201511嵌入式上午真题
第 1 题
CPU是在( )结束时响应DMA请求的。
- (A) 一条指令执行
- (B) 一段程序
- (C) 一个时钟周期
- (D) 一个总线周期
答案与解析
- 试题难度:一般
- 知识点:嵌入式微处理器>常用嵌入式微处理器
- 试题答案:[['D']]
- 试题解析:
CPU是在一个总线周期结束时响应DMA请求的,这样可以使得总线的利用率是最高的。
第 2 题
虚拟存储体系由( )两级存储器构成。
- (A) 主存-辅存
- (B) 寄存器- Cache
- (C) 寄存器-主存
- (D) Cache-主存
答案与解析
- 试题难度:一般
- 知识点:计算机系统基础>多级存储结构
- 试题答案:[['A']]
- 试题解析:
一般计算机系统中主要有两种存储体系:Cache存储体系和虚拟存储体系。
Cache存储体系由Cache和主存储器构成,主要目的是提高存储器速度;
虚拟存储体系由主存储器和在线磁盘存储器等辅存构成,主要目的是扩大存储器容量。
第 3 题
浮点数能够表示的数的范围是由其( )的位数决定的。
- (A) 尾数
- (B) 阶码
- (C) 数符
- (D) 阶符
答案与解析
- 试题难度:容易
- 知识点:计算机系统基础>数据的表示
- 试题答案:[['B']]
- 试题解析:
本题考查计算机系统中浮点数的表示法。
浮点格式表示一个二进制数N的形式为:N = Re * M。
其中M称为尾数(尾数为含符号的纯小数),e是指数(阶码,通常为含符号的纯整数),R为基数(阶码的底,计算机中固定为2)。
尾数决定数值表示的精度,阶码决定数值表示的范围。
第 4 题
在机器指令的地址字段中,直接指出操作数本身的寻址方式称为( )。
- (A) 隐含寻址
- (B) 寄存器寻址
- (C) 立即寻址
- (D) 直接寻址
答案与解析
- 试题难度:一般
- 知识点:计算机系统基础>计算机的组成
- 试题答案:[['C']]
- 试题解析:
操作数作为指令的一部分而直接写在指令中,这种操作数称为立即数,这种寻址方式也就称为立即数寻址方式。
第 5 题
内存按字节编址从B3000H到DABFFH的区域其存储容量为( )。
- (A) 123KB
- (B) 159KB
- (C) 163KB
- (D) 194KB
答案与解析
- 试题难度:一般
- 知识点:计算机系统基础>计算机的组成
- 试题答案:[['B']]
- 试题解析:
首先求出单元地址的个数:终点地址 – 起点地址 + 1。
将数据代入可以得到:DABFFH-B3000H+1=27C00H。将27C00H转化为十进制就是:2*164+7*163+12*162=(128+28+3)*210 =159K,因为是按字节编址,故此区域的存储容量为159KB。
第 6 题
CISC是( )的简称。
- (A) 复杂指令系统计算机
- (B) 超大规模集成电路
- (C) 精简指令系统计算机
- (D) 超长指令字
答案与解析
- 试题难度:容易
- 知识点:嵌入式微处理器>嵌入式微处理器的结构与类型
- 试题答案:[['A']]
- 试题解析:
CISC是复杂指令系统计算机,RISC是精简指令系统计算机。
第 7 题
( )不属于主动攻击。
- (A) 流量分析
- (B) 重放
- (C) IP地址欺骗
- (D) 拒绝服务
答案与解析
- 试题难度:一般
- 知识点:安全性基础知识>计算机系统系统安全概述
- 试题答案:[['A']]
- 试题解析:
计算机网络上的通信面临以下四种威胁:
(1)截获:攻击者从网络上窃听他人的通信内容,比如用于流量分析。
(2)中断:攻击者有意中断他人在网络上的通信。
(3)篡改:攻击者故意篡改网络中传送的报文。
(4)伪造:攻击者伪造信息在网络上的传送。
以上的四种威胁可以划分为两大类,即被动攻击和主动攻击。在上述情况中,截获信息的攻击属于被动攻击,而中断、篡改和伪造信息的攻击称为主动攻击。
第 8 题
防火墙不具备( )功能。
- (A) 记录访问过程
- (B) 查毒
- (C) 包过滤
- (D) 代理
答案与解析
- 试题难度:一般
- 知识点:安全性基础知识>信息安全基础>防火墙
- 试题答案:[['B']]
- 试题解析:
网络防火墙就是一个位于计算机和它所连接的网络之间的软件。该计算机流入流出的所有网络通信均要经过此防火墙。防火墙对流经它的网络通信进行扫描,这样能够过滤掉一些攻击,以免其在目标计算机上被执行。防火墙还可以关闭不使用的端口。而且它还能禁止特定端口的流出通信,封锁特洛伊木马。最后,它可以禁止来自特殊站点的访问,从而防止来自不明入侵者的所有通信。
防火墙不具备查毒功能。
第 9 题
根据下图所示的输出信息,可以确定的是:( )。

- (A) 本地主机正在使用的端口号是公共端口号
- (B) 192.168.0.200正在与128.105.129.30 建立连接
- (C) 本地主机与202.100.112.12建立了安全连接
- (D) 本地主机正在与100.29.200.110建立连接
答案与解析
- 试题难度:一般
- 知识点:网络基础知识
- 试题答案:[['C']]
- 试题解析:
Netstat命令的连接状态包括:
LISTEN:侦听来自远方的TCP端口的连接请求。
SYN-SENT:在发送连接请求后等待匹配的连接请求。
SYN-RECEIVED:在收到和发送一个连接请求后等待对方对连接请求的确认。
ESTABLISHED:代表一个打开的连接。
FIN-WAIT-1:等待远程TCP连接中断请求,或先前的连接中断请求的确认。
FIN-WAIT-2:从远程TCP等待连接中断请求。
CLOSE-WAIT:等待从本地用户发来的连接中断请求。
CLOSING:等待远程TCP对连接中断的确认。
LAST-ACK:等待原来的发向远程TCP的连接中断请求的确认。
TIME-WAIT:等待足够的时间以确保远程TCP接收到连接中断请求的确认。
CLOSED:没有任何连接状态。
第 10 题
以下著作权权利中,( )的保护期受时间限制。
- (A) 署名权
- (B) 修改权
- (C) 发表权
- (D) 保护作品完整权
答案与解析
- 试题难度:一般
- 知识点:知识产权与标准化>知识产权人确定
- 试题答案:[['C']]
- 试题解析:
保护期限不受限制的有:署名权,修改权,保护作品完整权。保护期限为作者终身及死后50年的,包括:发表权、使用权和获得报酬权。
第 11 题
软件设计师王某在其公司的某一综合信息管理系统软件开发工作中承担了大部分程序设计工作。该系统交付用户,投入试运行后,王某辞职离开公司,并带走了该综合信息管理系统的源程序,拒不交还公司。王某认为,综合信息管理系统源程序是他独立完成的,他是综合信息管理系统源程序的软件著作权人。王某的行为( )。
- (A) 侵犯了公司的软件著作权
- (B) 未侵犯公司的软件著作权
- (C) 侵犯了公司的商业秘密权
- (D) 不涉及侵犯公司的软件著作权
答案与解析
- 试题难度:容易
- 知识点:知识产权与标准化>侵权判定
- 试题答案:[['A']]
- 试题解析:
王某完成的软件由于是公司安排的任务,在公司完成的,所以会被界定为职务作品,这个作品的软件著作权归公司拥有。
第 12 题
声音(音频)信号的一个基本参数是频率,它是指声波每秒钟变化的次数,用Hz表示。人耳能听到的音频信号的频率范围是( )。
- (A) 0Hz~20kHz
- (B) 0Hz~200kHz
- (C) 20Hz~20kHz
- (D) 20Hz~200kHz
答案与解析
- 试题难度:容易
- 知识点:多媒体知识>图像、音频
- 试题答案:[['C']]
- 试题解析:
人耳能听到的声音频率范围是:20Hz-20KHz。低于这个区间的,叫次声波,高于这个区间的叫超声波。
第 13 题
颜色深度是表达图像中单个像素的颜色或灰度所占的位数(bit)。若每个像素具有8位的颜色深度,则可表示( )种不同的颜色。
- (A) 8
- (B) 64
- (C) 256
- (D) 512
答案与解析
- 试题难度:容易
- 知识点:多媒体知识>图像、音频
- 试题答案:[['C']]
- 试题解析:
28=256,所以颜色深度为8,可以表示256种不同的颜色。
第 14 题
视觉上的颜色可用亮度、色调和饱和度3个特征来描述。其中饱和度是指颜色的( )。
- (A) 种数
- (B) 纯度
- (C) 感觉
- (D) 存储量
答案与解析
- 试题难度:容易
- 知识点:多媒体知识>图像、音频
- 试题答案:[['B']]
- 试题解析:
亮度是指发光体(反光体)表面发光(反光)强弱的物理量。
色调指的是一幅画中画面色彩的总体倾向,是大的色彩效果。在大自然中,我们经常见到这样一种现象:不同颜色的物体或被笼罩在一片金色的阳光之中,或被笼罩在一片轻纱薄雾似的、淡蓝色的月色之中;或被秋天迷人的金黄色所笼罩;或被统一在冬季银白色的世界之中。这种在不同颜色的物体上,笼罩着某一种色彩,使不同颜色的物体都带有同一色彩倾向,这样的色彩现象就是色调。
饱和度是指色彩的鲜艳程度,也称色彩的纯度。
第 15 题
若用户需求不清晰且经常发生变化,但系统规模不太大且不太复杂,则最适宜采用开发方法。对于数据处理领域的问题,若系统规模不太大且不太复杂,需求变化也不大,则最适宜采用( )开发方法。
- (A) 结构化
- (B) Jackson
- (C) 原型化
- (D) 面向对象
- (A) 结构化
- (B) Jackson
- (C) 原型化
- (D) 面向对象
答案与解析
- 试题难度:一般
- 知识点:嵌入式系统开发与维护知识>系统开发过程及项目管理>开发方法
- 试题答案:[['C'],['A']]
- 试题解析:
在本题的两个空中,第1个空比较容易,由于题目明确说明“用户需求不清晰且经常发生变化”所以只有原型化方法适用。而第2空需求变化不大的情况下,其实多种模型都可用,所以另一条线索成为解题关键,即“数据处理领域问题”。结构化方法的基本特征是:自顶向下,逐层分解,也适合于大型的数据处理系统,所以用它最合适。
第 16 题
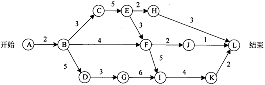
某软件项目的活动图如下图所示,其中顶点表示项目里程碑,连接顶点的边表示活动,边上的数字表示该活动所需的天数,则完成该项目的最少时间为( )天。活动BD最多可以晚( )天开始而不会影响整个项目的进度。

- (A) 9
- (B) 15
- (C) 22
- (D) 24
- (A) 2
- (B) 3
- (C) 5
- (D) 9
答案与解析
- 试题难度:一般
- 知识点:嵌入式系统开发与维护知识>系统开发过程及项目管理>项目管理
- 试题答案:[['D'],['A']]
- 试题解析:
关键路径为:ABCEFIKL,长度24。
BD不在该路径上,因此BD不是关键活动,而BD所在的所有路径,最长路径为ABDGIKL,长度为22,因此松弛时间为2。
第 17 题
编译器和解释器是两种基本的高级语言处理程序。编译器对高级语言源程序的处理过程可以划分为词法分析、语法分析、语义分析、中间代码生成、代码优化、目标代码生成等阶段,其中,( )并不是每个编译器都必需的。与编译器相比,解释器( )。
- (A) 词法分析和语法分析
- (B) 语义分析和中间代码生成
- (C) 中间代码生成和代码优化
- (D) 代码优化和目标代码生成
- (A) 不参与运行控制,程序执行的速度慢
- (B) 参与运行控制,程序执行的速度慢
- (C) 参与运行控制,程序执行的速度快
- (D) 不参与运行控制,程序执行的速度快
答案与解析
- 试题难度:一般
- 知识点:嵌入式软件程序设计>嵌入式程序设计>程序编译
- 试题答案:[['C'],['B']]
- 试题解析:
在编译过程中:词法分析;语法分析;语义分析;目标代码生成是必须的,而代码优化和中间代码生成是可以不需要的。
编译与解释的区别在于:
编译直接生成目标代码,在机器上执行而编译器不需要参与执行,因此程序执行速度快;
解释则生成中间代码或其等价形式,程序执行时需要解释器的参与,并且由解释器控制程序的执行,因此执行速度慢。
第 18 题
假设磁盘块与缓冲区大小相同,每个盘块读入缓冲区的时间为15μs,由缓冲区送至用户区的时间是5μs,在用户区内系统对每块数据的处理时间为1μs。若用户需要将大小为10个磁盘块的Docl文件逐块从磁盘读入缓冲区,并送至用户区进行处理,那么采用单缓冲区需要花费的时间为( )μs;采用双缓冲区需要花费的时间为( )μs。
- (A) 150
- (B) 151
- (C) 156
- (D) 201
- (A) 150
- (B) 151
- (C) 156
- (D) 201
答案与解析
- 试题难度:一般
- 知识点:操作系统概述>设备管理
- 试题答案:[['D'],['C']]
- 试题解析:
试题的正确答案为D。因为在块设备输入时,假定从磁盘把一块数据输入到缓冲区的时间为T,缓冲区中的数据传送到用户工作区的时间为M,而系统处理(计算)的时间为C,如图(a)所示。

当第一块数据送入用户工作区后,缓冲区是空闲的可以传送第二块数据。这样第一块数据的处理C1与第二块数据的输入T2是可以并行的,依次类推,如图(b)所示。系统对每一块数据的处理时间为:Max(C,T)+M。因为,当T>C时,处理时间为M+T;当T<C时,处理时间为M+C。本题每一块数据的处理时间为15+5=20,Docl文件的处理时间为20×10+1。

试题的正确答案为C。双缓冲工作方式基本方法是在设备输入时,先将数据输入到缓冲区1,装满后便转向缓冲区2。此时系统可以从缓冲区1中提取数据传送到用户区,最后由系统对数据进行处理,如图(c)所示。

双缓冲可以实现对缓冲区中数据的输入T和提取M,与CPU的计算C,三者并行工作,如图(d)所示。从图中可以看出,双缓冲进一步加快了I/O的速度,提高了设备的利用率。在双缓冲时,系统处理一块数据的时间可以粗略地认为是Max(C,T)。如果C<T,可使块设备连续输入;如果C>T,则可使系统不必等待设备输入。本题每一块数据的处理时间为10,采用双缓冲需要花费的时间为15×10+5+1=156。

第 19 题
在支持多线程的操作系统中,假设进程P创建了若干个线程,那么( )是不能被这些线程共享的。
- (A) 该进程中打开的文件
- (B) 该进程的代码段
- (C) 该进程中某线程的栈指针
- (D) 该进程的全局变量
答案与解析
- 试题难度:容易
- 知识点:操作系统概述>进程(任务)管理
- 试题答案:[['C']]
- 试题解析:
进程是资源(CPU、内存等)分配的基本单位,具有一定功能的程序关于某个数据集合上的一次运行活动,进程是系统进行资源分配和调度的一个独立单位。
线程是进程的一个实体,是独立运行和独立调度的基本单位(CPU上真正运行的是线程)。线程自己基本上不拥有系统资源,只拥有一点在运行中必不可少的资源(如程序计数器,一组寄存器和栈),但是它可与同属一个进程的其他的线程共享进程所拥有的全部资源。如下表所示。
第 20 题
以下关于CISC和RISC的描述中,不正确的是( )。
- (A) RISC强调对指令流水线的优化
- (B) CISC的指令集复杂庞大,而RISC的指令集简单精简
- (C) CISC体系结构下各种指令的执行时间相差不大
- (D) RISC采用Load/Store结构
答案与解析
- 试题难度:容易
- 知识点:嵌入式微处理器>嵌入式微处理器的结构与类型
- 试题答案:[['C']]
- 试题解析:
A选项:RISC适合流水线,CISC不适合。
B选项:RISC是精简指令集系统计算机简称,使用简单的指令。CISC是复杂指令集系统计算机简称,使用复杂的指令。
C选项:CISC体系结构下各种指令的执行时间相差不大。这个说法是错误的,因为CISC有些指令执行时间是很长的。D选项的说法是正确的。
第 21 题
以下关于冯•诺依曼结构和哈佛结构的描述中,不正确的是( )。
- (A) 冯•诺依曼结构的计算机中程序和数据共用一个存储空间
- (B) 冯•诺依曼结构中程序计数器负责提供程序执行所需要的地址
- (C) 哈佛结构的计算机在一个机器周期内可同时获得指令字和操作数
- (D) 哈佛结构中取指和执行不能完全重叠
答案与解析
- 试题难度:一般
- 知识点:嵌入式微处理器>嵌入式微处理器体系结构>冯诺依曼与哈佛结构
- 试题答案:[['D']]
- 试题解析:
1.冯•诺依曼结构
冯•诺依曼结构,也称普林斯顿结构,其内部程序空间和数据空间是合在一起的,取指令和取操作数是通过一条总线分时进行的。
2.哈佛结构
哈佛结构是一种将程序指令储存和数据储存分开的存储器结构。中央处理器首先到程序指令储存器中读取程序指令内容,解码后得到数据地址,再到相应的数据储存器中读取数据,并进行下一步的操作(通常是执行)。程序指令储存和数据储存分开,数据和指令的储存可以同时进行,可以使指令和数据有不同的数据宽度,在一个机器周期内可同时获得指令字和操作数,并且取指指令和执行在流水线上可以重叠。
第 22 题
以下关于嵌入式系统总线的描述中,不正确的是( )。
- (A) 异步通信时数据是一帧一帧传送的,每帧数据的传送靠起始位来同步
- (B) SPI、IIC、UART都属于串行通信方式
- (C) 同步通信方式是字符同步,且在字符与字符之间的时序仍然是同步的
- (D) RS232、RS485、USB、IEEE1394总线都属于外部总线
答案与解析
- 试题难度:一般
- 知识点:嵌入式系统总线&通信接口>串行接口基本原理与结构
- 试题答案:[['C']]
- 试题解析:
1.同步通信
是一种比特同步通信技术,要求收发双方具有同频同相的同步时钟信号,只需在传送报文的最前面附加特定的同步字符,使收发双方建立同步,此后便在同步时钟的控制下逐位发送/接收,对于字符间的时序并没有特殊要求。同步传输采用字符块的方式,减少每一个字符的控制和错误检测数据位,因而可以具有较高的传输速率。即将许多字符聚集成一字符块后,在每块信息之前要加上1~2个同步字符,字符块之后再加入适当的错误检测数据才传送出去。
2.异步通信
数据是一帧一帧传送的,每帧数据包含有起始位(”0”)、数据位、奇偶校验位和停止位(”1”) ,每帧数据的传送靠起始位来同步。一帧数据的各位代码间的时间间隔是固定的,而相邻两帧的数据其时间间隔是不固定的。在异步通信的数据传送中,传输线上允许空字符。
3.同步通信和异步通信的区别
1)同步通信要求接收端时钟频率和发送端时钟频率一致;异步通信时不要求接收端时钟和发送端时钟同步。
2)同步通信效率高;异步通信效率较低。
3)同步通信较复杂;异步通信简单。
所以,选项C是错误的,同步通信方式是比特同步,且在字符与字符之间的时序仍然可以是任意的。
第 23 题
对于TTL电路和CMOS电路的原理及比较,以下描述中不正确的是( )。
- (A) TTL电路是电压控制,CMOS电路是电流控制
- (B) TTL电路速度快,但是功耗大,CMOS电路速度慢,传输延迟时间长
- (C) CMOS电路具有锁定效应
- (D) CMOS电路在使用时不用的管脚不要悬空,要接上拉电阻或下拉电阻
答案与解析
- 试题难度:一般
- 知识点:电子电路>电平转换电路
- 试题答案:[['A']]
- 试题解析:
本题考查模拟电路方面的基础知识。
TTL指晶体管-晶体管逻辑集成电路(Transistor-Transistor Logic),TTL电平输出高电平>2.4V,输出低电平<0.4V。在室温下,一般输出高电平是3.5V,输出低电平是0.2V。最小输入则要求:输入高电平≥2.0V,输入低电平≤0.8V,噪声容限是0.4V。
COMS集成电路是互补对称金属氧化物半导体,电路的许多基本逻辑单元都是用增强型PMOS晶体管和增强型NMOS管按照互补对称形式连接的,静态功耗很小。COMS电路的供电电压VDD范围比较广,在+5~+15V均能正常工作,当输出电压高于VDD-0.5V时为逻辑1,输出电压低于VSS+0.5V(VSS为数字地)为逻辑0,扇出数为10~20个COMS门电路。
TTL电路和CMOS电路的区别主要表现在:
1.TTL电路是电流控制器件,而CMOS电路是电压控制器件。
2.TTL电路的速度快,传输延迟时间短(5-10ns),但是功耗大。COMS电路的速度慢,传输延迟时间长(25-50ns),但功耗低。COMS电路本身的功耗与输入信号的脉冲频率有关,频率越高,芯片集越热,这是正常现象。
COMS电路由于输入太大的电流,内部的电流急剧增大,除非切断电源,电流一直在增大。这种效应就是锁定效应。当产生锁定效应时,COMS的内部电流能达到40mA以上,很容易烧毁芯片。COMS电路是电压控制器件,它的输入总抗很大,对干扰信号的捕捉能力很强。所以,不用的管脚不要悬空,要接上拉电阻或者下拉电阻,给它一个恒定的电平。
TTL电路的输入端悬空时相当于输入端接高电平。因为这时可以看作是输入端接一个无穷大的电阻。TTL电路在门电路输入端串联10K电阻后再输入低电平,输入端呈现的是高电平而不是低电平。
第 24 题
Cache一般包含3种地址映射方式,分别为全相联映射、直接相联映射和组相联映射,下列描述不正确的是( )。
- (A) 全相联映射是指主存中的任意一块都可以映射到Cache中任意一块的方式
- (B) 全相联映射的缺点是Cache的空间利用率低
- (C) 直接相联映射是指主存中的某块只能映射到满足特定关系的Cache块中
- (D) 组相联映射考虑了全相联映射和直接相联映射各自的优点
答案与解析
- 试题难度:一般
- 知识点:计算机系统基础>多级存储结构
- 试题答案:[['B']]
- 试题解析:
Cache一般有3种地址映射方式,分别为全相联映射、直接相联映射和组相联映射。直接相联映射是指主存中的某块只能映射到满足特定关系的Cache块中,特点是利用率低,冲突概率高。全相联映射是指主存中的任意一块都可以映射到Cache中任意一块的方式,特点是利用率高,冲突概率低,成本较高。组相联映射是对全相联和直接映像的一种折中处理方案。既不在主存和Cache之间实现字块的完全随意对应,也不在主存和Cache之间实现字块的多对一的硬性对应,而是实现一种有限度的随意对应。其特点是每个组采用直接映射方式,组内的块则采用全相联映像方式。集中了两个方式的优点,成本也不太高。
第 25 题
CPU通过接口对外设控制的方式一般包含程序查询方式、中断处理方式和DMA方式,以下描述正确的是( )。
- (A) 程序查询方式下的结构复杂,但是工作效率很高
- (B) 中断处理方式下CPU不再被动等待,而是可以执行其他程序
- (C) DMA方式下的内存和外设之间的数据传输需要CPU介入
- (D) 在DMA进行数据传送之前,DMA控制器不需要向GPU申请总线控制权
答案与解析
- 试题难度:一般
- 知识点:计算机系统基础>I/O控制方式
- 试题答案:[['B']]
- 试题解析:
CPU与I/O设备进行通信一般包含程序查询方式、中断处理方式和DMA方式。
程序查询方式:是让CPU以一定的周期按次序查询每一个外设,看它是否有数据输入或输出的要求,若有,则进行相应的输入/输出服务;若无,CPU就接着查询下一个外设。特点:CPU通过执行指令主动对外部设备进行查询,外部设备处于被动地位。
中断:是指CPU在正常运行程序的过程中,由于预选安排或发生了各种随机的内部或外部事件,使CPU中断正在运行的程序,而转到为相应的服务程序去处理,这个过程称为程序中断
DMA是在内存与I/O设备间传送一个数据块的过程中,不需要CPU的任何中间干涉,只需要CPU在过程开始时向设备发出“传送块数据”的命令,然后通过中断来得知过程是否结束和下次操作是否准备就绪。
第 26 题
嵌入式系统中配置了大量的外围设备,即I/O设备。依据工作方式不同可以分为字符设备、块设备和网络设备。下面描述不正确的是( )。
- (A) 键盘、显示器、打印机、扫描仪、鼠标等都属于字符设备
- (B) 块设备是以块为单位进行传输的,如磁盘、磁带和光盘等
- (C) 网络设备主要用于与远程设备进行通信
- (D) 网络设备的传输速度和字符设备相当
答案与解析
- 试题难度:容易
- 知识点:嵌入式系统输入输出设备>其它
- 试题答案:[['D']]
- 试题解析:
嵌入式系统中配置了大量的外围设备,即I/O设备。依据工作方式不同可以分为字符设备、块设备和网络设备。
1.字符设备:提供连续的数据流,应用程序可以顺序读取,通常不支持随机存取。相反,此类设备支持按字节/字符来读写数据。举例来说,键盘、显示器、打印机、扫描仪、鼠标、串口、调制解调器都是典型的字符设备。
2.块设备:应用程序可以随机访问设备数据,程序可自行确定读取数据的位置。硬盘、软盘、CD-ROM驱动器和闪存都是典型的块设备,应用程序可以寻址磁盘上的任何位置,并由此读取数据。此外,数据的读写只能以块(通常是512B)的倍数进行。与字符设备不同,块设备并不支持基于字符的寻址。
3.网络设备:网络设备驱动不同于字符设备和块设备,不在/dev下以文件节点代表,而是通过单独的网络接口来代表。
任何网络事务都要通过一个网络接口,即一个能够和其他主机交换数据的设备,通过接口代表一个硬件设备,但也可能是个纯软件设备。
内核和网络驱动程序间的通信完全不同于内核和字符设备驱动以及块设备前驱动程序之间的通信,内核调用一套与数据包传输相关的函数。
第 27 题
在嵌入式系统设计中,一般包含多种类型的存储资源,比如ROM、EEPROM、NAND Flash、Nor Flash、DDR、SD卡等。下面关于这些资源的描述中,正确的是( )。
- (A) EEPROM是电不可擦除的ROM
- (B) Nand Flash上面的代码不能直接运行,需要通过加载的过程
- (C) NOR Flash上面的代码不能直接运行,需要通过加载的过程
- (D) ROM是用来存储数据的,其上面的数据可以随意更新,任意读取
答案与解析
- 试题难度:一般
- 知识点:嵌入式系统的存储体系>存储器部件的分类
- 试题答案:[['B']]
- 试题解析:
Flash Memory是一种非易失性存储器NVM(Non-Volatile Memory),根据结构的不同可以分为:NOR Flash、NAND Flash。
先擦后写:由于Flash Memory的写操作只能将数据位从1写成0,而不能从0写成1,所以在对存储器进行写入之前必须先执行擦除操作,将预写入的数据位初始化为1。
操作指令:除了NOR Flash的读,Flash Memory的其他操作不能像RAM那样,直接对目标地址进行总线操作。例如执行一次写操作,它必须输入一串特殊的指令(NOR Flash ),或者完成一段时序(NAND Flash)才能将数据写入到Flash Memory中。应用程序可以直接在NOR Flash内运行,不需要再把代码读到系统RAM中运行。在NOR Flash上运行代码不需要任何的软件支持。
应用程序可以直接在NOR Flash内运行,不需要再把代码读到系统RAM中运行。在NOR Flash上运行代码不需要任何的软件支持。而Nand Flash上面的代码不能直接运行,需要通过加载的过程。
常见ROM有:
Mask ROM(掩膜ROM):一次性由厂家写入数据的ROM,用户无法修改。
PROM(Programmable ROM,可编程ROM):出厂时厂家没有写入数据,保留里面的内容为全0或全1,由用户来编程一次性写入数据。
EPROM(Erasable Programmable ROM,可擦写ROM):可以通过紫外光的照射,擦掉原先的程序,芯片可重复擦除和写入。写入时间较长。
EEPROM(电可擦除可编程ROM,也可表示为E2PROM):通过加电擦除原编程数据,通过高压脉冲可以写入数据。
Flash ROM(闪速存储器):断电不会丢失数据,快速读取,电可擦写可编程。
第 28 题
在进行DSP的软件设计时,可以用汇编语言或者C语言进行设计,最终是生成可执行文件,通过下载线缆下载到DSP上运行、调试。下列对DSP软件的开发、编译、调试过程描述不正确的是( )。
- (A) C语言程序和汇编语言程序都会生成目标文件
- (B) DSP程序的调试是一个不断交互、完善的过程
- (C) DSP一般是通过仿真器将文件下载到板子
- (D) 目标文件可以直接下载到板子上进行调试
答案与解析
- 试题难度:容易
- 知识点:嵌入式系统实施知识>软件调试
- 试题答案:[['D']]
- 试题解析:
ABC的描述都是正确的。D选项是错误的。因为目标文件是不可以直接下载到板子上进行调试。而是:在进行编译时,C语言程序和汇编语言程序都会生成目标文件,然后通过链接生成最终的可执行文件,通过下载线缆下载到目标DSP板上进行调试。
第 29 题
JTAG是用来进行嵌入式处理器调试的标准化接口,下列描述中,正确的是( )。
- (A) JTAG接口上一般包括模式选择、时钟、数据输入、数据输出、复位等信号
- (B) 当JTAG接口上面的时钟不正常时,也可以访问CPU内部的寄存器
- (C) JTAG只能用于调试,而不能用于进行芯片问题的检测
- (D) JTAG能够访问CPU内部的寄存器,而不能访问CPU总线上面的设备
答案与解析
- 试题难度:一般
- 知识点:嵌入式系统实施知识>软件调试
- 试题答案:[['A']]
- 试题解析:
JTAG(Joint Test Action Group,联合测试工作组)的接口是一种特殊的4/5个管脚, 主要用于芯片内部测试:
1.TDI(测试数据输入)
2.TDO(测试数据输出)
3.TCK(测试时钟)
4.TMS(测试模式选择)
5.TRST(测试复位)可选
第 30 题
下列做法中不利于嵌入式应用软件移植的是( )。
- (A) 在软件设计上,采用层次化设计和模块化设计
- (B) 在数据类型上,尽量直接使用C语言的数据类型
- (C) 将不可移植的部分局域化,集中在某几个特定的文件之中
- (D) 软件体系结构设计时,在操作系统和应用软件之间引入一个中间件层
答案与解析
- 试题难度:容易
- 知识点:嵌入式系统开发与维护知识>系统设计
- 试题答案:[['B']]
- 试题解析:
一般在编写嵌入式软件时,首先会定义数据类型,为了在不同平台之间更方便的移植,嵌入式系统代码编写时经常对数据类型进行重新定义。因为嵌入式软件和硬件平台密切相关,不同的硬件平台可能使用不同的编译器,直接使用C语言的数据类型,会引入硬件平台和软件平台带来的差异,不利于软件移植。所以,答案是B。
第 31 题
以下描述中不属于嵌入式操作系统特点的是( )。
- (A) 面向应用,可以进行裁剪和移植
- (B) 用于特定领域,不需要支持多任务
- (C) 可靠性高,无须人工干预独立运行,并处理各类事件和故障
- (D) 要求编码体积小,能够在嵌入式系统的有效存储空间内运行
答案与解析
- 试题难度:容易
- 知识点:嵌入式系统软件>嵌入式操作系统概述
- 试题答案:[['B']]
- 试题解析:
嵌入式操作系统的特点有:
(1)系统内核小。由于嵌入式系统一般是应用于小型电子装置,系统资源相对有限,所以内核较之传统的操作系统要小得多。
(2)专用性强。嵌入式系统的个性化很强,其中的软件系统和硬件的结合非常紧密,一般要针对硬件进行系统的移植,即使在同一品牌、同一系列的产品中也需要根据系统硬件的变化和增减不断进行修改。同时针对不同的任务,往往需要对系统进行较大更改,程序的编译下载要和系统相结合,这种修改和通用软件的“升级”是完全两个概念。
(3)系统精简。嵌入式系统一般没有系统软件和应用软件的明显区分,不要求其功能设计及实现上过于复杂,这样一方面利于控制系统成本,同时也利于实现系统安全。
(4)高实时性。高实时性的系统软件是嵌入式软件的基本要求,而且软件要求固态存储,以提高速度;软件代码要求高质量和高可靠性。
(5)多任务的操作系统。嵌入式软件开发需要使用多任务的操作系统。嵌入式系统的应用程序可以没有操作系统直接在芯片上运行。但是为了合理地调度多任务、利用系统资源、系统函数以及和专用库函数接口,用户必须自行选配操作系统开发平台,这样才能保证程序执行的实时性、可靠性,并减少开发时间,保障软件质量。
(6)需要开发工具和环境
嵌入式系统开发需要开发工具和环境。由于其本身不具备自主开发能力,即使设计完成以后用户通常也是不能对其中的程序功能进行修改的,必须有一套开发工具和环境才能进行开发,这些工具和环境一般是基于通用计算机上的软硬件设备以及各种逻辑分析仪、混合信号示波器等。开发时往往有主机和目标机的概念,主机用于程序的开发,目标机作为最后的执行机,开发时需要交替结合进行。
第 32 题
在主存储器和CPU之间增加Cache的目的是( )。
- (A) 解决CPU和主存之间的速度匹配问题
- (B) 扩大主存贮器容量
- (C) 扩大CPU中通用寄存器的数量
- (D) 既扩大主存贮器容量,又扩大CPU中通用寄存器的数量
答案与解析
- 试题难度:容易
- 知识点:计算机系统基础>多级存储结构
- 试题答案:[['A']]
- 试题解析:
Cache存储体系由Cache和主存储器构成,主要目的是提高存储器速度;因为高速缓冲存储器一般是由SRAM组成,容量比较小,但是速度比主存要高很多。
第 33 题
已知Cache命中率H=0.98,主存比Cache慢4倍,已知主存存取周期为200ns,则系统的平均访问时间是( )ns。
- (A) 50
- (B) 53
- (C) 100
- (D) 125
答案与解析
- 试题难度:容易
- 知识点:计算机系统基础>多级存储结构
- 试题答案:[['B']]
- 试题解析:
本题考查计算机Cache的基础知识。
高速缓冲存储器(Cache)最重要的技术指标是命中率。CPU在Cache中找到有用的数据被称为命中,当Cache中没有CPU所需的数据时(这时称为未命中),CPU才访问内存。为了保证CPU访问时有较高的命中率,Cache中的内容应该按一定的算法替换。一种较常用的算法是“最近最少使用算法”(LRU算法),它是将最近一段时间内最少被访问过的行淘汰出局。因此需要为每行设置一个计数器,LRU算法是把命中行的计数器清零,其他各行计数器加1。当需要替换时淘汰行计数器计数值最大的数据行出局。这是一种高效、科学的算法,其计数器清零过程可以把一些频繁调用后再不需要的数据淘汰出Cache,提高Cache的利用率。
当新的主存块需要调入Cache并且它的可用空间位置又被占满时,需要替换掉Cache的数据,这就产生了替换策略(算法)问题。根据程序局部性规律可知:程序在运行中,总是频繁地使用那些最近被使用过的指令和数据。这就提供了替换策略的理论依据。替换算法目标就是使Cache获得最高的命中率。Cache替换算法是影响代理缓存系统性能的一个重要因素,一个好的Cache替换算法可以产生较高的命中率。
主存的存取周期为200ns,主存比Cache慢4倍,则Cache的存取周期为50ns。Cache的命中率为0.98,则系统的平均访问时间是50×0.98+200×0.02=53ns。
第 34 题
存储一个32位数0x12345678到1000H~1003H四个字节单元中,若以小端模式存储,则1000H存储单元的内容为( )。
- (A) 0x12
- (B) 0x21
- (C) 0x78
- (D) 0x87
答案与解析
- 试题难度:容易
- 知识点:嵌入式微处理器>常用嵌入式微处理器
- 试题答案:[['C']]
- 试题解析:
小端模式是指数据的高位保存在内存的高地址中,而数据的低位则保存在内存的低地址中。所以,低地址是1000H,存放的就是低字节0x78。
第 35 题
某同步总线的时钟频率为100MHz,宽度为32位,地址/数据线复用,每传输一个地址或者数据占有一个时钟周期。若该总线支持burst(猝发)传输方式,则一次“主存写”总线事务传输一个数组int buf[4]所需要的时间至少是( )ns。
- (A) 20
- (B) 40
- (C) 50
- (D) 80
答案与解析
- 试题难度:一般
- 知识点:嵌入式系统总线&通信接口>其它
- 试题答案:[['C']]
- 试题解析:
某同步总线的时钟频率为100MHz,宽度为32位,地址/数据线复用,每传输一个地址或者数据占有一个时钟周期。若该总线支持burst(猝发)传输方式,则一次“主存写”总线事务传输一个数组int buf[4]需要5个时钟周期,由于时钟频率是100MHZ,所以,1个时钟周期的时间是1/100MHZ=1/(100*1000*1000HZ)=10ns,所以5个时钟周期就是5*10ns=50ns。
第 36 题
以下关于特权指令的叙述中错误的是( )。
- (A) 特权指令集是计算机指令集的一个子集
- (B) 特权指令通常与系统资源的操纵和控制有关
- (C) 当计算机处于系统态运行时,它可以执行特权指令
- (D) 当计算机处于用户态运行时,它可以执行特权指令
答案与解析
- 试题难度:容易
- 知识点:嵌入式微处理器>常用嵌入式微处理器
- 试题答案:[['D']]
- 试题解析:
本题考查计算机状态和特权指令概念。
计算机运行时的状态可以分为系统态(或称管态)和用户态(或称目态)两种。当计算机处于系统态运行时,它可以执行特权指令,而处于用户态运行时,则不能执行特权指令,如果此时程序中出现特权指令,机器将会发出特权指令使用错误的中断。
所谓特权指令集是计算机指令集的一个子集,特权指令通常与系统资源的操纵和控制有关,例如,访外指令用于通道启动通道;时钟控制指令用于取、置时钟寄存器的值;程序状态字控制指令用于取、置程序状态字;通道控制指令用于访问通道状态字;中断控制指令则用于访问中断字等。
第 37 题
在PowerPC处理器中,内存地址与I/O地址统一编址,访问内存单元和I/O设备是靠( )来区分的。
- (A) 数据总线上输出的数据
- (B) 不同的地址
- (C) 内存与I/O设备使用不同的地址总线
- (D) 不同的指令
答案与解析
- 试题难度:一般
- 知识点:嵌入式微处理器>常用嵌入式微处理器
- 试题答案:[['B']]
- 试题解析:
I/O端口的访问包括存储器映射方式和I/O映射方式。
1.存储器映射方式:端口地址和存储器统一编址。特点是:使用访问存储器的指令和访问I/O端口是一样的,所以,访问内存单元和I/O设备是靠不同的地址来区分的;由于共用内存,所以,它能给I/O端口较大的编址空间,但是反过来也会使存储器的容量变小。
2. I/O映射方式:: I/O端口地址与存储器分开独立编址;特点是:需要使用专门的I/O指令对I/O端口进行操作,从而使得I/O操作和存储器操作层次清晰,程序可读性强。
第 38 题
在中断响应过程中,CPU保护程序计数器的主要目的是( )。
- (A) 为了实现中断嵌套
- (B) 使CPU能找到中断服务程序的入口地址
- (C) 为了使CPU在执行完中断服务程序后能返回到被中断程序的断点处
- (D) 为了使CPU与I/O设备并行工作
答案与解析
- 试题难度:容易
- 知识点:嵌入式微处理器>常用嵌入式微处理器
- 试题答案:[['C']]
- 试题解析:
在中断响应过程中,CPU保护程序计数器的主要目的是为了使CPU在执行完中断服务程序后能返回到被中断程序的断点处,也就是保留断点信息。然后在中断服务程序的最后,要开中断(以便CPU能响应新的中断请求)和安排一条中断返回指令,将堆栈内保存的主程序被中断的位置值弹出,运行被恢复到主程序。
第 39 题
某计算机数据总线为32位,地址空间从F0000000H到F007FFFFH映射为FLASH空间,若要实现FLASH的最大存储容量,至少需要( )片16K×16bit的FLASH芯片。
- (A) 8
- (B) 16
- (C) 32
- (D) 64
答案与解析
- 试题难度:一般
- 知识点:嵌入式系统的存储体系>存储器部件的分类
- 试题答案:[['D']]
- 试题解析:
地址个数:F007FFFFH-F0000000H+1=80000H,即512K,并且计算机的数据总线为32位,而每一片FLASH芯片的容量为16K×l6bit,则至少需要(512K*32bit)/(16K×16bit)=64片
第 40 题
以下关于基于模型的软件设计的叙述中,错误的是( )。
- (A) 可以提高软件开发效率,提高软件质量,开展早期验证
- (B) 其目标都是用建模语言来描述系统的架构与构件
- (C) 常常需要使用在不同级别上不同系统观点的多个模型来表达
- (D) 通常是一个以自顶向下的方式进行模型构造、分析和变换的迭代过程
答案与解析
- 试题难度:一般
- 知识点:嵌入式系统开发与维护知识>系统设计
- 试题答案:[['D']]
- 试题解析:
基于模型的软件设计,可以提高软件开发效率,提高软件质量,开展早期验证。任何基于模型的设计方法,其目标都是用建模语言描述系统架构与构件,为了准确描述系统,基于模型的设计,常常需要使用不同级别、不同系统观点的多个模型来表达,基于模型设计,模型构造、分析和变换通常是以不确定方向(自顶向下、自底向上等)的方式进行迭代。
第 41 题
三目运算符表达式“d=a>b?(a>c?a:c):(b>c?b:c);”等价于下列①、②、③、④四组程序的( )组解释。

- (A) ④
- (B) ③
- (C) ②
- (D) ①
答案与解析
- 试题难度:容易
- 知识点:嵌入式软件程序设计>嵌入式程序设计>面向过程的语言
- 试题答案:[['A']]
- 试题解析:
d=a>b?(a>c?a:c):(b>c?b:c);
当a>b为真时,取(a>c?a:c),然后当a>c为真时,取a,否则取c。
当a>b为假时,取(b>c?b:c),然后当b>c为真时,取b,否则取c。
第 42 题
以下关于嵌入式实时系统的叙述中,不正确的是( )。
- (A) 嵌入式实时系统,要求系统在投入运行前即具有确定性和可预测性
- (B) 可预测性是指系统在运行之前,其功能、响应特性和执行结果是可预测的
- (C) 确定性是指系统在给定的状态和输入下,在确定的时间内给出确定的结果
- (D) 对嵌入式实时系统失效的判断仅依赖对其运行结果的正确性判断
答案与解析
- 试题难度:容易
- 知识点:操作系统概述>进程(任务)管理
- 试题答案:[['D']]
- 试题解析:
实时系统(Real-time operating system,,RTOS)的正确性不仅依赖系统计算的逻辑结果,还依赖于产生这个结果的时间。实时系统能够在指定或者确定的时间内完成系统功能和外部或内部、同步或异步时间做出响应的系统。因此实时系统应该在事先先定义的时间范围内识别和处理离散事件的能力;系统能够处理和储存控制系统所需要的大量数据。
所以,嵌入式实时系统,要求系统在投入运行前即具有确定性和可预测性;可预测性是指系统在运行之前,其功能、响应特性和执行结果是可预测的;确定性是指系统在给定的状态和输入下,在确定的时间内给出确定的结果。因此,对嵌入式实时系统失效的判断,不仅依赖其运行结果的数值是否正确,也依赖提供结果是否及时。
第 43 题
以下关于嵌入式安全关键系统的设计以及系统健壮性相关的描述中,错误的是( )。
- (A) 嵌入式安全关键系统失效的后果非常严重,所以任何情况下决不放弃
- (B) 在“决不放弃”原则下,即使不符合规范要求的情况也要适当处置
- (C) 健壮性指尽管存在意外的扰动,系统仍保持可接受水平的服务的能力
- (D) 系统在规范运行时就可评估其健壮性
答案与解析
- 试题难度:一般
- 知识点:嵌入式系统开发与维护知识>其它
- 试题答案:[['D']]
- 试题解析:
D选项中的“系统在规范运行时就可评估其健壮性”,这句话是错误的。因为健壮性是指存在意外的扰动情况下系统保持可接受水平的服务的能力。所以要评估健壮性,系统一定要在意外状态下,只有当系统不在规范运行时才能评估它的健壮性。
第 44 题
设n的初值为正整数,设计一个递归算法如下:

以下叙述中,正确的是( )。
- (A) 计算fact(n)需要执行n+2次函数调用
- (B) 计算fact(n)需要执行n+1次函数调用
- (C) 计算fact(n)需要执行n次函数调用
- (D) 计算fact(n)需要执行n-1次函数调用
答案与解析
- 试题难度:容易
- 知识点:嵌入式软件程序设计>嵌入式程序设计>面向过程的语言
- 试题答案:[['B']]
- 试题解析:
能采用递归描述的算法通常有这样的特征:为求解规模为N的问题,设法将它分解成规模较小的问题,然后从这些小问题的解方便地构造出大问题的解,并且这些规模较小的问题也能采用同样的分解和综合方法,分解成规模更小的问题,并从这些更小问题的解构造出规模较大问题的解。特别地,当规模N=1或0时,能直接得解。
本题中,主程序调用fact(n)称为外部调用,其他调用称为内部调用,直到调用fact(0)为止。fact(n)调用fact(n-1),fact(n-1)调用fact(n-2),fact(1)调用fact(0),内部调用n次,外部调用一次,共n+1次。
第 45 题
以下关于软件可靠性相关的叙述中,错误的是( )。
- (A) 软件可靠性是指在规定的条件下和时间内,软件不引起系统故障的能力
- (B) 规定的条件:包括运行的软、硬件环境以及软件的使用方式
- (C) 规定的时间:包括日历时间、时间钟时间、执行时间等
- (D) 软件可靠性与软件存在的缺陷和系统的输入有关,与系统的使用无关
答案与解析
- 试题难度:容易
- 知识点:计算机系统基础>可靠性
- 试题答案:[['D']]
- 试题解析:
软件可靠性是指在规定的条件下和时间内,软件不引起系统故障的能力或概率。规定的条件包括运行的软、硬件环境以及软件的使用方式;规定的时间包括日历时间、时间钟时间、执行时间等。
软件可靠性不仅与软件存在的缺陷相关,而且与系统的输入和使用相关。
第 46 题
假设以下代码运行环境为32位系统,其中,attribute((packed))的作用是告诉编译器取消结构在编译过程中的优化对齐,按照实际占用字节数进行对齐。
代码段1:

代码段2:

sizeof(struct student1)、sizeof(union student2)的结果分别是( )。
- (A) 248和128
- (B) 31和31
- (C) 31和16
- (D) 16和16
答案与解析
- 试题难度:容易
- 知识点:嵌入式软件程序设计>嵌入式程序设计
- 试题答案:[['C']]
- 试题解析:
struct student1{
char name[10];-----10个字节
long sno; ------4个字节
char sex;------1个字节
float score[4];-----16个字节
}
sizeof(struct student1)结果为:10+4+1+16=31字节
sizeof(union student2)结果为:16字节
第 47 题
以下关于容错技术的叙述中,错误的是( )。
- (A) 系统容错技术,主要研究系统对故障的检测、定位、重构和恢复
- (B) 从余度设计角度出发,系统通常采用相似余度或非相似余度实现系统容错
- (C) 从结构角度出发,容错结构有单通道加备份结构、多通道结构
- (D) 通常硬件实现容错常用的有恢复块技术和N版本技术
答案与解析
- 试题难度:一般
- 知识点:嵌入式系统开发与维护知识>其它
- 试题答案:[['D']]
- 试题解析:
系统容错技术,主要研究系统对故障的检测、定位、重构和恢复。
从硬件余度设计角度出发,系统通常采用相似余度或非相似余度实现系统容错。
从结构角度出发,容错结构有单通道加备份结构、多通道结构。
通常软件实现容错常用的有恢复块技术和N版本技术。所以D选项是不正确的说法。
第 48 题
计算机性能指标对用户非常重要,下列与计算机性能评测有关的叙述,不正确的是( )。
- (A) 通常使用的综合评测指标有3类:工作量类、响应性能类、利用率类
- (B) 除综合评价指标外,评价系统性能的还有可靠性、可用性、可维护性等
- (C) 平均故障间隔时间MTBF越小,表示系统越可靠
- (D) 基准程序法benchmark,是一种常用的计算机性能测试方法
答案与解析
- 试题难度:容易
- 知识点:计算机系统基础>计算机的组成
- 试题答案:[['C']]
- 试题解析:
计算机系统的性能指标对用户非常重要。评价一个计算机系统,通常使用的综合评测指标有3类:工作量类、响应性能类和利用率类。
除上述综合评价指标外,评价系统性能的还有可靠性、可用性、可维护性、兼容性、开放性、可扩展性、安全性和性能价格比等。
基准程序法benchmark,是目前使用较多的一种计算机性能测试方法。
MTBF(mean time between failures)即平均故障间隔,用以表示系统平均无故障可正常运行的时间,是所选时段多次故障间隔时间的平均值,一般来说,MTBF这个指标与产品的可靠性相关,MTBF越高越好,在寿命周期内的故障和维修次数也就越低。
第 49 题
嵌入式实时系统中,有3个主要指标衡量系统的实时性,即响应时间、吞吐量和生存时间,针对这3个指标,下列描述正确的是( )。
- (A) 响应时间是计算机从识别一个外部事件到处理完这个事件的时间
- (B) 吞吐量是指系统可以处理的事件总数
- (C) 生存时间是数据有效等待的时间,在这段时间内数据是有效的
- (D) 系统对事件响应时间的长短,可以衡量系统的实时性
答案与解析
- 试题难度:一般
- 知识点:操作系统概述>进程(任务)管理
- 试题答案:[['C']]
- 试题解析:
实时系统(Real-time operating system,RTOS)的正确性不仅依赖系统计算的逻辑结果,还依赖于产生这个结果的时间。实时系统能够在指定或者确定的时间内完成系统功能和外部或内部、同步或异步时间做出响应的系统。而响应时间、吞吐量和生存时间是嵌入式实时系统的主要衡量指标。
响应时间:是计算机从识别一个外部事件到开始处理这个事件的时间;
吞吐量:是指在给定的时间内,系统可以处理的事件总数;
生存时间:是数据有效等待的时间,在这段时间内数据是有效的。
所以C选项是正确的。
第 50 题
若信号量S的初值为2,当前值为-1,则表示有( )等待进程。
- (A) 0个
- (B) 1个
- (C) 2个
- (D) 3个
答案与解析
- 试题难度:一般
- 知识点:操作系统概述>进程(任务)管理
- 试题答案:[['B']]
- 试题解析:
若信号量S的初值为2,表示该系统中可用的资源数是2,然后经过P操作后,也就是申请资源的操作,会将信号量S减1,当信号量为负值之后,进程就会被阻塞,这个时候S的绝对值就是请求该资源而阻塞等待的进程数目。当前的S值为-1,则表示有1个进程在等待。
第 51 题
软件项目实施过程中的里程碑点应在( )文档中确定。
- (A) 软件研制任务书
- (B) 软件开发计划
- (C) 软件测试计划
- (D) 软件研制总结报告
答案与解析
- 试题难度:一般
- 知识点:嵌入式系统开发与维护知识>系统开发过程及项目管理
- 试题答案:[['B']]
- 试题解析:
里程碑就是在项目过程中管理者或其他利益相关方需要关注的项目状态时间点。《软件研制任务书》仅规定任务提出方关注的里程碑,而《软件开发计划》才是规定包括软件研制任务书规定的、项目管理者或利益相关方关注的和(或)组织规定所需关注的项目状态时间点。项目设置多少里程碑需要在项目策划过程中进行计划,并在计划文档中记录,需要利益相关方认可。
项目设置里程碑应慎重,不宜太多,一旦设置,就应确保任务完成,否则可能会导致计划的频繁变更。
第 52 题
操作系统中的Spooling技术,实质是将( )转化为共享设备的技术。
- (A) 虚拟设备
- (B) 独占设备
- (C) 脱机设备
- (D) 块设备
答案与解析
- 试题难度:容易
- 知识点:操作系统概述>设备管理
- 试题答案:[['B']]
- 试题解析:
Spooling的意思是外部设备同时联机操作,又称为假脱机输入/输出操作,是操作系统中采用的一项将独占设备改造成共享设备的技术。Spooling系统的组成包括三部分:输入井和输出井、输入缓冲区和输出缓冲区、输入进程和输出进程。为了解决CPU输出数据的速度远远高于打印机的打印速度这一矛盾,在操作系统中一般采用Spooling技术。
第 53 题
受控库存放的内容包括( )文档和( )代码。
- (A) 通过评审且评审问题已归零或变更验证已通过,均已完成签署的
- (B) 只要完成编写的各种
- (C) 在软件设计阶段结束时的
- (D) 在综合测试阶段结束时的
- (A) 通过了项目规定测试的,或回归测试的,或产品用户认可的
- (B) 只要完成编写的各种
- (C) 在软件设计阶段结束时的
- (D) 在综合测试阶段结束时的
答案与解析
- 试题难度:容易
- 知识点:嵌入式系统开发与维护知识>系统开发过程及项目管理
- 试题答案:[['A'],['A']]
- 试题解析:
1.开发库(动态库、程序员库、工作库)。开发库存放项目确定的软件配置项集合,以及项目组需要存放的其他文件或过程记录。
2.受控库(主库、系统库)。受控库存放在软件开发过程中达到相对稳定、可以作为后续开发活动输入的软件工作产品(或称为配置项)。受控库存放的内容包括通过评审且评审问题已归零或变更验证已通过,均已完成签署的文档和通过了项目规定测试的,或回归测试的,或产品用户认可的代码。
3.产品库(备份库、静态库、软件仓库)。产品库存放作为软件产品的受控库中各阶段基线或产品基线对应的文档、源程序和可执行代码。
第 54 题
下面的一段C程序中,循环体语句( )退出循环。

- (A) 执行49次后
- (B) 执行50次后
- (C) 执行51次后
- (D) 死循环,不会
答案与解析
- 试题难度:一般
- 知识点:嵌入式软件程序设计>嵌入式程序设计>面向过程的语言
- 试题答案:[['D']]
- 试题解析:
unsigned char n; ------n是无符号类型,所以n不会为负数。
在循环语句中n都是大于等于0的整数,不会退出循环,会造成死循环。
第 55 题
变量W_data定义如下:

则变量W_data所占的内存存储空间可表示为( )。
- (A) sizeof(int)
- (B) sizeof(char)
- (C) sizeof(float)
- (D) sizeof(int)+sizeof(char)+sizeof(float)
答案与解析
- 试题难度:容易
- 知识点:嵌入式软件程序设计>嵌入式程序设计>面向过程的语言
- 试题答案:[['C']]
- 试题解析:
union的内存大小由其占有内存最大的成员决定,本题中float ff是内存最大的成员,所以变量W_data所占的内存存储空间可表示为sizeof(float)。
第 56 题
在关中断状态,不可响应的中断是( )。
- (A) 硬件中断
- (B) 软件中断
- (C) 不可屏蔽中断
- (D) 可屏蔽中断
答案与解析
- 试题难度:一般
- 知识点:嵌入式微处理器>常用嵌入式微处理器
- 试题答案:[['D']]
- 试题解析:
在微机系统中,对于外部中断,中断请求信号是由外部设备产生,并施加到CPU的NMI或INTR引脚上,CPU通过不断地检测NMI和INTR引脚信号来识别是否有中断请求发生。对于内部中断,中断请求方式不需要外部施加信号激发,而是通过内部中断控制逻辑去调用。无论是外部中断还是内部中断,中断处理过程都要经历以下步骤:请求中断→响应中断→关闭中断→保留断点→中断源识别→保护现场→中断服务子程序→恢复现场→中断返回。
中断又分为可屏蔽中断和不可屏蔽中断。在关中断状态,不可响应的中断是可屏蔽中断。
第 57 题
DMA数据的传送是以( )为单位进行的。
- (A) 字节
- (B) 字
- (C) 数据块
- (D) 位
答案与解析
- 试题难度:一般
- 知识点:计算机系统基础>I/O控制方式
- 试题答案:[['C']]
- 试题解析:
当外围设备要求传送一批数据时,由DMA控制器发一个停止信号给CPU,要求CPU放弃对地址总线、数据总线和有关控制总线的使用权。DMA控制器获得总线控制权以后,开始进行数据传送。在一批数据传送完毕后,DMA控制器通知CPU可以使用内存,并把总线控制权交还给CPU。
在这种方式下,DMA控制器从CPU完全接管对总线的控制,数据交换不经过CPU,而直接在内存与设备之间进行,因此数据交换的速度高,适用于高速成组传送数据,以数据块为单位传送。
第 58 题
现有3个同时到达的作业J1、J2和J3,它们的执行时间分别是T1、T2和T3,且T1<T2<T3。系统按单道方式运行且采用短作业优先算法,则平均周转时间是( )。
- (A) T1+T2+T3
- (B) (T1+T2+T3)/3
- (C) (3T1+2T2+T3)/3
- (D) (T1+2T2+3T3)/3
答案与解析
- 试题难度:容易
- 知识点:操作系统概述>进程(任务)管理
- 试题答案:[['C']]
- 试题解析:
短作业优先(Shortest Job First,SJF)调度算法用于进程调度时称为短进程优先调度算法,该调度算法既可以用于作业调度也可以用于进程调度。在作业调度中,短作业优先调度算法每次从后备作业队列中选择估计运行时间最短的一个或几个作业,将它们调入内存,分配必要的资源,创建进程并放入就绪队列。
由于3个作业同时到达,所以作业执行的次序依次是J1、J2和J3,故周转时间分别为:
J1:T1;
J2:T1+T2;
J3:T1+T2+T3;
则平均周转时间:J1+J2+J3/3S。
第 59 题
下列进程状态变化中,( )是不可能发生的。
- (A) 等待→运行
- (B) 运行→等待
- (C) 等待→就绪
- (D) 运行→就绪
答案与解析
- 试题难度:一般
- 知识点:操作系统概述>进程(任务)管理
- 试题答案:[['A']]
- 试题解析:
进程的状态转换图如下所示:

所以A选项是不可能的。
第 60 题
通过( )可清除上网痕迹。
- (A) 禁用脚本
- (B) 禁止SSL
- (C) 清除Cookie
- (D) 查看ActiveX控件
答案与解析
- 试题难度:容易
- 知识点:网络基础知识
- 试题答案:[['C']]
- 试题解析:
禁用脚本是禁止本地浏览器解释执行客户端脚本;
禁止SSL是禁止采用加密方式传送网页;
Cookie,是某些网站为了辨别用户身份、进行session跟踪而储存在用户本地终端上的数据(通常经过加密)。因此Cookie中保存有用户账号等临时信息,即上网之后留下的信息; 通过清除Cookie可清除上网痕迹。
ActiveX 控件是本地可执行的插件。
第 61 题
集线器与网桥的区别是:( )。
- (A) 集线器不能检测发送冲突,而网桥可以检测冲突
- (B) 集线器是物理层设备,而网桥是数据链路层设备
- (C) 网桥只有两个端口,而集线器是一种多端口网桥
- (D) 网桥是物理层设备,而集线器是数据链路层设备
答案与解析
- 试题难度:一般
- 知识点:网络基础知识
- 试题答案:[['B']]
- 试题解析:
使用集线器的以太网在逻辑上是一个总线网,各站点共享逻辑上的总线,使用的还是CSMA/CD协议。工作在物理层,在集线器中不进行冲突监测,冲突监测只发生在站点,如果两个接口同时有信号输入,那么所有的接口都不能收到正确的帧。集线器是整个一个冲突域。网桥也是一样,冲突监测只发生在站点,但冲突域局限于网桥的某个端口。
第 62 题
POP3协议采用( )模式,客户端代理与POP3服务器通过建立TCP连接来传送数据。
- (A) Browser/Server
- (B) Client/Server
- (C) Peer to Peer
- (D) Peer to Server
答案与解析
- 试题难度:容易
- 知识点:网络基础知识
- 试题答案:[['B']]
- 试题解析:
POP3,全名为“Post Office Protocol - Version 3”,即“邮局协议版本3”。是TCP/IP协议族中的一员,由RFC1939定义。本协议主要用于支持使用客户端远程管理在服务器上的电子邮件。提供了SSL加密的POP3协议被称为POP3S。
POP3协议特性:
POP3协议默认端口:110;
POP3协议默认传输协议:TCP;
POP3协议适用的构架结构:C/S;
POP3协议的访问模式:离线访问。
第 63 题
TCP使用的流量控制协议是( )。
- (A) 固定大小的滑动窗口协议
- (B) 后退N帧的ARQ协议
- (C) 可变大小的滑动窗口协议
- (D) 停等协议
答案与解析
- 试题难度:一般
- 知识点:网络基础知识
- 试题答案:[['C']]
- 试题解析:
在TCP的实现机制中,为了保障传输的可靠性,所以发送方每发送一个报文,接收方接到之后会回发确认信息。如果发送端的数据过多或者数据发送速率过快,致使接收端来不及处理,则会造成数据在接收端的丢弃。为了避免这种现象的发生,通常的处理办法是采用流量控制,即控制发送端发送的数据量及数据发送速率。
流量控制的目的是在接收端有限承受能力的情况下,通过流量约束,减少接收端处的数据丢失,提高数据发送效率,充分利用接收端资源。
可变滑动窗口流量控制的基本过程如下:
1、在建立TCP连接阶段,双方协商窗口尺寸,同时接收端预留数据缓冲区;
2、发送端根据协商的结果,发送符合窗口尺寸的数据字节流,并等待对方的确认;
3、发送端根据确认信息,改变窗口的尺寸。
注:窗口也就是缓冲区,发送方窗口大小决定了一次可以连续发送多少个数据。
第 64 题
以下4种路由中,( )路由的子网掩码是255.255.255.255。
- (A) 远程网络
- (B) 静态
- (C) 默认
- (D) 主机
答案与解析
- 试题难度:一般
- 知识点:网络基础知识
- 试题答案:[['D']]
- 试题解析:
主机路由和网络路由是由目的地址的完整度区分的,主机路由的目的地址是一个完整的主机地址(子网掩码固定为255.255.255.255)。网络路由目的地址是一个网络地址(主机号部分为0)。当为某个目的IP地址搜索路由表时,主机地址项必须与目的地址完全匹配,而网络地址项只需要匹配目的地址的网络号和子网号就可以了。
第 65 题
以下关于层次化局域网模型中核心层的叙述,正确的是( )。
- (A) 为了保障安全性,对分组要进行有效性检查
- (B) 将分组从一个区域高速地转发到另一个区域
- (C) 由多台二、三层交换机组成
- (D) 提供多条路径来缓解通信瓶颈
答案与解析
- 试题难度:一般
- 知识点:网络基础知识
- 试题答案:[['B']]
- 试题解析:
层次化网络设计模型可以帮助设计者按层次设计网络结构,并对不同层次赋予特定的功能,为不同层次选择正确的设备和系统。一个典型的层次化网络结构包括以下特征。
层次化模型中最为经典的是三层模型:
核心层是因特网络的高速骨干,由于其重要性,因此在设计中应该采用冗余组件设计,使其具备高可靠性,能快速适应变化。在选择核心层设备时候,应尽量避免使用数据包过滤、策略路由等降低数据包转发处理的特性,以优化核心层获得低延迟和良好的可管理性。
汇聚层是核心层和接入层的分界点,应尽量将出于安全性原因对资源访问的控制、出于性能原因对通过核心层流量的控制等,都在汇聚层实施。
接入层为用户提供了在本地网段访问应用系统的能力,接入层要解决相邻用户之间的互访需要,并且为这些访问提供足够的带宽。接入层还应该适当负责一些用户管理功能,包括地址认证、用户认证和计费管理等内容。接入层还负责一些信息的用户信息收集工作,例如用户的IP地址、MAC地址和访问日志等信息。
第 66 题
An embedded system is an applied computer system,as distinguished from other types of( )such as personal computers(PCs)or supercomputers.
- (A) computer systems
- (B) computer hardware
- (C) computer software
- (D) systems
答案与解析
- 试题难度:一般
- 知识点:嵌入式系统软件>嵌入式软件基础
- 试题答案:[['A']]
- 试题解析:
嵌入式系统是一种计算机应用系统,是一种同个人计算机、超级计算机具有显著区别的计算机系统。
第 67 题
The architecture of an embedded system is an abstraction of the embedded device,meaning that it is a( )of the system that typically doesn’t show detailed implementation information such as software source code or hardware circuit design.
- (A) specialization
- (B) computer
- (C) generalization
- (D) design
答案与解析
- 试题难度:一般
- 知识点:嵌入式系统开发与维护知识>系统设计
- 试题答案:[['C']]
- 试题解析:
嵌入式系统的体系结构是一个抽象的嵌入式设备,也就是说它是一种概括化的系 统,并不关心里面的实现细节信息,比如软件源码或者硬件电路设计。
第 68 题
Hardware interrupts are triggered by( )outside the microcontroller.
- (A) user instructions
- (B) peripheral devices
- (C) kernel
- (D) program
答案与解析
- 试题难度:容易
- 知识点:嵌入式系统输入输出设备>其它
- 试题答案:[['B']]
- 试题解析:
嵌入式微控制器的中断触发是由外部的设备所引起的。
第 69 题
Digital Signal Processing(DSP),has emerged as an important technology for modem electronic systems. It is a form of( )hat is one of the newest and hottest fields,and is considered to be the workhorse of choice for many computational-intensive applications.
- (A) embedded design
- (B) programming
- (C) kernel
- (D) software
答案与解析
- 试题难度:一般
- 知识点:嵌入式微处理器>常用嵌入式微处理器
- 试题答案:[['A']]
- 试题解析:
数字信号处理器是目前电子系统的一种关键性技术。它是一种嵌入式系统的设计, 并且是最新的和最热门的领域之一,在许多密集型计算中都会考虑用数字信号处理器来 进行实现。
第 70 题
Embedded C is a set of( )for the C Programming language by the C Standards committee to address commonality issues that exist between C extensions for different embedded systems.
- (A) programming
- (B) database
- (C) interface
- (D) language extensions
答案与解析
- 试题难度:一般
- 知识点:嵌入式软件程序设计>嵌入式程序设计>面向过程的语言
- 试题答案:[['D']]
- 试题解析:
嵌入式C语言是一种依据C语言标准的扩展性编程语言,它强调的是不同嵌入式系统在C语言上的一些共性问题。