201505网工上午真题
第 1 题
某机器字长为n位的二进制可以用补码来表示( )个有符号定点小数。
- (A) 2n
- (B) 2n-1
- (C) 2n-1
- (D) 2n-1+1
答案与解析
- 试题难度:一般
- 知识点:计算机硬件基础>数据的表示>原码、反码和补码
- 试题答案:[[A]]
- 试题解析:
直接应用补码的概念,无论对于定点小数还是定点整数,第一个总是符号位,例如8位补码整数中,其余7位表示数,从-128—-1,从0-127,共256个数,那么一共28个数,小数也是一样的。
把8替换为N就得到了答案。
第 2 题
计算机中CPU对其访问速度最快的是( )。
- (A) 内存
- (B) Cache
- (C) 通用寄存器
- (D) 硬盘
答案与解析
- 试题难度:一般
- 知识点:计算机硬件基础>存储系统>多级存储结构
- 试题答案:[[C]]
- 试题解析:CPU对存储访问的速度由快到慢排序如下:寄存器----Cache-----内存-----硬盘。
第 3 题
计算机中CPU的中断响应时间指的是( )的时间。
- (A) 从发出中断请求到中断处理结束
- (B) 从中断处理开始到中断处理结束
- (C) CPU分析判断中断请求
- (D) 从发出中断请求到开始进入中断处理程序
答案与解析
- 试题难度:一般
- 知识点:操作系统>设备管理>中断方式
- 试题答案:[[D]]
- 试题解析:中断的响应时间就是中断的响应过程的时间,中断的响应过程是当有事件产生,进入中断之前必须先记住当前正在做的事情,然后去处理发生的事情,基本定义就是:从发出中断请求到进入中断处理所用的时间。
第 4 题
总线宽度为32bit,时钟频率为200MHz,若总线上每5个时钟周期传送一个32bit的字,则该总线的带宽为( )MB/S。
- (A) 40
- (B) 80
- (C) 160
- (D) 200
答案与解析
- 试题难度:一般
- 知识点:计算机硬件基础>计算机体系结构>冯·诺依曼体系结构
- 试题答案:[['C']]
- 试题解析:根据总线时钟频率为200MHz,得1 个时钟周期为1/200MHz=0.005μs。
总线传输周期为0.005μs×5=0.025μs,由于总线的宽度为32 位=4B(字节),故总线的数据传输率为4B/(0.025μs)=160MBps
第 5 题
以下关于指令流水线性能度量的叙述中,错误的是( )。
- (A) 最大吞吐率取决于流水线中最慢一段所需的时间。
- (B) 流水线出现断流,加速比会明显下降
- (C) 要使加速比和效率最大化应该对流水线各级采用相同的运行时间
- (D) 流水线采用异步控制会明显提高其性能
答案与解析
- 试题难度:一般
- 知识点:计算机硬件基础>计算机体系结构>流水线计算
- 试题答案:[[D]]
- 试题解析:异步流动是指任务从流水线流出的次序同流入流水线的次序不一样,也称为乱序流动或错序流动。性能会下降。
第 6 题
对高级语言源程序进行编译或解释的过程可以分为多个阶段,解释方式不包含( )。
- (A) 词法分析
- (B) 语法分析
- (C) 语义分析
- (D) 目标代码生成
答案与解析
- 试题难度:一般
- 知识点:系统开发和项目管理基础>软件开发与测试>程序编码
- 试题答案:[[D]]
- 试题解析:编译和解释是语言处理的两种基本方式。编译过程包括词法分析、语法分析、语义分析、中间代码生成、代码优化和目标代码生成等阶段,以及符号表管理和出错处理模块。解释过程在词法、语法和语义分析方面与编译程序的工作原理基本相同,但是在运行用户程序时,它直接执行源程序或源程序的内部形式。
这两种语言处理程序的根本区别是:在编译方式下,机器上运行的是与源程序等价的目标程序,源程序和编译程序都不再参与目标程序的执行过程;而在解释方式下,解释程序和源程序(或其某种等价表示)要参与到程序的运行过程中,运行程序的控制权在解释程序。解释器翻译源程序时不产生独立的目标程序,而编译器则需将源程序翻译成独立的目标程序。
第 7 题
C程序中全局变量的存储空间在( )分配。
- (A) 代码区
- (B) 静态数据区
- (C) 栈区
- (D) 堆区
答案与解析
- 试题难度:一般
- 知识点:系统开发和项目管理基础>软件开发与测试>程序编码
- 试题答案:[[B]]
- 试题解析:编译的程序占用的内存分为以下几个部分:
1、栈区(stack)— 由编译器自动分配释放,存放函数的参数值,局部变量的值等。其操作方式类似于数据结构中的栈。
2、堆区(heap)—般由程序员分配释放, 若程序员不释放,程序结束时可能由OS回收 。
3、全局区(静态区)(static)—全局变量和静态变量的存储是放在一块的,初始化的全局变量和静态变量在一块区域,未初始化的全局变量和未初始化的静态变量在相邻的另一块区域。
4、文字常量区—常量字符串就是放在这里的。
5、程序代码区—存放函数体的二进制代码。
第 8 题
某进程有4个页面,页号为0~3,页面变换表及状态位、访问位和修改位的含义如下图所示。系统给该进程分配了3个存储块,当采用第二次机会页面替换算法时,若访问的页面1不在内存,这时应该淘汰的页号为( )。

- (A) 0
- (B) 1
- (C) 2
- (D) 3
答案与解析
- 试题难度:一般
- 知识点:操作系统>存储管理>页面置换算法
- 试题答案:[[D]]
- 试题解析:
本题的关键就是看懂这个图。本题3个存储块,4个页面。现在一开始3个存储块里面的页号是0、2、3.现在需要访问页号1,也就是把0、2、3中的一个替换出来,根据第二次机会算法。先看访问位,访问位一样的话,再看修改位。没有修改的页号3替换出来。所以答案是D。
第 9 题
王某是某公司的软件设计师,每当软件开发完成后均按公司规定编写软件文档,并提交公司存档,那么该软件文档的著作权( )享有。
- (A) 应由公司
- (B) 应由公司和王某共同
- (C) 应由王某
- (D) 除署名权以外,著作权的其他权利由王某
答案与解析
- 试题难度:容易
- 知识点:法律法规与标准化>产权人的确定
- 试题答案:[[A]]
- 试题解析:职务作品的著作权应由公司享有,很显然,王某编写的软件文档属于职务作品。
第 10 题
当登录交换机时,符号( )是特权模式提示符。
- (A) @
- (B) #
- (C) >
- (D) &
答案与解析
- 试题难度:一般
- 知识点:网络设备配置>思科(可不用练习)
- 试题答案:[['B']]
- 试题解析:交换机的特权模式提示符为#。
第 11 题
下面的选项中显示系统硬件和软件版本信息的命令是( )。
- (A) show configuration
- (B) show environment
- (C) show version
- (D) show platform
答案与解析
- 试题难度:一般
- 知识点:网络设备配置>网络设备的基本配置
- 试题答案:[[C]]
- 试题解析:Show version可以显示系统硬件和软件版本的信息。
第 12 题
Cisco路由器高速同步串口默认的封装协议是( )。
- (A) PPP
- (B) LAPB
- (C) HDLC
- (D) AIM-DXI
答案与解析
- 试题难度:一般
- 知识点:广域网与接入网技术>常见广域网技术与协议>HDLC协议
- 试题答案:[[C]]
- 试题解析:Cisco路由器串口的默认封装协议是HDLC。
第 13 题
以下关于网桥和交换机的区别叙述中,正确的是( )。
- (A) 交换机主要是基于软件实现,而网桥是基于硬件实现的
- (B) 交换机定义了广播域,而网桥定义了冲突域
- (C) 交换机根据IP地址转发,而网桥根据MAC地址转发
- (D) 交换机比网桥的端口多,转发速度更快
答案与解析
- 试题难度:一般
- 知识点:局域网技术>以太网技术>交换式以太网
- 试题答案:[['D']]
- 试题解析:交换机和网桥都是二层设备,网络是基于软件的方式实现,交换机是基于硬件实现。交换机和网桥都分割冲突域,每一个接口就是一个冲突域。交换机和网桥都是基于MAC地址进行转发,交换机比网桥的端口多,而且转发速度更快。
第 14 题
正交幅度调制16-QAM的数据速率是码元速率的( )倍。
- (A) 2
- (B) 4
- (C) 8
- (D) 16
答案与解析
- 试题难度:一般
- 知识点:数据通信基础>编码与调制>数字调制技术
- 试题答案:[[B]]
- 试题解析:16-QAM调制的码元种类数16,根据奈奎斯特定律,数据速率与码元速率的关系为log2N(N为码元种类数),所以数据速率是码元速率的4倍。
第 15 题
电话线路使用的带通虑波器的宽带为3KHz (300~3300Hz),根据奈奎斯特采样定理,最小采样频率应为( )。
- (A) 300Hz
- (B) 3390Hz
- (C) 6000Hz
- (D) 6600Hz
答案与解析
- 试题难度:一般
- 知识点:数据通信基础>编码与调制>PCM脉冲编码调制技术
- 试题答案:[[D]]
- 试题解析:奈奎斯特采样定理:采样频率至少为最高频率的2倍。
第 16 题
当一个帧离开路由器接口时,其第二层封装信息中( )。
- (A) 数据速率由10BASE-TX变为100BASE-TX
- (B) 源和目标IP地址改变
- (C) 源和目标MAC地址改变
- (D) 模拟线路变为数字线路
答案与解析
- 试题难度:一般
- 知识点:因特网和互联网技术>网络层协议>ARP协议
- 试题答案:[[C]]
- 试题解析:数据包转发过程中,源目IP不变,源目MAC变化。
第 17 题
以下关于OSPF的区域(Area)的叙述中,正确的是( )。
- (A) 各个OSPF区域都要连接到主干区域
- (B) 分层的OSPF网络不需要多个区域
- (C) 单个OSPF网络只有区域1
- (D) 区域ID的取值范围是1~32768
答案与解析
- 试题难度:一般
- 知识点:网络设备配置>OSPF路由协议
- 试题答案:[[A]]
- 试题解析:OSPF区域的范围为0-65535,单区域时,其区域号应设置为0,代表骨干区域。多层OSPF网络需要多个区域,且各个OSPF都需要连接到骨干区域。
第 18 题
运行OSPF协议的路由器用( )报文来建立和更新它的拓扑数据库。
- (A) 由其他路由器发送的链路状态公告(LSA)
- (B) 从点对点链路收到的信标
- (C) 由指定路由器收到的TTL分组
- (D) 从邻居路由器收到的路由表
答案与解析
- 试题难度:容易
- 知识点:网络设备配置>OSPF路由协议
- 试题答案:[[A]]
- 试题解析:运行OSPF协议的路由器用LSA链路状态通告报文来建立和更新它的拓扑数据库。
第 19 题
链路状态路由协议的主要特点是( )。
- (A) 邻居之间交换路由表
- (B) 通过事件触发及时更新路由
- (C) 周期性更新全部路由表
- (D) 无法显示整个网络拓扑结构
答案与解析
- 试题难度:一般
- 知识点:网络设备配置>OSPF路由协议
- 试题答案:[[B]]
- 试题解析:链路状态路由协议是邻居之间交换LSA链路状态通告,每台路由在本地维护链路状态数据库,再运行SPF(最短路径优先)算法,生成路由表。链路状态路由协议可通过事件触发及时更新路由。
第 20 题
从下面一条RIP路由信息中可以得到的结论是( )。
- (A) 下一个路由更新将在36秒之后到达
- (B) 到达目标10.10.10.7的距离是两跳
- (C) 串口 S0/1的IP地址是10.10.10.8
- (D) 串口 S0/1的IP地址是10.10.10.7
答案与解析
- 试题难度:一般
- 知识点:网络设备配置>RIP路由协议
- 试题答案:[['B']]
- 试题解析:路由表各项解释如下:
R:代表RIP路由协议。
10.10.10.7:目标网络或主机。
[120/2]:120代表管理距离,2代表度量值,2跳可到达。
10.10.10.8:下一跳地址。
00:00:24:路由更新的时间。
第 21 题
运行距离矢量路由协议的路由器( )。
- (A) 把路由表发送到整个路由域中的所有路由器
- (B) 使用最短道路算法确定最佳路由
- (C) 根据邻居发来的信息更新自己的路由表
- (D) 维护整个网络的拓扑数据库
答案与解析
- 试题难度:一般
- 知识点:网络设备配置>RIP路由协议
- 试题答案:[[C]]
- 试题解析:距离矢量路由协议根据邻居发来的信息更新路由表。
第 22 题
以下关于VLAN的叙述中,正确的是( )。
- (A) VLAN对分组进行过滤,增强了网络的安全性
- (B) VLAN提供了在大型网络中保护IP地址的方法
- (C) VLAN在可路由的网络中提供了低延迟的互联手段
- (D) VLAN简化了在网络中增加、移除和移动主机的操作
答案与解析
- 试题难度:一般
- 知识点:局域网技术>虚拟局域网>VLAN的产生
- 试题答案:[[D]]
- 试题解析:VLAN虚拟局域网可在交换网络中逻辑划分多个虚拟局域网,从而分割广播域,同时可简化在网络中增加、移除和移动主机的操作。
第 23 题
当局域网中更换交换机时,怎样保证新交换机成为网络中的根交换机?( )。
- (A) 降低网桥优先级
- (B) 改变交换机的MAC地址
- (C) 降低交换机端口的根通路费用
- (D) 为交换机指定特定的IP地址
答案与解析
- 试题难度:一般
- 知识点:局域网技术>生成树协议STP>STP协议算法
- 试题答案:[[A]]
- 试题解析:生成树协议中选举根交换机是根据网桥ID,选取最小的网桥ID的交换机为根网桥。网桥ID由网桥优先级和网桥MAC地址两部分。
第 24 题
双绞线电缆配置如下图所示,这种配置支持( )之间的连接。

- (A) PC到路由器
- (B) PC到交换机
- (C) 服务器到交换机
- (D) 交换机到路由器
答案与解析
- 试题难度:一般
- 知识点:局域网技术>以太网技术>以太网传输介质
- 试题答案:[["A"]]
- 试题解析:从图中可看出是交叉的线的连接方式,PC到路由器应采用交叉连接方式。
第 25 题
参考下图的网络配置,发现工作站B无法与服务器A通信,什么故障影响了两者互通?( )。
- (A) 服务器A的IP地址是广播地址
- (B) 服务器B的IP地址是网络地址
- (C) 工作站B与网关不属于同一子网
- (D) 服务器A与网关不属于同一子网
答案与解析
- 试题难度:一般
- 知识点:因特网和互联网技术>网络层协议>IPV4协议>子网划分与子网掩码
- 试题答案:[['D']]
- 试题解析:很明显可以看出,服务器A网络段的IP地址范围为:131.1.123.1-131.1.123.30,而网关131.1.123.33不在同一网段。
第 26 题
某网络拓扑图如下所示,若采用RIP协议,在路由器Rounter2上需要进行RIP声明的网络是( )。

- (A) 仅网络1
- (B) 网络1、202.117.112.0/30和202.117.113.0/30
- (C) 网络1、网络2和网络3
- (D) 仅202.117.112.0/30和202.117.113.0/30
答案与解析
- 试题难度:一般
- 知识点:网络设备配置>RIP路由协议
- 试题答案:[['B']]
- 试题解析:RIP路由协议宣告时,需要宣告直连的所有网络。
第 27 题
IIS服务身份验证方式中,安全级别最低的是( )。
- (A) NET PASSPORT身份验证
- (B) 集成Windows身份验证
- (C) 基本身份验证
- (D) 摘要式身份验证
答案与解析
- 试题难度:一般
- 知识点:网络服务器配置>Windows系统WEB站点配置
- 试题答案:[[C]]
- 试题解析:IIS身份验证方式中,基本身份验证的安全级别最低,采用明文的方式传送用户名和密码。
第 28 题
有较高实时性要求的应用( )。
- (A) 电子邮件
- (B) 网页浏览
- (C) VoIP
- (D) 网络管理
答案与解析
- 试题难度:一般
- 知识点:因特网和互联网技术>传输层协议>UDP协议
- 试题答案:[[C]]
- 试题解析:VoIP网络电话对实时性要求最高。
第 29 题
在Linux中,文件( )解析主机域名。
- (A) /etc/hosts
- (B) /etc/host.conf
- (C) /etc/hostname
- (D) /etc/bind
答案与解析
- 试题难度:一般
- 知识点:网络服务器配置>Linux系统DNS服务器配置
- 试题答案:[[A]]
- 试题解析:在Linux中,文件/etc/hosts解析主机域名。 /etc/host.conf说明解析的顺序。
第 30 题
在Linux中,要删除用户组group 1应使用( )命令。
- (A) [root@localhostl#delete group1
- (B) [root@localhost]#gdelete group1
- (C) [root@localhost]#groupdel group1
- (D) [ root@localhost]#gd group 1
答案与解析
- 试题难度:一般
- 知识点:网络管理和网络存储>常见操作系统的基本管理>Linux的基本管理
- 试题答案:[['C']]
- 试题解析:在Linux中,要删除用户组group 1应使用groupdel group1命令。
第 31 题
Windows server2003采用IPSec进行保密通信,如果密钥交换采用”主密钥完全向前保密(PFS)”,则“身份验证和生成密钥间隔”默认值为480分钟和( )个会话。

- (A) 1
- (B) 2
- (C) 161
- (D) 530
答案与解析
- 试题难度:一般
- 知识点:网络服务器配置>其他
- 试题答案:[[A]]
- 试题解析:PFS(perfect forward secrecy),中文可叫做完全前向保密。要求一个密钥只能访问由它所保护的数据;用来产生密钥的元素一次一换,不能再产生其他的密钥;一个密钥被破解,并不影响其他密钥的安全性。
第 32 题
在Windows用户管理中,使用组策略A-G-DL-P,其中P表示( )。
- (A) 用户账号
- (B) 资源访问权限
- (C) 域本地组
- (D) 通用组
答案与解析
- 试题难度:一般
- 知识点:网络管理和网络存储>常见操作系统的基本管理>Windows的基本管理
- 试题答案:[[B]]
- 试题解析:AGDLP:将用户加入全局组,将全局组加入本地域网,对本地域组赋权限。其中A代表用户,G代表全局组,DL代表本地域组,P代表权限。
第 33 题
以下叙述中,不属于无源光网络优势的是( )。
- (A) 设备简单,安装维护费用低,投资相对较小
- (B) 组网灵活,支持多种拓扑结构
- (C) 安装方便,不要另外租用或建造机房
- (D) 无源光网络适用于点对点通信
答案与解析
- 试题难度:一般
- 知识点:广域网与接入网技术>接入网技术>光纤接入技术FTTX
- 试题答案:[[D]]
- 试题解析:无源光网络PON适用于点到多点的通信。
第 34 题
查看DNS缓存记录的命令是( )。
- (A) ipconfig /flushdns
- (B) nslookup
- (C) ipconfig /release
- (D) ipconfig /displaydns
答案与解析
- 试题难度:一般
- 知识点:网络管理和网络存储>常见操作系统的基本管理>Windows的基本管理
- 试题答案:[[D]]
- 试题解析:查看DNS缓存记录的命令是ipconfig/displaydns。
第 35 题
在Windows操作系统中,( )文件可以帮助域名解析。
- (A) cookie
- (B) Index
- (C) Hosts
- (D) defauit
答案与解析
- 试题难度:容易
- 知识点:因特网和互联网技术>应用层协议>DNS协议
- 试题答案:[[C]]
- 试题解析:Hosts文件可以在本地定义域名对IP的解析。
第 36 题
DHCP( )报文的目的IP地址为255.255.255.255。
- (A) DhcpDiscover
- (B) DhcpOffer
- (C) DhcpNack
- (D) DhcpAck
答案与解析
- 试题难度:一般
- 知识点:因特网和互联网技术>应用层协议>DHCP协议
- 试题答案:[[A]]
- 试题解析:按照出题者的意图主要是说明DHCP Discover包会在整个网络中广播发送。
第 37 题
客户端采用( )报文来拒绝DHCP服务器提供的IP地址。
- (A) DhcpOffer
- (B) DhcpDecline
- (C) DhcpAck
- (D) DhcpNack
答案与解析
- 试题难度:一般
- 知识点:因特网和互联网技术>应用层协议>DHCP协议
- 试题答案:[[B]]
- 试题解析:在DHCP协议中,当客户端检测到分配的IP已在局域网中使用,会使用DhcpDecline报文拒绝DHCP服务器提供的IP地址。
第 38 题
若一直得不到回应,DHCP客户端总共会广播( )次请求。
- (A) 3
- (B) 4
- (C) 5
- (D) 6
答案与解析
- 试题难度:一般
- 知识点:因特网和互联网技术>应用层协议>DHCP协议
- 试题答案:[[B]]
- 试题解析:DHCP客户机在发出IP租用请求的DHCPDISCOVER广播包后,将花费1秒钟的 时间等待DHCP服务器的回应,如果1秒钟没有服务器的回应,它会将这一广播包重新广播四次(以2,4,8和16秒为间隔,加上1~1000毫秒之间随机 长度的时间)。四次之后,如果仍未能收到服务器的回应,则运行Windows 2000的DHCP客户机将从169.254.0.0/16这个自动保留的私有IP地址(APIPA)中选用一个IP地址,而运行其他操作系统的DHCP 客户机将无法获得IP地址。DHCP客户机仍然每隔5分钟重新广播一次,如果收到某个服务器的回应,则继续IP租用过程。
第 39 题
提供电子邮件安全服务的协议是( )。
- (A) PGP
- (B) SET
- (C) SHTTP
- (D) Kerberos
答案与解析
- 试题难度:一般
- 知识点:网络安全技术>网络安全协议>PGP协议
- 试题答案:[[A]]
- 试题解析:提供电子邮件安全服务的协议是PGP。
第 40 题
IDS设备的主要作用是( )。
- (A) 用户认证
- (B) 报文认证
- (C) 入侵检测
- (D) 数据加密
答案与解析
- 试题难度:一般
- 知识点:网络安全技术>网络安全技术应用>IDS和IPS
- 试题答案:[[C]]
- 试题解析:IDS入侵检测系统,是对网络中的入侵行为进行检测的设备。
第 41 题
宏病毒可以感染后缀为( )的文件。
- (A) exe
- (B) txt
- (C) pdf
- (D) XLS
答案与解析
- 试题难度:一般
- 知识点:网络安全技术>网络安全概述>计算机病毒
- 试题答案:[[D]]
- 试题解析:宏病毒会感染office系统的文件。
第 42 题
Kerberos是一种( )。
- (A) 加密算法
- (B) 签名算法
- (C) 认证服务
- (D) 病毒
答案与解析
- 试题难度:一般
- 知识点:网络安全技术>网络安全基础技术>对称密钥的分配
- 试题答案:[[C]]
- 试题解析:Kerberos这一名词来源于希腊神话“三个头的狗——地狱之门守护者”。系统设计上采用客户端/服务器结构与DES加密技术,并且能够进行相互认证,即客户端和服务器端均可对对方进行身份认证。可以用于防止窃听、防止replay攻击、保护数据完整性等场合,是一种应用对称密钥体制进行密钥管理的系统。
第 43 题
以下关于三重DES加密的叙述中,正确的是( )。
- (A) 三重DES加密使用一个密钥进行三次加密
- (B) 三重DES加密使用两个密钥进行三次加密
- (C) 三重DES加密使用三个密钥进行三次加密
- (D) 三重DES加密的密钥长度是DES密钥长度的3倍。
答案与解析
- 试题难度:容易
- 知识点:网络安全技术>网络安全基础技术>加密技术
- 试题答案:[[B]]
- 试题解析:三重DES加密使用两个密钥进行三次加密,密钥长度为112位。
第 44 题
SNMP协议属于( )层协议。
- (A) 物理
- (B) 网络
- (C) 传输
- (D) 应用
答案与解析
- 试题难度:一般
- 知识点:网络管理和网络存储>基本网络管理>简单网络管理协议SNMP
- 试题答案:[[D]]
- 试题解析:本题考查SNMP方面的基础知识。
SNMP为应用层协议,是TCP/IP协议族的一部分。它通过用户数据报协议(UDP)来操作。在分立的管理站中,管理者进程对位于管理站中心的MIB的访问进行控制,并提供网络管理员接口。管理者进程通过SNMP完成网络管理。
第 45 题
SNMPv3新增了( )功能。
- (A) 管理站之间通信
- (B) 代理
- (C) 认证和加密
- (D) 数据块检索
答案与解析
- 试题难度:一般
- 知识点:网络管理和网络存储>基本网络管理>简单网络管理协议SNMP
- 试题答案:[[C]]
- 试题解析:SNMPv3主要提供了安全性的加强,其中包括认证和加密功能。
第 46 题
网络管理系统中故障管理的目标是( )。
- (A) 自动排除故障
- (B) 优化网络性能
- (C) 提升网络安全
- (D) 自动监测故障
答案与解析
- 试题难度:一般
- 知识点:网络管理和网络存储>基本网络管理>简单网络管理协议SNMP
- 试题答案:[[D]]
- 试题解析:网络管理系统中的故障管理的目标是自动监测网络故障。
第 47 题
一台主机的浏览器无法访问域名为www.sohu.com的网站,并且在这台计算机执行tracert命令时有如下信息:

- (A) 该计算机IP地址设置有误
- (B) 相关路由器上进行了访问控制
- (C) 本地网关不可达
- (D) 本地DNS服务器工作不正常
答案与解析
- 试题难度:一般
- 知识点:因特网和互联网技术>网络层协议>ICMP协议
- 试题答案:[['B']]
- 试题解析:图中可看出www.sohu.com已经成功解析,可得出IP地址没问题、而且可到达网关以及DNS正常。
第 48 题
使用netstat-o命令可显示网络( )。
- (A) IP、ICMP、TCP、UDP协议的统计信息
- (B) 以太网统计信息
- (C) 以数字格式显示所有连接、地址及端口
- (D) 每个连接的进程ID
答案与解析
- 试题难度:一般
- 知识点:网络管理和网络存储>常见操作系统的基本管理>Windows的基本管理
- 试题答案:[[D]]
- 试题解析:Netstat命令参数如下:
命令中各选项的含义如下:
-a 显示所有socket,包括正在监听的。
-c 每隔1秒就重新显示一遍,直到用户中断它。
-i 显示所有网络接口的信息,格式“netstat -i”。
-n 以网络IP地址代替名称,显示出网络连接情形。
-r显示核心路由表,格式同“route -e”。
-t 显示TCP协议的连接情况
-u 显示UDP协议的连接情况。
-v 显示正在进行的工作。
-p 显示指定协议信息。
-b 显示在创建每个连接或侦听端口时涉及的可执行程序。
-e 显示以太网统计。此选项可以与 -s 选项结合使用。
-f 显示外部地址的完全限定域名(FQDN)。
-o 显示拥有的与每个连接关联的进程 ID。
-s 显示每个协议的统计。
-x 显示 NetworkDirect 连接、侦听器和共享端点。
-y 显示所有连接的 TCP 连接模板。无法与其他选项结合使用。
第 49 题
IEEE 802.1x是一种基于( )认证协议。
- (A) 用户ID
- (B) 报文
- (C) MAC地址
- (D) SSID
答案与解析
- 试题难度:一般
- 知识点:局域网技术>WLAN无线局域网>WiFi安全性
- 试题答案:[['C']]
- 试题解析:802.1x协议是基于Client/Server的访问控制和认证协议。它可以限制未经授权的用户/设备通过接入端口(access port)访问LAN/WLAN。在获得交换机或LAN提供的各种业务之前,802.1x对连接到交换机端口上的用户/设备MAC地址进行认证。在认证通过之前,802.1x只允许EAPoL(基于局域网的扩展认证协议)数据通过设备连接的交换机端口;认证通过以后,正常的数据可以顺利地通过以太网端口。
C选项比A选项更优的是,A选项应该加上用户ID和密码。802.1x协议也可以扩展到基于MAC地址的认证。
第 50 题
为了弥补WEP协议的安全缺陷,WPA安全认证方案增加的机制是( )。
- (A) 共享密钥认证
- (B) 临时密钥完整性协议
- (C) 较短的初始化向量
- (D) 采用更强的加密算法
答案与解析
- 试题难度:一般
- 知识点:局域网技术>WLAN无线局域网>WiFi安全性
- 试题答案:[[B]]
- 试题解析:WPA中增加的机制是临时密钥完整性协议。
第 51 题
由DHCP服务器分配的默认网关地址是192.168.5.33/28,( )是本地主机的有效地址。
- (A) 192.168.5.32
- (B) 192.168.5.55
- (C) 192.168.5.47
- (D) 192.168.5.40
答案与解析
- 试题难度:一般
- 知识点:因特网和互联网技术>网络层协议>IPV4协议>子网划分与子网掩码
- 试题答案:[[D]]
- 试题解析:192.168.5.33/28,其中子网号为:192.168.5.32,广播地址为192.168.5.47。子网号与广播地址之间的为可用的IP地址。
第 52 题
如果指定的地址掩码是255.255.254.0,则有效的主机地址是( )。
- (A) 126.17.3.0
- (B) 174.15.3.255
- (C) 20.15.36.0
- (D) 115.12.4.0
答案与解析
- 试题难度:一般
- 知识点:因特网和互联网技术>网络层协议>IPV4协议>子网划分与子网掩码
- 试题答案:[[A]]
- 试题解析:地址掩码是255.255.254.0,所以主机地址占最后的9位。
126.17.3.0地址的而仅是为:01111110.00010001.00000011.00000000这是一个有效的主机地址。
174.15.3.255的二进制:10101110.00001111.00000011.11111111这是一个广播地址。
20.15.36.0的二进制:00010100.00001111.00100100.00000000这是一个子网地址。
115.12.4.0的二进制:01110011.00001100.00000100.00000000这也是一个子网地址。
第 53 题
如果要检查本机的IP协议是否工作正常,则应该ping 的地址是( )。
- (A) 192.168.0.1
- (B) 10.1.1.1
- (C) 127.0.0.1
- (D) 128.0.1.1
答案与解析
- 试题难度:容易
- 知识点:因特网和互联网技术>网络层协议>IPV4协议>特殊的IP地址
- 试题答案:[[C]]
- 试题解析:127.0.0.1为本地环回地址,可测试本地tcp/ip协议是否正确安装。
第 54 题
工作站A的IP地址是202.117.17.24/28,而工作站B的IP地址是202.117.17.100/28,当两个工作站直接相连时不能通信,怎样修改地址才能使得这两个工作站可以互相通信?( )。
- (A) 把工作站A的地址改为202.117.17.15
- (B) 把工作站B的地址改为202.117.17.112
- (C) 把子网掩码改为25
- (D) 把子网掩码改为26
答案与解析
- 试题难度:容易
- 知识点:因特网和互联网技术>网络层协议>IPV4协议>子网划分与子网掩码
- 试题答案:[[C]]
- 试题解析:将202.117.17.24/28和202.117.17.100/28这两个网络汇聚为一个大网,掩码应变为25位,可包括这两个网络。
第 55 题
运营商指定本地路由器接口的地址是200.15.10.6/29,路由器连接的默认网关的地址是200.15.10.7,这样配置后发现路由器无法ping通任何远程设备,原因是( )。
- (A) 默认网关的地址不属于这个子网
- (B) 默认网关的地址是子网中的广播地址
- (C) 路由器接口地址是子网中的广播地址
- (D) 路由器接口地址是组播地址
答案与解析
- 试题难度:一般
- 知识点:因特网和互联网技术>网络层协议>IPV4协议>子网划分与子网掩码
- 试题答案:[['B']]
- 试题解析:200.15.10.6/29位掩码,可得出子网号为:200.15.10.0,广播地址为200.15.10.7。所以可以确定默认网关地址设置错误。
第 56 题
访问控制列表(ACL)配置如下,如果来自因特网的HTTP报文的目标地址是162.15.10.10,经过这个ACL过滤后会出现什么情况?( )。

- (A) 由于行30拒绝,报文被丢弃
- (B) 由于行40允许,报文被接受
- (C) 由于ACL末尾隐含的拒绝,报文被丢弃
- (D) 由于报文源地址未包含在列表中,报文被接受
答案与解析
- 试题难度:一般
- 知识点:网络设备配置>访问控制列表ACL
- 试题答案:[[C]]
- 试题解析:通过题干可以看出,源IP是所以的IP,目标IP为162.15.10.10,通过ACL中匹配,未有匹配上的条目,因此由ACL最后有一条拒绝所有的隐形条目匹配,所以最后报文被丢弃。
第 57 题
下面的4个IPv6地址中,无效地址是( )。
- (A) ::192:168:0:1
- (B) :2001:3452:4955:2367::
- (C) 2002:c0a8:101::43
- (D) 2003:dead:beef:4dad:23:34:bb:101
答案与解析
- 试题难度:一般
- 知识点:因特网和互联网技术>网络层协议>IPV6协议
- 试题答案:[['B']]
- 试题解析:可以看出,选项B将整节IP省略,这在IPV6地址中是不允许的。
第 58 题
IPv6站点通过IPv4网络通信需要使用隧道技术,常用的3种自动隧道技术是( )。
- (A) VPN隧道、PPTP隧道和IPsec隧道
- (B) 6to4隧道、6over4隧道和ISATAP隧道
- (C) VPN隧道、PPP隧道和ISATAP隧道
- (D) IPsec隧道、6over4隧道和PPTP隧道
答案与解析
- 试题难度:一般
- 知识点:因特网和互联网技术>网络层协议>IPV6协议
- 试题答案:[[B]]
- 试题解析:IPV6中常用的3种隧道技术为:6to4隧道、6over4隧道和ISATAP隧道。
第 59 题
如果在网络的入口处通过设置ACL封锁了TCP和UDP端口21、23和25,则能够访问该网络的应用是( )。
- (A) FTP
- (B) DNS
- (C) SMTP
- (D) Telent
答案与解析
- 试题难度:一般
- 知识点:因特网和互联网技术>应用层协议>DNS协议
- 试题答案:[[B]]
- 试题解析:FTP为TCP 21端口。DNS为UDP 53端口。SMTP为TCP 25端口。Telnet为TCP 23端口。
第 60 题
以太网采用物理地址的目的是( )。
- (A) 唯一地标识第二层设备
- (B) 使用不同网络中的设备可以互相通信
- (C) 用于区分第二层的帧和第三层的分组
- (D) 物理地址比网络地址的优先级高。
答案与解析
- 试题难度:一般
- 知识点:因特网和互联网技术>网络层协议>ARP协议
- 试题答案:[[A]]
- 试题解析:以太网采用物理地址的目的是唯一地标识第二层设备。
第 61 题
参考下面的网络连接图,4个选项是Host A的ARP表,如果HostA ping HostB,则ARP表中的哪一选项用来封装传输的帧?( )。

- (A)
- (B)
- (C)
- (D)
答案与解析
- 试题难度:一般
- 知识点:因特网和互联网技术>网络层协议>ARP协议
- 试题答案:[['D']]
- 试题解析:ARP是以广播的方式的工作的,当跨网段通信时,ARP会解析网关的IP与MAC的对应,然后将数据帧发送到网关通过路由器进行转发。
第 62 题
4G移动通信标准TD-LTE与FDD-LTE的区别是( )。
- (A) 频率的利用方式不同
- (B) 划分上下行信道的方式不同
- (C) 采用的调制方式有区别
- (D) 拥有专利技术的厂家不同
答案与解析
- 试题难度:一般
- 知识点:数据通信基础>其他
- 试题答案:[[B]]
- 试题解析:LTE FDD采用的是频分双工,TD-LTE则是时分双工。
FDD是在分离的两个对称频率信道上进行接收和发送,用保护频段来分离接收和发送信道。FDD必须采用成对的频率,依靠频率来区分上下行链路,其单方向的资源在时间上是连续的。FDD在支持对称业务时,能充分利用上下行的频谱,但在支持非对称业务时,频谱利用率将大大降低。
在TDD方式的移动通信系统中, 接收和发送使用同一频率载波的不同时隙作为信道的承载, 其单方向的资源在时间上是不连续的,时间资源在两个方向上进行了分配。某个时间段由基站发送信号给移动台,另外的时间由移动台发送信号给基站,基站和移动台之间必须协同一致才能顺利工作。
第 63 题
关于移动Ad Hoc网络MANET,( )不是MANET的特点。
- (A) 网络拓扑结构是动态变化的
- (B) 电源能量限制了无线终端必须以最节能的方式工作
- (C) 可以直接应用传统的路由协议支持最佳路由选择
- (D) 每个结点既是主机又是路由器
答案与解析
- 试题难度:一般
- 知识点:局域网技术>WLAN无线局域网>无线局域网分类
- 试题答案:[[C]]
- 试题解析:Ad Hoc网络中不能直接应用传统的路由协议支持最佳路由选择。
第 64 题
( )针对TCP连接进行攻击。
- (A) 拒绝服务
- (B) 暴力攻击
- (C) 网络侦察
- (D) 特洛伊木马
答案与解析
- 试题难度:一般
- 知识点:网络安全技术>网络安全概述>网络攻击
- 试题答案:[[A]]
- 试题解析:Syn flooding是利用TCP连接进行的拒绝服务攻击。
第 65 题
一个中等规模的公司,3个不同品牌的路由器都配置了RIPv1协议。ISP为公司分配的地址块为201.113.210.0/24。公司希望通过VLSM技术把网络划分为3个子网,每个子网中有40台主机,下面的配置方案中最优的是( )。
- (A) 转换路由协议为EIGRP,3个子网地址分别设置201.113.210.32/27、201.113.210.64/27和201.113.210.92/27
- (B) 转换路由协议为RIPv2,3个子网地址分别设置为201.113.210.64/26、 201.113 210.128/26和201.113.210.192/26
- (C) 转换路由协议为OSPF,3个子网地址分别设置为201.113.210.16/28、 201.113.210.16/28和201.113.210.48/28
- (D) 保持路由协议为RIPv1,3个子网地址分别设置为201.113.210.32/26、201.113.210.64/26和201.113.210.92/26
答案与解析
- 试题难度:一般
- 知识点:网络设备配置>RIP路由协议
- 试题答案:[["B"]]
- 试题解析:考查了两个支持点,一是RIPV1不支持可变长网掩码,RIPV2支持。二是子网划分。根据题干得出,40台主机,主机位必须为6位。得出其掩码为/26,同时需要使用RIPV2路由协议。
第 66 题
如果发现网络的数据传输很慢,服务质量也达不到要求,应该首先检查哪一个协议层工作情况?( )。
- (A) 物理层
- (B) 会话层
- (C) 网络层
- (D) 传输层
答案与解析
- 试题难度:一般
- 知识点:网络管理和网络存储>其他
- 试题答案:[['C']]
- 试题解析:网络故障排查应根据协议层次由下至上的原则进行检测。题目说明是性能方面的故障,不属于连通性的故障,所以检查网络层。
(这题出的不好有问题,可以跳过,物理层存在问题也可能会导致访问卡慢)
第 67 题
( )时使用默认路由。
- (A) 访问本地Web服务器
- (B) 在路由表中找不到目标网络
- (C) 没有动态路由
- (D) 访问ISP网关
答案与解析
- 试题难度:一般
- 知识点:网络设备配置>静态路由和默认路由
- 试题答案:[[B]]
- 试题解析:在路由表中找不到目标网络时使用默认路由。默认路由通常指本地网关的地址。
第 68 题
安全需求可划分为物理安全、网络安全、系统安全和应用安全,下面的安全需求中属于系统安全的是() ,属于应用安全的是( )。
- (A) 机房安全
- (B) 入侵检测
- (C) 漏洞补丁管理
- (D) 数据库安全
- (A) 机房安全
- (B) 入侵检测
- (C) 漏洞补丁管理
- (D) 数据库安全
答案与解析
- 试题难度:一般
- 知识点:网络安全技术>网络安全概述>网络安全基础
- 试题答案:[[C],[D]]
- 试题解析:漏洞补丁管理应属于系统安全。数据库安全属于应用安全的范畴。
第 69 题
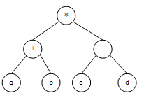
与算术表达式“(a+(b-c))*d”对应的树是( )。
- (A)
- (B)
- (C)
- (D)
答案与解析
- 试题难度:容易
- 知识点:系统开发和项目管理基础>软件开发与测试
- 试题答案:[[B]]
- 试题解析:此题中的表达式(a+(b-c))*d变为对应的树,首先计算内括号中的表达式,再计算外括号的表达式,最后进行乘法运算,得出结果为B。
第 70 题
Traditional network layer packet forwarding relies on the information provided by network layer( )protocols, or static routing, to make an independent forwarding decision at each( )within the network. The forwarding decision is based solely on the destination( )IP address. All packets for the same destination follow the same path across the network if no other equal-cost( )exist. Whenever a router has two equal-cost paths toward a destination, the packets toward the destination might take one or both of them, resulting in some degree of load sharing. Enhanced Interior Gateway Routing Protocol (EIGRP) also supports non-equal-cost( )sharing although the default behavior of this protocol is equal-cost. You must configure EIGRP variance for non-equal-cost load balancing.
- (A) switching
- (B) signaling
- (C) routing
- (D) session
- (A) switch
- (B) hop
- (C) host
- (D) customer
- (A) connection
- (B) transmission
- (C) broadcast
- (D) customer
- (A) paths
- (B) distance
- (C) broadcast
- (D) session
- (A) loan
- (B) Load
- (C) content
- (D) constant
答案与解析
- 试题难度:一般
- 知识点:计算机专业英语>计算机专业英语
- 试题答案:[[C],[B],[D],[A],[B]]
- 试题解析:传统的网络层分组转发是根据网络层路由协议或者静态路由提供的信息,在网络中的每一跳都做出一个独立的转发决策。转发决策只是基于目标单播地址而做出的。如果没有相等费用的其他通路存在,朝着同一目标的所有分组都遵循网路中的同样路径。当路由器具有通向同一目标的相等费用的两条通路时,流向目标的分组就可能走两条通路中的任何一条,这就产生了同样程度的负载共享。增强的内部网关路由协议(EIGRP)也支持不等费用的负载共享,虽然这个协议默认的行为是相等费用的负载共享。通过配置,你可以把EIGRP变为不等费用的负载共享方式。







