算机硬件基础知识>I/O设备
- 试题答案:[['C']]
- 试题解析:本题考查扫描仪的使用方式。
其中ABD都是扫描仪需要注意的事项,而扫描仪可以扫描所有的纸质文件,跟有没有图片没有关系。
第 30 题
计算机唯一能够直接识别和处理的语言是( )。
- (A) 机器语言
- (B) 汇编语言
- (C) 高级语言
- (D) 中级语言
答案与解析
- 试题难度:一般
- 知识点:计算机系统基础知识>计算机软件的基础知识>软件基础知识
- 试题答案:[['A']]
- 试题解析:本题考查语言的基础知识。
计算机唯一能够直接识别和处理的语言是机器语言,又叫做二进制语言。
第 31 题
( )接受每个用户的命令,采用时间片轮转方式处理服务请求,并通过交互方式在终端上向用户显示结果。
- (A) 批处理操作系统
- (B) 分时操作系统
- (C) 实时操作系统
- (D) 网络操作系统
答案与解析
- 试题难度:一般
- 知识点:操作系统知识>操作系统基础知识>操作系统的类型
- 试题答案:[['B']]
- 试题解析:本题考查操作系统基础知识。
分时操作系统是使一台计算机采用时间片轮转的方式同时为几个、几十个甚至几百个用户服务的一种操作系统。
把计算机与许多终端用户连接起来,分时操作系统将系统处理机时间与内存空间按一定的时间间隔,轮流地切换给各终端用户的程序使用。由于时间间隔很短,每个用户的感觉就像他独占计算机一样。分时操作系统的特点是可有效增加资源的使用率。例如UNIX系统就采用剥夺式动态优先的CPU调度,有力地支持分时操作。
第 32 题
在控制面板中,( )可以查看系统的一些关键信息,如显示当前的硬件参数、调整视觉效果、调整索引选项、调整电源设置及磁盘清理等。
- (A) 程序和功能
- (B) 个性化
- (C) 性能信息和工具
- (D) 默认程序
答案与解析
- 试题难度:一般
- 知识点:操作系统知识>Windows7界面及其使用>Windows 7系统配置与管理
- 试题答案:[['C']]
- 试题解析:本题考查Windows的基本操作。
如下图所示:
第 33 题
Windows7不能将信息传送到剪贴板的方法是( )。
- (A) 用“复制”命令把选定的对象送到剪贴板
- (B) 用“剪切”命令把选定的对象送到剪贴板
- (C) 用CTRL+V把选定的对象送到剪贴板
- (D) Alt+PrintScreen把当前窗口送到剪贴板
答案与解析
- 试题难度:一般
- 知识点:文字处理基础知识>文字编辑>复制和移动
- 试题答案:[['C']]
- 试题解析:本题考查Windows的基本操作。
CTRL+V是粘贴操作,是将剪贴板中的内容粘贴到指定位置,不是进行传送到剪贴板。
第 34 题
Word2007中“制表位”的作用是( )。
- (A) 制作表格
- (B) 光标定位
- (C) 设定左缩进
- (D) 设定右缩进
答案与解析
- 试题难度:一般
- 知识点:文字处理基础知识>段落格式设置>制表位
- 试题答案:[['B']]
- 试题解析:本题考查word的基础知识。
制表位是指在水平标尺上的位置,指定文字缩进的距离或一栏文字开始之处。制表位的三要素包括制表位位置、制表位对齐方式和制表位的前导字符。
应用制表位的关键是如何把光标快速定位到指定的制表位处,然后再输入表中的内容。
第 35 题
以下关于Word“首字下沉”命令的叙述中,正确的是( )。
- (A) 只能悬挂下沉
- (B) 可以下沉三行字的位置
- (C) 只能下沉三行
- (D) 只能下沉一行
答案与解析
- 试题难度:容易
- 知识点:文字处理基础知识>段落格式设置>首字下沉
- 试题答案:[['B']]
- 试题解析:本题考查word的基础知识。
我们可以自定义首字下沉的行数,可以是2行、3行或者4行等。
第 36 题
在Word2007的绘图工具栏上选定矩形工具,按住( )按钮可绘制正方形。
- (A) Tab
- (B) Del
- (C) Shift
- (D) Enter
答案与解析
- 试题难度:容易
- 知识点:文字处理基础知识>对象插入>绘制图形
- 试题答案:[['C']]
- 试题解析:本题考查word的基础知识。
在画矩形的时候,按住SHIFT键就可以画正方形。
第 37 题
在Word2007的编辑状态下,可以同时显示水平标尺和垂直标尺的视图模式是( )。
- (A) 普通视图
- (B) 页面视图
- (C) 大纲视图
- (D) 全屏显示模式
答案与解析
- 试题难度:一般
- 知识点:文字处理基础知识>界面认识>文档视图
- 试题答案:[['B']]
- 试题解析:本题考查word的基础知识。
在页面视图下,可以同时显示水平标尺和垂直标尺。
普通视图和web视图下,只有水平标尺。
大纲视图、阅读视图和全屏显示视图下,没有水平标尺也没有垂直标尺。
第 38 题
在Word( )模式下,随着输入新的文字,后面原有的文字将会被覆盖。
- (A) 插入
- (B) 改写
- (C) 自动更正
- (D) 断字
答案与解析
- 试题难度:容易
- 知识点:文字处理基础知识>文字编辑>文本的插入和删除
- 试题答案:[['B']]
- 试题解析:本题考查word的基础知识。
“改写”状态下,是将插入的字符覆盖后面原有的文字,可以在键盘上按insert在“改写”和“插入”之间进行切换。
第 39 题
在Word2007文档编辑中,使用( )选项卡中的【分隔符】命令,可以在文档中指定位置强行分页。
- (A) 开始
- (B) 插入
- (C) 页面布局
- (D) 视图
答案与解析
- 试题难度:一般
- 知识点:文字处理基础知识>页面布局>分页
- 试题答案:[['C']]
- 试题解析:本题考查word的基础知识。
分隔符命令是在页面布局选项卡里面。
第 40 题
在Word2007默认状态下,调整表格中的宽度可以利用( )进行调整。
- (A) 水平标尺
- (B) 垂直标尺
- (C) 若干个空格
- (D) 自动套用格式
答案与解析
- 试题难度:一般
- 知识点:文字处理基础知识>表格设计>表格行列操作
- 试题答案:[['A']]
- 试题解析:本题考查word的基础知识。
如下图所示,调整表格中的宽度可以利用水平标尺进行调整。
第 41 题
在Word2007中,打印页码2,4-5,8,表示打印( )。
- (A) 第2页、第4页、第5页、第8页
- (B) 第2页至第4页、第5页至第8页
- (C) 第2页至第5页、第8页
- (D) 第2页至第8页
答案与解析
- 试题难度:容易
- 知识点:文字处理基础知识>文档编辑>文档关闭、保护和打印
- 试题答案:[['A']]
- 试题解析:本题考查word的基础知识。
打印页中“-”表示连续打印,“,”表示单独打印。如2-6页表示打印的是第2页,第3页,第4页,第5页和第6页,即第2页到第6页,而如果是“2,6”的话,则表示打印第2页和第6页。
第 42 题
在Excel2007中,单元格中的绝对地址在被复制或移动到其他单元格时,其单元格地址( )。
- (A) 不会改变
- (B) 部分改变
- (C) 全部改变
- (D) 不能复制
答案与解析
- 试题难度:容易
- 知识点:电子表格基础知识>数据运算>单元格引用
- 试题答案:[['A']]
- 试题解析:本题考查电子表格——单元格引用的基础知识。总共有3种不同的引用方式:绝对引用、相对引用和混合引用。1)绝对引用绝对引用是在引用单元格时其行号和列号前面都加上$符号, 此时不管复制到哪个单元格,其单元格引用位置都不会发生变化。如:在C1中输入“=$A$1”,此时复制C1单元格,粘贴到任何位置,其引用的位置仍然是“=$A$1”。
2)相对引用相对引用是在引用单元格时其行号和列号前面都不加$符号, 此时会根据单元格复制后的位置变化,引用的单元格发生同样的变化。如:在C1中输入“=A1”,此时复制C1单元格,粘贴到D3单元格位置,位置变化情况是:列增加了1列,行增加了2行,则引用的位置发生同样的位置变化,从A1变到了B3( 列增加了1列,行增加了2行
)。</div>
3)混合引用
混合引用是在引用单元格时其行号和列号前面只加上一个$符号,要么是行号加$,要么是列号加$,此时复制单元格后,其单元格引用位置可能发生变化,其中,如果行号前加$,则行不会变化,如果是列号前加$符号,则列不会变化,即加$符号的部分的值不会变化。
因为:引用单元格为$A1,表示A列保持不变,然后看行的变化,从C1到D3单元格,行增加了2行,则引用的单元格增加2行,变成第3行,故而引用的结果是: “=$A3”
。</div>
本题考查绝对引用, 绝对地址在被复制或移动到其他单元格时,其单元格地址(行号和列号)都不会改变。
</p>
第 43 题
在Excel 2007中,( )不是计算A1到A6单元格中数据之和的公式。
- (A) =A1+A2+A3+A4+A5+A6
- (B) =SUM (A1:A6)
- (C) =(A1+A2+A3+A4+A5+A6)
- (D) =SUM (A1+A6)
答案与解析
- 试题难度:容易
- 知识点:电子表格基础知识>数据运算>统计类函数(求和类)
- 试题答案:[['D']]
- 试题解析:本题考查EXCEL的基础知识。
=SUM (A1+A6)只计算了A1+A6的值,所以是错误的。
第 44 题
一个Excel文档对应一个( )。
- (A) 工作簿
- (B) 工作表
- (C) 单元格
- (D) 行或列
答案与解析
- 试题难度:一般
- 知识点:电子表格基础知识>初步认识>基本概念
- 试题答案:[['A']]
- 试题解析:本题考查EXCEL的基础知识。
工作簿:计算和存储数据的文件,由若干个工作表和图表构成。包含工作表数受内存限制,最多255张,最少必须有一张工作表,工作簿的扩展名是:.xlsx
工作表:用于输入、编辑、显示和分析数据,是单元格按行列方式排列组成,存储在工作簿中,大小=1048576行*16348列。每一个工作表都有一个名称即工作表标签,位于工作簿底部。系统默认有三个工作表“sheet1” “sheet2” “sheet3”可重命名,工作表可以添加。
第 45 题
在Excel2007中,若A1单元格中的值为-1,B1单元格中的值为1,在B2单元格中输入=TAN(SUM(A1:B1),则B2单元格中的值为( )。
- (A) -1
- (B) 0
- (C) 1
- (D) 2
答案与解析
- 试题难度:容易
- 知识点:电子表格基础知识>数据运算>数学类函数
- 试题答案:[['B']]
- 试题解析:本题考查EXCEL的基础知识。
sum函数是求和,A1和B1的和是0,tan函数是求正切值,0的正切值为0。
第 46 题
在Excel 2007中,若A1单元格中的值为2,B1单元格中的值为3,在A2单元格中输入“=PRODUCT(A1:B1)”,按回车键后,则A2单元格中的值为( )。
- (A) 4
- (B) 6
- (C) 8
- (D) 9
答案与解析
- 试题难度:容易
- 知识点:电子表格基础知识>数据运算>乘积类函数
- 试题答案:[[B]]
- 试题解析:本题考查EXCEL的基础知识。
PRODUCT是乘积运算,所以=PRODUCT(A1:B1)=2*3=6。
第 47 题
在Excel 2007中,若A1单元格中的值为50,B1单元格中的值为60,若在A2单元格中输入“=IF(OR(A1>=60,B1>=60),"通过","不通过")”,按回车键后,则A2单元格中的值为( )。
- (A) 50
- (B) 60
- (C) 通过
- (D) 不通过
答案与解析
- 试题难度:一般
- 知识点:电子表格基础知识>数据运算>IF函数
- 试题答案:[[C]]
- 试题解析:本题考查EXCEL的基础知识。
OR(A1>=60,B1>=60)是逻辑或运算,A1单元格中的值为50,B1单元格中的值为60,那么OR(A1>=60,B1>=60)为真,取IF里面的第二个参数,结果为通过。
第 48 题
在Excel 2007中,若在A1单元格中的值为9,在A2单元格中输入“=SQRT(A1)”按回车键后,则A2单元格中的值为( )。
- (A) 0
- (B) 3
- (C) 9
- (D) 81
答案与解析
- 试题难度:一般
- 知识点:电子表格基础知识>数据运算>数学类函数
- 试题答案:[['B']]
- 试题解析:本题考查EXCEL的基础知识。
SQRT函数为求平方根,9的平方根是3。
第 49 题
在Excel 2007中,利用填充柄可以将数据复制到相邻单元格中。若选择含有数值的上下相邻的两个单元格,左键向下拖动填充柄,则数据将以( )填充。
- (A) 等差数列
- (B) 等比数列
- (C) 上单元格数值
- (D) 下单元格数值
答案与解析
- 试题难度:一般
- 知识点:电子表格基础知识>数据输入>数据的填充
- 试题答案:[['A']]
- 试题解析:本题考查EXCEL的基础知识。
如图所示:选择相邻的B2、B3单元格,然后进行左键向下拖动填充柄,数据将以等差数列进行填充。
第 50 题
在Excel 2007中,设单元格A1中的值为10,B1中的值为20,A2中的值为30,B2中的值为40,若在A3单元格中输入“=SUM(A1,B2)”,按回车键后,A3单元格中的值为( )。
- (A) 50
- (B) 60
- (C) 90
- (D) 100
答案与解析
- 试题难度:一般
- 知识点:电子表格基础知识>数据运算>统计类函数(求和类)
- 试题答案:[['A']]
- 试题解析:本题考查EXCEL的基础知识。
=SUM(A1,B2)求的是A1和B2的和,所以是10+40=50。
第 51 题
在Excel 2007中,设单元格A1中的值为-100,B1中的值为100,A2中的值为0,B2中的值为1,若在C1单元格中输入“=IF(A1+B1<=0,A2,B2)”,按按回车键后,C1单元格中的值为( )。
- (A) -100
- (B) 0
- (C) 1
- (D) 100
答案与解析
- 试题难度:容易
- 知识点:电子表格基础知识>数据运算>IF函数
- 试题答案:[[B]]
- 试题解析:本题考查EXCEL的基础知识。
先进行A1+B1的运算,因此A1+B1<=0满足,所以取A2,等于0。
第 52 题
在Powerpoint2007中,若想在一屏内观看多张幻灯片的大致效果,可采用的方法是( )。
- (A) 切换到幻灯片放映视图
- (B) 缩小幻灯片
- (C) 切换到幻灯片浏览视图
- (D) 切换到幻灯片大纲视图
答案与解析
- 试题难度:一般
- 知识点:演示文稿基础知识>初步认识>界面介绍和视图
- 试题答案:[['C']]
- 试题解析:本题考查PowerPoint的基础知识。
普通视图用于幻灯片的编辑,编辑界面以一个幻灯片界面编辑为主,浏览界面为辅;浏览视图用于幻灯片的浏览及删除移动等操作,可以在一个界面上显示多个幻灯片缩略图;放映视图是演示文稿的最后结果;而母版视图是不显示幻灯片内容的,只显示幻灯片格式结构。
第 53 题
为了查看幻灯片能否在20分钟内完成自动播放,需要为其设置( )。
- (A) 超级链接
- (B) 动作按钮
- (C) 排练计时
- (D) 录制旁白
答案与解析
- 试题难度:容易
- 知识点:演示文稿基础知识>美化设计>动态内容设计
- 试题答案:[['C']]
- 试题解析:本题考查PowerPoint的基础知识。
设定演示时幻灯片定时播放时间长短,可通过“排练计时”命令和幻灯片切换等;可以通过排练计时和自定义放映来设置自动演示的时间等。
第 54 题
在PowerPoint2007中,超级链接一般不可以链接到( )。
- (A) 文本文件的某一行
- (B) 某个幻灯片
- (C) 因特网上的某个文件
- (D) 某个图像文件
答案与解析
- 试题难度:一般
- 知识点:演示文稿基础知识>美化设计>动态内容设计
- 试题答案:[['A']]
- 试题解析:本题考查PowerPoint的基础知识。
如下图所示:
第 55 题
设有关系R、S、T如下所示,则( )。

- (A) T=R∩S
- (B) T=RUS
- (C) T=R/S
- (D) T=R×S
答案与解析
- 试题难度:一般
- 知识点:数据库应用基础知识>数据库模型>关系运算
- 试题答案:[['B']]
- 试题解析:
本题考查ACCESS的基础知识。
并运算:关系R与S具有相同的关系模式,即R与S的结构相同。关系R与S并由属于R或S的元组构成集合组成,记作R∪S。例如集合{1,2,3}和{2,3,4}的并集是{1,2,3,4}
差运算:关系R与S具有相同的关系模式,关系R与S的差由属于R但不属于S的元组构成的集合,记作R–S。例如集合{1,2,3}和{2,3}的差是{1}。
交运算:关系R与S具有相同的关系模式,关系R与S的交由属于R同时又属于S的元组构成集合,记作R∩S。例如集合{1,2,3}和{2,3,4}的交集是{2,3}。
第 56 题
单个用户使用的数据视图的描述属于( )。
- (A) 外模式
- (B) 概念模式
- (C) 内模式
- (D) 存储模式
答案与解析
- 试题难度:一般
- 知识点:数据库应用基础知识>数据库基本概念>数据库基本概念
- 试题答案:[['A']]
- 试题解析:本题考查ACCESS的基础知识。
人们为数据库设计了一个严谨的体系结构,数据库领域公认的标准结构是三级模式结构,它包括外模式、概念模式、内模式,有效地组织、管理数据,提高了数据库的逻辑独立性和物理独立性。用户级对应外模式,概念级对应概念模式,物理级对应内模式,使不同级别的用户对数据库形成不同的视图。所谓视图,就是指观察、认识和理解数据的范围、角度和方法,是数据库在用户“眼中”的反映,很显然,不同层次(级别)用户所“看到”的数据库是不相同的。单个用户使用的数据视图的描述是属于外模式。
第 57 题
数据库中只存放视图的( )。
- (A) 操作
- (B) 对应的数据
- (C) 定义
- (D) 限制
答案与解析
- 试题难度:一般
- 知识点:数据库应用基础知识>数据库基本概念>数据库基本概念
- 试题答案:[['C']]
- 试题解析:本题考查ACCESS的基础知识。
数据库中只存放视图的定义,不存放视图的数据。
第 58 题
以下关于计算机网络协议的叙述中,不正确的是( )。
- (A) 网络协议就是网络通信的内容
- (B) 制定网络协议是为了保证数据通信的正确、可靠
- (C) 计算机网络的各层及其协议的集合,称为网络的体系结构
- (D) 网络协议通常由语义、语法、变换规则3部分组成
答案与解析
- 试题难度:一般
- 知识点:计算机网络应用基础知识>计算机网络概述>网络定义、发展和功能
- 试题答案:[['A']]
- 试题解析:本题考查网络基础知识。
网络协议为计算机网络中进行数据交换而建立的规则、标准或约定的集合。
第 59 题
OSI/RM协议模型的最底层是( )。
- (A) 应用层
- (B) 网络层
- (C) 物理层
- (D) 传输层
答案与解析
- 试题难度:容易
- 知识点:计算机网络应用基础知识>TCP/IP>TCP/IP参考模型
- 试题答案:[['C']]
- 试题解析:本题考查网络基础知识。
OSI/RM协议模型的最底层是物理层。
第 60 题
人工智能(AI)时代,人类面临许多新的安全威胁。以下( )不属于安全问题。
- (A) AI可能因为学习了有问题的数据而产生安全隐患或伦理缺陷
- (B) 黑客入侵可能利用AI技术使自动化系统故意犯罪,造成危害
- (C) 由于制度漏洞和监管不力,AI系统可能面临失控,造成损失
- (D) AI技术在某些工作、某些能力方面超越人类,淘汰某些职业
答案与解析
- 试题难度:容易
- 知识点:计算机网络应用基础知识>网络新技术>物联网、云计算和人工智能概述
- 试题答案:[['D']]
- 试题解析:本题考查人工智能基础知识。
D选项不属于安全问题,而是一个发展趋势。
第 61 题
计算机感染病毒后常见的症状中,一般不包括( )。
- (A) 计算机系统运行异常(如死机、运行速度降低、文件大小异常等)
- (B) 外部设备使用异常(如系统无法找到外部设备,外部设备无法使用)
- (C) 网络异常(如网速突然变慢,网络连接错误,许多网站无法访问)
- (D) 应用程序计算结果异常(如输出数据过多或过少,过大或过小)
答案与解析
- 试题难度:一般
- 知识点:信息安全与法律法规>信息安全>计算机病毒基础知识
- 试题答案:[['D']]
- 试题解析:本题考查计算机病毒基础知识。
计算机感染了病毒后的症状有很多,主要有以下几种:
屏幕上出现不应有的特殊字符或图像、字符无规则变或脱落、静止、滚动、雪花、跳动、小球亮点、莫名其妙的信息提等。
发出尖叫、蜂鸣音或非正常奏乐等。
经常无故死机,随机地发生重新启动或无法正常启动、运行速度明显下降、内存空间变小、磁盘驱动器以及其他设备无缘无故地变成无效设备等现象。
磁盘标号被自动改写、出现异常文件、出现固定的坏扇区、可用磁盘空间变小、文件无故变大、失踪或被改乱、可执行文件(exe)变得无法运行等。
打印异常、打印速度明显降低、不能打印、不能打印汉字与图形等或打印时出现乱码。收到来历不明的电子邮件、自动链接到陌生的网站、自动发送电子邮件等。而D选项应用程序计算结果异常一般是由于程序设计的问题。
第 62 题
面向社会服务的信息系统突发安全事件时所采取的技术措施中一般不包括( )。
- (A) 尽快定位安全风险点,努力进行系统修复
- (B) 将问题控制在局部范围内,不再向全系统扩散
- (C) 关闭系统,切断与外界的信息联系,逐人盘查
- (D) 全力挽回用户处理的信息,尽量减少损失
答案与解析
- 试题难度:容易
- 知识点:信息安全与法律法规>信息安全>信息安全及保障常用技术
- 试题答案:[[C]]
- 试题解析:本题考查信息安全基础知识。
对于C选项是不符合实际的,不可能直接关闭系统,这样会导致很多功能都无法使用,导致瘫痪,一般可以限制使用一部分功能,开放其余没有联系的功能。
第 63 题
《信息处理系统-开放系统互连-基本参考模型》(IS07498-2:1989)属于( )。
- (A) 国际标准
- (B) 国家标准
- (C) 行业标准
- (D) 企业标准
答案与解析
- 试题难度:一般
- 知识点:信息安全与法律法规>知识产权与法律法规>信息相关法律法规
- 试题答案:[['A']]
- 试题解析:本题考查标准化基本知识。
国际标准:ISO、IEC等国际标准化组织
国家标准:GB—中国、ANSI—美国、BS—英国、JIS—日本、DIN —德国
区域标准:又称为地区标准,如PASC—太平洋地区标准会议、CEN—欧洲标 准委员会、ASAC—亚洲标准咨询委员会、ARSO—非洲地区标准化组织
行业标准:GJB—中国军用标准、MIT-S—美国军用标准、IEEE—美国电气电子工程师协会
地方标准:国家的地方一级行政机构制订的标准
企业标准:由企业或公司批准推广、发布的标准
项目规范:由科研生产项目组指定的标准
第 64 题
建立规范的信息处理流程的作用一般不包括( )。
- (A) 使各个环节衔接井井有条,不重复,不遗漏
- (B) 各步骤都有数据校验,保证信息处理的质量
- (C) 减少设备的损耗,降低信息处理成本
- (D) 明确分工和责任,出现问题便于追责
答案与解析
- 试题难度:一般
- 知识点:信息处理技术基础知识>信息处理与信息处理实务>信息处理实务
- 试题答案:[['C']]
- 试题解析:本题考查信息处理的基本知识。
规范信息处理流程主要是为了确保数据质量,也对提高处理效率有益,一般不会考虑设备损耗的问题。
第 65 题
一般来说,收集到的数据经过清洗后,还需要进行分类、排序等工作。这样做的好处主要是( )。
- (A) 节省存储
- (B) 便于传输
- (C) 提高安全性
- (D) 便于查找
答案与解析
- 试题难度:容易
- 知识点:信息处理技术基础知识>信息处理与信息处理实务>信息处理的基本概念
- 试题答案:[['D']]
- 试题解析:本题考查数据处理的基础知识。
进行排序和分类主要目的是为了便于查找,查找最大值和最小值,或者是某一类型的数据,或者是取值为多少的数据等。
第 66 题
在大型分布式信息系统中,为提高信息处理效率,减少网络拥堵,信息存储的原则是:数据应尽量( )。
- (A) 集中存储在数据中心
- (B) 分散存储在数据产生端
- (C) 靠近数据使用端存储
- (D) 均衡地存储在各个终端
答案与解析
- 试题难度:一般
- 知识点:信息处理技术基础知识>信息处理与信息处理实务>信息处理的基本概念
- 试题答案:[['C']]
- 试题解析:本题考查数据存储知识。
分布式存储系统,是将数据分散存储在多台独立的设备上。传统的网络存储系统采用集中的存储服务器存放所有数据,存储服务器成为系统性能的瓶颈,也是可靠性和安全性的焦点,不能满足大规模存储应用的需要。
分布式网络存储系统采用可扩展的系统结构,利用多台存储服务器分担存储负荷,利用位置服务器定位存储信息,它不但提高了系统的可靠性、可用性和存取效率,还易于扩展。简单来说:为了简化用户端的使用,提供了一个分布式缓存系统来提供对此分布式存储系统的访问接口以及本地数据缓冲以降低网络压力。数据靠近使用端存储可减少传输量和传输时间,减少网络拥堵,提高处理效率。
第 67 题
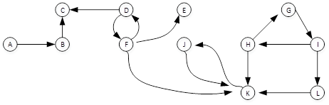
某社区有12个积极分子A~L,他们之间的联系渠道见下图。居委会至少需要通知他们之中( )个人,才能通过联系渠道通知到所有积极分子。

- (A) 1
- (B) 2
- (C) 3
- (D) 4
答案与解析
- 试题难度:一般
- 知识点:信息处理技术基础知识>初等数学基础>其他初等数学题
- 试题答案:[['C']]
- 试题解析:本题考查数学方面知识。
如图所示:
要想通知到B,必须要通知A,所以圈出A;
要想通知E,必须要通知F,所以圈出F(当然圈出D也可以)。
此时可以通知到ABCDEFK。然后对于HIGLI这几个,只需要在GHI当中选择1个进行通知即可。
第 68 题
( )属于人工智能的应用。
- (A) 程序设计
- (B) 指纹识别
- (C) 社区聊天
- (D) 数据统计
答案与解析
- 试题难度:容易
- 知识点:计算机网络应用基础知识>网络新技术>物联网、云计算和人工智能概述
- 试题答案:[['B']]
- 试题解析:本题考查人工智能。
人工智能是计算机科学的一个分支,它企图了解智能的实质,并生产出一种新的能以人类智能相似的方式做出反应的智能机器,该领域的研究包括机器人、语言识别、图像识别、自然语言处理和专家系统等。
第 69 题
为向相关人员以可视化方式展示数据分析结果,首先需要明确目标受众(即需要给哪些人看),并了解他们考虑的一些问题。这些问题一般不包括( )。
- (A) 他们对将要讨论的事项了解多少
- (B) 他们需要什么,又想要知道什么
- (C) 他们的艺术水平和欣赏能力如何
- (D) 他们将如何利用分析展示的信息
答案与解析
- 试题难度:容易
- 知识点:信息处理技术基础知识>信息处理与信息处理实务>数据处理方法
- 试题答案:[['C']]
- 试题解析:本题考查数据分析基础知识。
数据展现与艺术水平和欣赏能力如何无关,重点是将所需要了解的数据展现出来,然后才考虑其美观性。
第 70 题
信息处理技术员资格考试的试卷包括信息处理基础知识、计算机基础知识、法律法规知识、专业英语、办公软件使用技能五个方面。某次考试后,对这五个方面分别统计了各考生的得分率以及全国的平均得分率。为了直观展现每个考生在各个方面的水平以及该考生的整体水平,并与全国平均水平进行比较,宜采用( )。
- (A) 直方图
- (B) 圆饼图
- (C) 折线图
- (D) 雷达图
答案与解析
- 试题难度:一般
- 知识点:信息处理技术基础知识>初等数学基础>统计图表知识
- 试题答案:[['D']]
- 试题解析:本题考查数据图表的基础知识。
雷达图(Radar Chart),又可称为戴布拉图、蜘蛛网图(Spider Chart),是财务分析报表的一种。
折线图:排列在工作表的列或行中的数据可以绘制到折线图中。折线图可以显示随时间(根据常用比例设置)而变化的连续数据,因此非常适用于显示在相等时间间隔下数据的趋势。在折线图中,类别数据沿水平轴均匀分布,所有值数据沿垂直轴均匀分布。
直方图又称质量分布图,柱状图,它是表示资料变化情况的一种主要工具。用直方图可以解析出资料的规则性,比较直观地看出产品质量特性的分布状态,对于资料分布状况一目了然,便于判断其总体质量分布情况。
饼图以二维或三维格式显示每一数值相对于总数值的大小。
由于涉及多个考生和全国水平,每个都有5个指标,要了解每个指标的情况,同时也要了解全国的平均水平情况,应该选择雷达图。
第 71 题
( )is the process of converting text, sound, photos, and video to data that can be processed by computer.
- (A) Computerization
- (B) Networking
- (C) Digitization
- (D) Informatization
答案与解析
- 试题难度:较难
- 知识点:专业英语>专业英语知识>信息类
- 试题答案:[[C]]
- 试题解析:本题考查计算机专业英语基础知识。
()是将文本、声音、照片和视频转换成可由计算机处理的数据的过程。
A.计算机化 B.网络 C.数字化 D.信息化
第 72 题
The ( ) is the primary device for entering information into the computer.
- (A) disk
- (B) printer
- (C) keyboard
- (D) memory
答案与解析
- 试题难度:一般
- 知识点:专业英语>专业英语知识>计算机类
- 试题答案:[[C]]
- 试题解析:本题考查计算机专业英语基础知识。
()是输入信息的主要设备。
A.计算机 B .磁盘打印机 C.键盘 D.存储器
第 73 题
( )system let you run more than one program at a time.
- (A) Application
- (B) Software
- (C) Real time
- (D) Multitask
答案与解析
- 试题难度:较难
- 知识点:专业英语>专业英语知识>计算机类
- 试题答案:[[D]]
- 试题解析:本题考查计算机专业英语基础知识。
( )系统让您一次运行多个程序。
A.应用软件 B.软件 C实时 D多任务
第 74 题
Small business may use ( ) for word processing.
- (A) microcomputers
- (B) industrial computers
- (C) mainframe computers
- (D) supercomputers
答案与解析
- 试题难度:一般
- 知识点:专业英语>专业英语知识>计算机类
- 试题答案:[[A]]
- 试题解析:本题考查计算机专业英语基础知识。
小企业可以使用()进行文字处理。
A.微型计算机 B.工业计算机 C.大型计算机 D.超级计算机
第 75 题
Once you've made the Internet connection, you can send ( ) to any of computer user all around the world.
- (A) e-mail
- (B) WWW
- (C) browse
- (D) web station
答案与解析
- 试题难度:一般
- 知识点:专业英语>专业英语知识>网络类
- 试题答案:[[A]]
- 试题解析:本题考查计算机专业英语基础知识。
一旦你建立了互联网连接,你就可以发送()给世界各地的计算机用户。
A.电子邮件 B.WWW C.浏览 D.网站