201405网管上午真题
第 1 题
在Word的编辑状态下,当鼠标指针移动到图片上变成( )形状时,可以拖动对图形的、在水平和垂直两个方向上进行缩放;若选择了表格的一行,并执行了表格菜单中的“删除列”命令,则( )。
- (A)
- (B)
- (C)
- (D)
- (A) 整个表格被删除
- (B) 表格中的一列被删除
- (C) 表格中的一行被删除
- (D) 表格中的行与列均为被删除
答案与解析
- 试题难度:一般
- 知识点:操作系统>计算机应用基础
- 试题答案:[['D'],['A']]
- 试题解析:在Word编辑状态下,当鼠标指针移到图片上变成“
”表示图形在垂直方向上进行缩放;当鼠标指针移到图片上变成“
”表示图形在水平方向上进行缩放;当鼠标指针到图片上变成“
”表示图形在水平和垂直两个方向上进行缩放。
若用户选择了表格中的一行,并执行了表格菜单中的“删除列”命令,即要删除所选行对应的列,这意味着整个表格被删除。
第 2 题
某Excel成绩表如下所示,若在G13单元格中输入( ),则G13单元格为平均成绩不及格的学生数。假设学生平均成绩分为优秀(平均成绩≥85)、及格(60≤平均成绩<85)和不及格(平均成绩<60)三个等级,那么在H3单元格中输入( ),并垂直向下拖动填充柄至H12,则可以完成其它同学成绩等级的计算。

- (A) COUNT(G3:G12, “<60”)
- (B) =COUNT(G3:G12,“<60”)
- (C) COUNTIF(G3:G12, “<60”)
- (D) =COUNTIF(G3:G12, “<60”)
- (A) IF(G3>=85,“优秀”,IF(G3>=60“及格”,“不及格”))
- (B) =IF(G3>=85,“优秀”,IF(G3>=60“及格”,“不及格”))
- (C) IF(平均成绩>=85,“优秀”,IF(G3>=60“及格”,“不及格”))
- (D) =IF(平均成绩>=85,“优秀”,IF(G3>=60“及格”,“不及格”))
答案与解析
- 试题难度:一般
- 知识点:操作系统>计算机应用基础
- 试题答案:[['D'],['B']]
- 试题解析:本题考查 Excel 基本概念方面的知识。
Excel 规定公式以等号(=)开头,选项 A 和选项 C 没有"="故不正确。选项 B 是错误的,因为函数 COUNT的格式为:COUNT(参数1,参数 2 ,……),其功能是求各参数中数值型参数和包含数值的单元格个数,所以公式 "=COUNT(g3:g12 ,"<60")"中G3:G12单元格保存了10个数值,而参数 "<60" 为非数值型参数,故COUNT计算结果等于10,显然不正确。选项D 是正确的,因为函数COUNTIF的格式为:COUNTIF(取值范围,条件式),其功能是计算某区域内满足条件的单元格个数,选项 D 是计算 G3:G12单元格区域中小于 60 分的单元格的个数,结果等于1。
IF函数的格式为 IF(条件式,值1,值2,若满足条件,则结果返回值1,否则,返回值2。IF函数可以嵌套使用,最多可嵌套7 层。本题在H3单元格输入选项B‘ =IF(G3>=85 ,"优秀",E(Gb=60,"及格","不及格")")的含义为:如果 G3 单元格的值>=85,则在H3单元格填写"优秀",否则如果G3>=60,则在H3 单元格填写"及格",否则填写" 不及格")。
第 3 题
在高速缓冲存储器(Cache)-主存层次结构中,地址映像以及和主存数据的交换由( )完成。
- (A) 硬件
- (B) 中断机构
- (C) 软件
- (D) 程序计数器
答案与解析
- 试题难度:一般
- 知识点:计算机硬件基础>其他
- 试题答案:[[A]]
- 试题解析:cache 和主存之间的映射交换 ,由硬件自动完成
第 4 题
( )是指CPU一次可以处理的二进制的位数,它直接关系到计算机的计算精度、速度等指标;运算速度是指计算机每秒能执行的指令条数,通常以( )为单位来描述。
- (A) 宽带
- (B) 主频
- (C) 字长
- (D) 存储容量
- (A) MB
- (B) HZ
- (C) MIPS
- (D) BPS
答案与解析
- 试题难度:一般
- 知识点:计算机硬件基础>其他
- 试题答案:[[C],[C]]
- 试题解析:本题考查计算机系统基础知识。
字长是指同时参与运算的数的二进制位数,它决定着寄存器、加法器、数据总线等设备的位数,因而直接影响着硬件的代价,同时字长标志着计算机的计算精度和表示数据的范围。微型计算机的字长有8位、准 16 位、16 位、32 位、64 位等。
MIPS(Million Instructions Per Second)意为单字长定点指令平均执行速度,即每秒处理的百万级的机器语言指令数,这是衡量CPU速度的一个指标。
第 5 题
CPU执行指令时,先根据( )的内容从内存读取指令,然后译码并执行。
- (A) 地址寄存器
- (B) 程序计数器
- (C) 指令寄存器
- (D) 通用寄存器
答案与解析
- 试题难度:一般
- 知识点:计算机硬件基础>其他
- 试题答案:[[B]]
- 试题解析:题考查计算机系统基础知识。
程序计数器(PC)用于存放指令的地址。当程序顺序执行时,每取出一条指令,PC内容自动增加一个值,指向下一条要取的指令。当程序出现转移时,则将转移地址送入PC,然后由PC指出新的指令地址。
通用寄存器组是CPU中的一组工作寄存器,运算时用于暂存操作数或地址。在程序中使用通用寄存器可以减少访问内存的次数,提高运算速度。
累加器是一个数据寄存器,在运算过程中暂时存放操作数和中间运算结果,不能用于长时间地保存一个数据。
第 6 题
( )是采用一系列计算机指令来描述一幅画的内容。
- (A) 点阵图
- (B) 矢量图
- (C) 位图
- (D) 灰度图
答案与解析
- 试题难度:一般
- 知识点:多媒体技术>图像与图像相关概念
- 试题答案:[['B']]
- 试题解析:本题考查多媒体基础知识。
矢量图是用一系列计算机指令来描述一幅图的内容,即通过指令描述构成一幅图的所有直线、曲线、圆、圆弧、矩形等图元的位置、维数和形状,也可以用更为复杂的形式表示图像中的曲面、光照、材质等效果。矢量图法实质上是用数学的方式(算法和特征)来描述一幅图形图像,在处理图形图像时根据图元对应的数学表达式进行编辑和处理。在屏幕上显示一幅图形图像时,首先要解释这些指令,然后将描述图形图像的指令转换成屏幕上显示的形状和颜色。位图(点阵图)、灰度图是采用像素来描述一幅图形图像。
第 7 题
以逻辑变量X和Y为输入,当且仅当X和Y同时为0时,输出才为0,其它情况下输出为1,则逻辑表达式为( )。
- (A) X·Y
- (B) X+Y
- (C) X⊕Y
- (D)
答案与解析
- 试题难度:一般
- 知识点:计算机硬件基础>逻辑运算
- 试题答案:[['B']]
- 试题解析:本题考查逻辑运算基础知识。显然,符合题目描述的运算是X+Y
第 8 题
操作系统文件管理中,目录文件是由( )组成的。
- (A) 文件控制块
- (B) 机器指令
- (C) 汇编程序
- (D) 进程控制块
答案与解析
- 试题难度:容易
- 知识点:操作系统>其他
- 试题答案:[[A]]
- 试题解析:本题考查操作系统文件管理方面的基础知识。
操作系统文件管理中为了实现"按名存取",系统必须为每个文件设置用于描述和控制文件的数据结构,它至少要包括文件名和存放文件的物理地址,这个数据结构称为文件控制块(FCB),文件控制块的有序集合称为文件目录。换句话说,文件目录是由文件控制块组成的,专门用于文件的检索。
第 9 题
以下下关于栈和队列的叙述中,错误的是( )。
- (A) 栈和队列都是线性的数据结构
- (B) 栈和队列都不允许在非端口位置插入和删除元素
- (C) 一个序列经过一个初始为空的栈后,元素的排列次序一定不变
- (D) 一个序列经过一个初始为空的队列后,元素的排列次序不变
答案与解析
- 试题难度:一般
- 知识点:操作系统>其他
- 试题答案:[[C]]
- 试题解析:本题考查数据结构基础知识。
栈和队列是运算受限的线性表,栈的特点是后入先出,即只能在表尾插入和删除元素。队列的特点是先进先出,也就是只能在表尾插入元素,而在表头删除元素。因此,一个序列经过一个初始为空的队列后,元素的排列次序不变。在使用栈时,只要栈不空, 就可以进行出栈操作,因此,一个序列经过一个初始为空的栈后,元素的排列次序可能发生变化。
第 10 题
黑盒测试不能发现( )问题。
- (A) 不正确或遗漏的功能
- (B) 初始化或终止性错误
- (C) 内部数据结构无效
- (D) 性能不满足要求
答案与解析
- 试题难度:一般
- 知识点:系统开发和项目管理基础>软件测试
- 试题答案:[[C]]
- 试题解析:本题考查软件测试的基础知识。黑盒测试也称为功能测试,在完全不考虑软件的内部结构和特性的情况下,测试软件的外部特性。黑盒测试主要是为了发现以下几类错误:①是否有错误的功能或遗漏的功能?②界面是否有误?输入是否正确?输出是否正确?③是否有数据结构或外部数据库访问错误?④性能是否能够接受?⑤是否有初始化或终止性错误?
第 11 题
编写源程序时在其中增加注释,是为了( )。
- (A) 降低存储空间的需求量
- (B) 提高执行效率
- (C) 推行程序设计的标准化
- (D) 提高程序的可读性
答案与解析
- 试题难度:容易
- 知识点:操作系统>程序设计语言
- 试题答案:[[D]]
- 试题解析:本题考查计算机系统基础知识。
在代码中使用注释的目的是提升代码的可读性,以让那些非原始代码开发者能更好地理解它们。
第 12 题
( )不属于线性的数据结构。
- (A) 栈
- (B) 广义表
- (C) 队列
- (D) 串
答案与解析
- 试题难度:一般
- 知识点:操作系统>其他
- 试题答案:[[B]]
- 试题解析:本题考查计算机系统基础知识。
栈、队列和串都属于线性数据结构,其共性是元素类型相同且形成了一个序列。 广义表不属于线性的数据结构,其元素可以是单元素,也可以是一个表。
第 13 题
计算机加电以后,第一步应该将( )装入内存并运行,否则,计算机不能做任何事情。
- (A) 应用软件
- (B) 编译程序
- (C) 操作系统
- (D) Office系列软件
答案与解析
- 试题难度:容易
- 知识点:操作系统>Windows操作系统基本操作
- 试题答案:[[C]]
- 试题解析:本题考查操作系统的基本知识。
操作系统是在硬件之上,所有其他软件之下,是其他软件的共同环境与平台。操作系统的主要部分是频繁用到的,因此是常驻内存的(Reside)。计算机加电以后,首先应该将操作系统装入内存并运行,否则,计算机不能做任何事。
第 14 题
将他人的软件光盘占为己有的行为是侵犯( )行为。
- (A) 有形财产所有权
- (B) 知识产权
- (C) 软件著作权
- (D) 无形财产所有权
答案与解析
- 试题难度:一般
- 知识点:法律法规与标准化>侵权判定
- 试题答案:[[A]]
- 试题解析:本题考查知识产权基本知识。
侵害知识产权的行为主要表现形式为剽窃、篡改、仿冒等,这些行为施加影响的对象是作者、创造者的思想内容(思想表现形式)与其物化载体无关。擅自将他人的软件复制出售的行为涉及的是软件开发者的思想表现形式,该行为是侵犯软件著作权行为。
侵害有形财产所有权的行为主要表现为侵占、毁损等,这些行为往往直接作用于"物体"本身,如将他人的财物毁坏,强占他人的财物等。将他人的软件光盘占为己有涉及的是物体本身,即软件的物化载体,该行为是侵犯有形财产所有权的行为。
第 15 题
在我国,商标专用权保护的对象是( )。
- (A) 商标
- (B) 商品
- (C) 已使用商标
- (D) 注册商标
答案与解析
- 试题难度:容易
- 知识点:法律法规与标准化>知识产权基础概念
- 试题答案:[['D']]
- 试题解析:本题考查知识产权基本知识。
商标是生产经营者在其商品或服务上所使用的,由文字、图形、字母、数字、三维标志和颜色,以及上述要素的组合构成,用以识别不同生产者或经营者所生产、制造、 加工、拣选搞经销的商品或者提供的服务的可视性标志。已使用商标是用于商品、商品包装、容器以及商品交易书上,或者用于广告宣传、展览及其他商业活动中的商标。注册商标是经商标局核准注册的商标,商标所有人只有依法将自己的商标注册后,商标注册人事有商标专用权,受法律保护。未注册商标是指未经商标局核准注册而自行使用的商标,其商标所有人不享有法律赋予的专用权,不能得到法律的保护。一般情况下,使用在某种商品或服务上的商标是否申请注册完全由商标使用人自行决定,实行自愿、注册。但对与人民生活关系密切的少数商品实行强制注册,如对人用药品,必须申请商标注册,未经核准注册的,不得在市场销售。
第 16 题
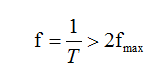
设模拟信号的最高频率为10MHz,采样频率必须大于( )时,才能使得到的样本信号不失真,如果每个样本量化为256个等级,则信道的数据速率是( )。
- (A) 10MHz
- (B) 20MHz
- (C) 30MHz
- (D) 40MHz
- (A) 40Mb/s
- (B) 80 Mb/s
- (C) 160 Mb/s
- (D) 320 Mb/s
答案与解析
- 试题难度:一般
- 知识点:数据通信基础>PCM技术
- 试题答案:[[B],[C]]
- 试题解析:通常把模拟数据变成数字数据的技术叫做脉冲编码调制技术(Pulse Code Modulation,PCM)。进行PCM编码的过程首先需要取样,即每隔一定时间间隔,取模拟信号的当前值作为样本,该样本代表了模拟信号在某一时刻的瞬时值。一系列连续的样本可用来代表模拟信号在某一区间随时间变化的值。由尼奎斯特取样定理得知:取样速率必须大于模拟信号最高频率的 2 倍,得到的样本空间才能恢复原来的模拟信号,即

其中,f为取样频率,T 为取样周期,fmax为信号的最高频率。
PCM 编码的第二步是量化,即把样本的连续值量化为离散值,离散值的个数决定了量化的精度。如果量化为等级分为256级,则每个样本必须用8位二进制数表示。
最后一步是编码,把量化后的样本值变成相应的二进制代码,可以得到相应的二进制代码序列。根据计算结果,8b×10MHz×2=160Mb/s。
第 17 题
设信道带宽为4000Hz,信噪比为30db,则信道可达到的最大数据速率约为( )b/s。
- (A) 10000
- (B) 20000
- (C) 30000
- (D) 40000
答案与解析
- 试题难度:一般
- 知识点:数据通信基础>香农理论
- 试题答案:[[D]]
- 试题解析:按照香农定理,有噪声信道的极限数据速率可由下面的公式计算

其中,W 为信道带宽,S 为信号的平均功率,N 为噪声平均功率,S/N 叫做信噪比。由于在实际使用中 S 与 N 的比值太大,故常取其分贝数(dB)。分贝与信噪比的关系为

第 18 题
曼切斯特编码的特点是( ),它的编码效率是( )。
- (A) 在“0”比特的前沿有电平翻转,在“1”比特的前沿没有电平翻转
- (B) 在“1”比特的前沿有电平翻转,在“0”比特的前沿没有电平翻转
- (C) 在每个比特的前沿有电平翻转
- (D) 在每个比特的中间有电平翻转
- (A) 50%
- (B) 60%
- (C) 80%
- (D) 100%
答案与解析
- 试题难度:一般
- 知识点:数据通信基础>数字编码和编码效率
- 试题答案:[[D],[A]]
- 试题解析:曼彻斯特编码(Manchester Code)是一种双相码。可以用高电平到低电平的转换边表示"0",而用低电平到高电平的转换边表示"1",相反的表示也是允许的。比特中间的电平转换边既表示了数据代码,同时也作为定时信号使用。由于曼彻斯特编码用了两个码元来表示 1 比特信息,所以它的编码效率是50%。
第 19 题
HDLC是一种( )。HDLC用一种特殊的位模式( )作为标志以确定帧的边界。
- (A) 面向字符的同步控制协议
- (B) 面向比特的同步控制协议
- (C) 面向字节计数的同步控制协议
- (D) 异步通信控制协议
- (A) 01010101
- (B) 10101010
- (C) 01111110
- (D) 10000001
答案与解析
- 试题难度:一般
- 知识点:广域网与接入网技术>HDLC协议
- 试题答案:[[B],[C]]
- 试题解析:数据链路控制协议可分为两大类:面向字符的协议和面向比特的协议。面向字符的协议以字符作为传输的基本单位,并用10 个专用字符控制传输过程。面向比特的协议以比特作为传输的基本单位,它的传输效率高,己广泛地应用于公共数据网上。HDLC(High Level Data Link Control ,高级数据链路控制)协议是国际标准化组织根据ffiM公司的 SDLC(Synchronous Data Link Control)协议扩充开发而成的面向比特的同步控制协议。 HDLC 使用统一的帧结构进行同步传输,用一种特殊的比特模式 01111110 作为帧的边界标志。链路上所有的站都在不断地探索标志模式,一旦得到一个标志就开始接收帧。在接收帧的过程中如果发现一个标志,则认为该帧结束了。由于帧中间出现比特模式01111110时也会被当作标志,从而破坏了帧的同步,所以要使用比特填充技术。发送站的数据比特序列中一旦发现 0 后有 5 个1,则在第 7 位插入一个 0,这样就保证了传输的数据中不会出现与帧标志相同的位模式。接收站则进行相反的操作;在接收的比特序列中如果发现 0 后有 5 个1,则检查第 7位,若第 7位为 0 则删除;若第 7位是 l 且第 8 位是 0,则认为是检测到帧尾的标志;若第7 位和第 8 位都是1,则认为是发送站的停止信号。有了比特填充技术,任意的比特模式都可以出现在数据帧中,这个特点叫做透明的数据传输。
第 20 题
路由信息协议RIP是一种广泛使用的基于( )的动态路由协议。RIP规定一条通路上最多可包含的路由器数量是( )。
- (A) 链路状态算法
- (B) 距离矢量算法
- (C) 集中式路由算法
- (D) 固定路由算法
- (A) 1个
- (B) 15个
- (C) 16个
- (D) 无数个
答案与解析
- 试题难度:一般
- 知识点:网络设备配置>RIP路由协议
- 试题答案:[[B],[B]]
- 试题解析:路由信息协议(Routing Information Protocol. RIP)是最早使用的动态路由协议。
RIP的原型出现在 UNIX Berkley 4.3 BSD中,它采用 Bellman-Ford的距离矢量路由算法,用于在ARPAnet中计算最佳路由,现在的RIP作为内部网关协议运行在基于 TCP/IP的网络中。RIP适用于小型网络,因为它允许的跳步数不超过15步。
第 21 题
下面的选项中,不属于网络155.80.100.0/21的地址是( )。
- (A) 155.80.102.0
- (B) 155.80.99.0
- (C) 155.80.97.0
- (D) 155.80.95.0
答案与解析
- 试题难度:一般
- 知识点:因特网与网络互联技术>CIDR和路由汇聚
- 试题答案:[['D']]
- 试题解析:网络地址155.80.100.0/21的二进制位:10011011 01010000 01100100 00000000,其中加粗部分为网络位
地址155.80.102.0的二进制为: 10011011 01010000 01100110 00000000
地址155.80.99.0的二进制为: 10011011 01010000 01100011 00000000
地址155.80.97.0的二进制为: 10011011 01010000 01100001 00000000
地址155.80.95.0的二进制为: 10011011 01010000 01011111 00000000
可以看出,地址155.80.95.0不属于网络155.80.100.0/21。4个选项中,D选项的前21位和题干中给出的网络位不同,所以不属于该子网
第 22 题
使用CIDR技术把4个C类网络158.15.12.0/24、158.15.13.0/24、158.15.14.0/24和158.15.15.0/24汇聚成一个超网,得到的网址是( )。
- (A) 158.15.8.0/22
- (B) 158.15.12.0/22
- (C) 158.15.8.0/21
- (D) 158.15.12.0/21
答案与解析
- 试题难度:容易
- 知识点:因特网与网络互联技术>CIDR和路由汇聚
- 试题答案:[[B]]
- 试题解析:地址 158.15.12.0/24 的二进制形式为: 10011110 00001111 00001100 00000000
地址 158.15.13.0/24 的二进制制形为: 10011110 00001111 00001101 00000000
地址 158.15.14.0/24 的二进制制形为: 10011110 00001111 00001110 00000000
地址 158.15.15.0/24 的二进制制形为: 10011110 00001111 00001111 00000000
汇聚后成为 10011110 00001111 00001100 00000000
即158.15.12.0/22
第 23 题
属于网络202.15.200.0/21的地址是( )。
- (A) 202.15.198.0
- (B) 202.15.206.0
- (C) 202.15.217.0
- (D) 202.15.224.0
答案与解析
- 试题难度:一般
- 知识点:因特网与网络互联技术>CIDR和路由汇聚
- 试题答案:[[B]]
- 试题解析:网络 202.15.200.0/21的二进制形式为: 11001010 00001111 11001000 00000000
地址 202.15.198.0的二进制制形为: 11001010 00001111 11000110 00000000
地址 202.15.206. 0的二进制制形为: 11001010 00001111 11001110 00000000
地址 202.15.217.0的二进制制形为: 11001010 00001111 11011001 00000000
地址 202.15.224.0的二进制制形为: 11001010 00001111 11100000 00000000
所以只有202.15. 206. 0属于网络202.15.200.0/21
第 24 题
IP地址块155.32.80.192/26包含了( )个主机地址,不属于这个网络的地址是( )。
- (A) 15
- (B) 32
- (C) 62
- (D) 64
- (A) 155.32.80.202
- (B) 155.32.80.195
- (C) 155.32.80.253
- (D) 155.32.80.191
答案与解析
- 试题难度:一般
- 知识点:因特网与网络互联技术>子网划分和子网掩码
- 试题答案:[[C],[D]]
- 试题解析:地址块155.32.80.192/26 包含了6位主机地址 ,所以包含的主机地址为62 个。
网络地址 155.32.80.192/26 的二进制为: 10011011 00100000 01010000 11000000
地址 155.32.80.202 的二进制为: 10011011 00100000 01010000 11001010
地址 155.32.80.191 的二进制为: 10011011 00100000 01010000 10111111
地址 155.32.80.253 的二进制为: 10011011 00100000 01010000 11111101
地址 155.32.80.195 的二进制为: 10011011 00100000 01010000 11000011
可以看出,地址155.32.80.191 不属于网络 155.32.80.192/26。
第 25 题
以太网控制策略中有三种监听算法,其中一种是“一旦介质空闲就发送数据,假如介质忙,继续监听,直到介质空闲后立即发送数据”,这种算法称为( )监听算法。这种算法的主要特点是( )。
- (A) 1-坚持型
- (B) 非坚持型
- (C) P-坚持型
- (D) O-坚持型
- (A) 介质利用率低,但冲突概率低
- (B) 介质利用率高,但冲突概率也高
- (C) 介质利用率低,但无法避免冲突
- (D) 介质利用率高,可以有效避免冲突
答案与解析
- 试题难度:容易
- 知识点:局域网技术>CSMA/CD协议
- 试题答案:[[A],[B]]
- 试题解析:以太网的监听算法有三种监听算法:
1.非坚持型监听算法:当一个站准备好帧,发送之前先监听信道。
①若信道空闲,立即发送,否则转②。
②若信道忙,则后退一个随机时间,重复①。
由于随机|时延后退,从而减少了冲突的概率。然而,可能出现的问题是因为后退而使信道闲置一段时间,这使信道的利用率降低,而且增加了发送时延。
2.1-坚持型监听算法:当一个站准备好帧,发送之前先监听信道。
①若信道空闲,立即发送,否则转②。
②若信道忙,继续监听,直到信道空闲后立即发送。
这种算法的优缺点与前一种正好相反:有利于抢占信道,减少信道空闲时间。但是,多个站同时都在监听信道时必然发生冲突。
3.P-坚持型监听算法:
①若信道空闲,以概率 P 发送,以概率(1-P)延迟一个时间单位。一个时间单位等于网络传输时延τ。
②若信道忙,继续监听直到信道空闲,转①。
③如果发送延迟一个时间单位τ,则重复①。
这种算法汲取了以上两种算法的优点,但较为复杂。
第 26 题
快速以太网标准100BASE-TX规定使用( )无屏蔽双绞线,其特性阻抗为( )Ω。
- (A) 一对5类
- (B) 一对3类
- (C) 两对5类
- (D) 两对3类
- (A) 50
- (B) 70
- (C) 100
- (D) 150
答案与解析
- 试题难度:一般
- 知识点:局域网技术>高速以太网(快速以太网)
- 试题答案:[['C'],['C']]
- 试题解析:1995年100Mb/s的快速以太网标准IEEE 802.3u正式颁布。快速以太网使用的传输介质如下表所示,其中多模光纤的芯线直径为62.5μm,包层直径为125μm;单模光线芯线直径为8μm,包层直径也是 125μm。表 快速以太网物理层规范
第 27 题
如果在下图的PC3上运行命令arp122.55.19.3,则得到的MAC地址是( )。

- (A) 02-00-54-AD-EF-A1
- (B) 02-00-54-AD-EF-B2
- (C) 02-00-54-AD-EF-C3
- (D) 02-00-54-AD-EF-D4
答案与解析
- 试题难度:一般
- 知识点:因特网与网络互联技术>ARP协议
- 试题答案:[[A]]
- 试题解析:Arp命令查找与目标地址 122.55.19.3对应的 MAC地址,由于源和目标之间连接了路由器,所以经过路由器的隔离,命令执行的结果是返回路由器端口的MAC地址02-00-54-AD-EF-Al。这种现象叫做代理ARP。
第 28 题
根据IPv6的地址前缀判断下面哪一个地址属于全球的单播地址。( )
- (A) 12AB:0000:0000:CD30:0000:0000:0000:005E
- (B) 20A5:0000:0000:CD30:0000:0000:0000:005E
- (C) FE8C:0000:0000:CD30:0000:0000:0000:005E
- (D) FFAB:0000:0000:CD30:0000:0000:0000:005E
答案与解析
- 试题难度:一般
- 知识点:因特网与网络互联技术>IPv6协议
- 试题答案:[["B"]]
- 试题解析:IPv6 地址的具体类型是由格式前缀来区分的,这些前缀的初始分配如下表所示。
表 Ipv6地址的初始分配
地址空间的15%是初始分配的,其余85%的地址空间留作将来使用。这种分配方案支持可聚合地址、本地地址和组播地址的直接分配,并保留了SNAP和 IPX的地址空间,其余的地址空间留给将来的扩展或者新的用途。单播地址和组播地址都是由地址的高阶字节值来区分的:FF(1111 1111)标识一个组播地址,其他值则标识一个单播地址,任意播地址取自单播地址空间,与单播地址在语法上无法区分。
第 29 题
在TCP/IP协议栈中,ARP协议的作用是( ),RARP协议的作用是( )。
- (A) 从MAC地址查找对应的IP地址
- (B) 由IP地址查找对应的MAC地址
- (C) 把全局IP地址转换为私网中的专用IP地址
- (D) 用于动态分配IP地址
- (A) 从MAC地址查找对应的IP地址
- (B) 由IP地址查找对应的MAC地址
- (C) 把全局IP地址转换为私网中的专用IP地址
- (D) 用于动态分配IP地址
答案与解析
- 试题难度:一般
- 知识点:因特网与网络互联技术>ARP协议
- 试题答案:[[B],[A]]
- 试题解析:在TCP/IP协议栈中,ARP协议的作用是由 IP地址查找对应的 MAC地址,RARP协议的作用正好相反,是由 MAC地址查找对应的IP地址
第 30 题
在HTML文档中创建一个标记sample,( )可以创建指向标记sample的超链接。
- (A) <a href=”sample”></a>
- (B) <a href=”#sample”></a>
- (C) <a href=”mailto sample”></a>
- (D) <a href=”www.sample.htm”></a>
答案与解析
- 试题难度:一般
- 知识点:网页编程>HTML基本标记
- 试题答案:[['B']]
- 试题解析:本题考查 HTML的基础知识。
在HTML中,超链接有多种跳转位置。超链接的 href属性用于定义超链接的目标地址,它的取值可以是本地的地址,也可以是一个远程地址,还可以是事先定义好的一个标记(锚点)。其中,HTML跳转到当前页面一个己定义的标记(锚点)处采用的语法是:<a href="#sample"></a>。
第 31 题
在HTML文件中,( )标记在页面中显示work为斜体字。
- (A) <pre>work</pre>
- (B) <u> work</u>
- (C) <i> work</i>
- (D) <b> work</b>
答案与解析
- 试题难度:一般
- 知识点:网页编程>HTML基本标记
- 试题答案:[[C]]
- 试题解析:本题考查 HTML的基础知识。
在 HTML中,<u></u>标记定义在页面中显示文字为带下划线样式,<i> </i>标记定义在页面中显示文字为斜体字样式,<b></b>标记定义在页面中显示文字为加粗样式。<pre></pre>标记的作用是可定义预格式化的文本。被包围在 pre标记中的文本通常会保留空格和换行符,而文本也会呈现为等宽字体。
第 32 题
在HTML的超链接标记中,target属性不包括( )。
- (A) blank
- (B) self
- (C) parent
- (D) new
答案与解析
- 试题难度:一般
- 知识点:网页编程>HTML基本标记
- 试题答案:[[D]]
- 试题解析:本题考查 HTML的基础知识。在 HTML中,target属性指定所链接的页面在浏览器窗口中的打开方式,它的参数值主要有:blank 、parent 、self、top,这些参数值代表的含义是:blank定义在新浏览器窗口中打开链接文件;parent定义将链接的文件载入含有该链接框架的父框架集或父窗口中。self定义在同一框架或窗口中打开所链接的文档。此参数为默认值,通常不用指定。top定义在当前的整个浏览器窗口中打开所链接的文档,因而会删除所有框架。
第 33 题
在HTML中,表格横向通栏的栏距由( )属性指定。
- (A) cellpadding
- (B) colspan
- (C) rowspan
- (D) width
答案与解析
- 试题难度:一般
- 知识点:网页编程>HTML基本标记
- 试题答案:[[B]]
- 试题解析:有横向通栏的表用<th colspan=#>:colspan表示横向栏距,#代表通栏占据的网格数,它是一个小于表的横向网格数的整数。
有纵向通栏的表用rowspan=#:rowspan表示纵向栏距,#表示通栏占据的网格数,应小于纵向网络数。
第 34 题
在ASP中,( )对象可以用于网站的计数器。
- (A) Application
- (B) Session
- (C) Request
- (D) Response
答案与解析
- 试题难度:一般
- 知识点:网页编程>ASP编程
- 试题答案:[[A]]
- 试题解析:本题考查 ASP的基础知识。在ASP中,Request对象为脚本提供了当客户端请求一个页面或者传递一个窗体时,客户端提供的全部信息。Response对象用来访问服务器端所创建的并发回到客户端的响应信息。Application对象是在为响应一个 ASP页的首次请求而载入 ASP DLL时创建的,它提供了存储空间用来存放变量和对象的引用,可用于所有的页面,任何访问者都可以打开它们。Session对象是在每一位访问者从 Web站点或 Web应用程序中首次请求一个 ASP页时创建的,它与 Application对象一样提供一个空间用来存放变量和对象的引用,但只能供目前的访问者在会话的生命期中打开的页面使用。网站的计数器需要服务器端提供存储空间用来存放变量,其应该让任何访问者都可以打开修改,所以应采用 Application对象实现 。
第 35 题
某客户机在访问页面时出现乱码的原因可能是( )。
- (A) 浏览器没有安装相关插件
- (B) IP地址设置错误
- (C) DNS服务器设置错误
- (D) 默认网关设置错误
答案与解析
- 试题难度:一般
- 知识点:操作系统>计算机应用基础
- 试题答案:[[A]]
- 试题解析:本题考查Internet 应用中网页访问相关问题。
若出现IP地址设置错误或默认网关设置错误,会导致不能访问Internet,访问不到页面,不会出现页面中出现乱码的情况。若DNS服务器设置错误,要么采用域名访问,结果是访问不到页面;要么采用IP地址访问,都不会有页面中出现乱码的情况。
第 36 题
通常工作中在UDP协议之上的协议是( )。
- (A) HTTP
- (B) Telnet
- (C) TFTP
- (D) SMTP
答案与解析
- 试题难度:一般
- 知识点:因特网与网络互联技术>传输层协议(UDP)
- 试题答案:[[C]]
- 试题解析:本题考查Internet应用协议及其采用的传输层协议。
HTTP、Telnet和SMTP采用的传输层协议均为TCP,只有TFTP是基于UDP协议进行传输的。
第 37 题
Windows系统中,( )服务用于在本地存储DNS信息。
- (A) DHCP Client
- (B) DNS Client
- (C) Plug and Play
- (D) Remote Procedure Call(RPC)
答案与解析
- 试题难度:容易
- 知识点:因特网与网络互联技术>DNS域名系统(工作原理)
- 试题答案:[[B]]
- 试题解析:本题考查Wíndows系统中网络应用服务。
DHCP Client不是一个单独的 Windows网络应用服务,是 DHCP协议中申请IP地址的客户端。Plug and Play为即插即用,和DNS信息存储无关。RPC是远程连接中间件。DNS Client是 Windows系统中用于在本地存储 DNS信息的服务。
第 38 题
在DHCP服务器配置过程中,下列配置合理的是( )。
- (A) 移动用户配置较长的租约期
- (B) 固定用户配置较短的租约期
- (C) 本地网关配置较长的租约期
- (D) 服务器采用保留地址
答案与解析
- 试题难度:一般
- 知识点:因特网与网络互联技术>DHCP协议
- 试题答案:[[D]]
- 试题解析:本题考查 DHCP设计过程中租约期设置的问题。
DHCP租约期设置的基本原则是:移动用户流动性大,使用 IP地址的场合较少,故需配置较短的租约期;圈定用户变化较小,需配置较长的租约期;本地网关需配置较长的租约期甚至采用保留地址;服务器需要采用保留地址。
第 39 题
某Web服务器的URL为https://www.softtest.com,在DNS服务器中为该Web服务器添加资源记录时,创建的域名为( )。
- (A) https
- (B) softtest.com
- (C) https.www
- (D) www
答案与解析
- 试题难度:一般
- 知识点:因特网与网络互联技术>DNS域名系统(工作原理)
- 试题答案:[[B]]
- 试题解析:本试题考查 DNS域名的构成及域名记录的配置。
https://www.softtest.com 中,https是协议,softtest.com是域名,www是主机名。故在 DNS服务器中为该Web服务器添加资源记录时,创建的域名为softtest.com,然后添加主机名www创建记录。
第 40 题
以下木马程序的描述中,正确的是( )。
- (A) 木马程序主要通过移动磁盘传播
- (B) 木马程序的客户端运行在攻击者的机器上
- (C) 木马程序的目的是使计算机或者网络无法提供正常的服务
- (D) Sniffer是典型的木马程序
答案与解析
- 试题难度:一般
- 知识点:网络安全技术>计算机病毒
- 试题答案:[[B]]
- 试题解析:本题考查木马程序的基础知识。
木马程序一般分为服务器端(Server)和客户端(Client),服务器端是攻击者传到目标机器上的部分,用来在目标机上监听等待客户端连接过来。客户端是用来控制目标机器的部分,放在攻击者的机器上。
木马(Trojans)程序常被伪装成工具程序或游戏,一旦用户打开了带有特洛伊木马程序的邮件附件或从网上直接下载,或执行了这些程序之后,当你连接到互联网上时,这个程序就会通知黑客用户的 IP地址及被预先设定的端口。黑客在收到这些资料后,再利用这个潜伏其中的程序,就可以咨意修改用户的计算机设定、复制任何文件、窥视用户整个硬盘内的资料等,从而达到控制用户的计算机的目的。
现在有许多这样的程序,国外的此类软件有 Back Office、Netbus等,国内的此类软件有 Netspy 、YAI、SubSeven、冰河、"广外女生"等。Sniffer 是一种基于被动侦听原理的网络分析软件。使用这种软件,可以监视网络的状态、数据流动情况以及网络上传输的信息,其不属于木马程序。
第 41 题
以下算法中属于报文摘要算法的是( )。
- (A) MD5
- (B) DES
- (C) RSA
- (D) AES
答案与解析
- 试题难度:一般
- 知识点:网络安全技术>哈希算法和报文鉴别
- 试题答案:[[A]]
- 试题解析:本题考查摘要算法的基础知识。
信息安全的核心是密码技术。传统的加密系统是以密钥为基础的,这是一种对称加密,也就是说,用户使用同一个密钥加密和解密。而公钥则是一种非对称加密方法,加密者和解密者各自拥有不同的密钥。本题中DES、AES属于对称加密算法,而 RSA属于非对称加密算法。
报文摘要是根据报文摘要算法计算密码检查和,即固定长度的认证码,附加在消息后面发送,根据认证码检查报文是否被篡改。MD5属于报文摘要算法。
第 42 题
关于包过滤防火墙和代理服务防火墙,以下描述正确的是( )。
- (A) 包过滤技术实现成本较高,所以安全性能高
- (B) 包过滤技术对应用和客户是透明的
- (C) 代理服务技术安全性较高,可以提高网络整体性能
- (D) 代理服务技术只能配置成用户认证后才能建立连接
答案与解析
- 试题难度:一般
- 知识点:网络安全技术>防火墙技术
- 试题答案:[[B]]
- 试题解析:本题考查防火墙的基础知识。
包过滤防火墙。包过滤防火墙又被称为访问控制表,它根据定义好的过滤规则审查每个数据包并确定数据包是否与过滤规则匹配,从而决定数据包是否能通过。这种防火墙可以与现有的路由器集成,也可以用独立的包过滤软件实现,而且数据包过滤对用户透明,成本低、速度快、效率高。其不足之处如下。
①包过滤技术的主要依据是包含在IP包头中的各种信息,但 IP包中信息的可靠性没有保证,IP源地址可以伪造,通过内部合谋,入侵者轻易就可以绕过防火墙。
②并非所有的服务都绑定在静态端口。包过滤只可以过滤IP地址,所以它不能识别相同 IP地址下的不同用户,从而不具备身份认证功能。
③工作在网络层,不能检测那些对高层进行的攻击。
④如果为了提高安全性而使用很复杂的过滤规则,那么效率就会大大降低。 应用程序代理防火墙可以配置成允许来自内部网络的任何连接,它也可以配置成要求用户认证后才建立连接,为安全性提供了额外的保证。如果网络受到危害,这个特征使得从内部发动攻击的可能性减少。
代理型防火墙的优点是安全性较高,可以针对应用层进行侦测和扫描,对付基于应用层的侵入和病毒都十分有效。其缺点是对系统的整体性能有较大的影响,而且代理服务器必须针对客户机可能产生的所有应用类型逐一进行设置,大大增加了系统管理的复杂性。
第 43 题
TCSEC将计算机系统的安全等级划分为4个等级,其中Unix和Windows NX操作系统符合( )安全标准。
- (A) A级
- (B) B级
- (C) C级
- (D) D级
答案与解析
- 试题难度:一般
- 知识点:网络安全技术>网络安全等级标准
- 试题答案:[[C]]
- 试题解析:本题考查可信计算机安全评估准则的基础知识。
TCSEC将计算机系统的安全划分为 4 个等级、8 个级别。常见计算机系统的安全等级如下:
D1级:这是计算机安全的最低一级。整个计算机系统是不可信任的,硬件和操作系统很容易被侵袭。D1级的计算机系统包括:MS-Dos、MS-Windows3.x、Windows95(不在工作组方式中)、Apple的 System7.x。
Cl 级:Cl 级系统要求硬件有一定的安全机制(如硬件带锁装置和需要钥匙才能使用计算机等),用户在使用前必须登录到系统。Cl 级系统还要求具有完全访问控制的能力,应当允许系统管理员为一些程序或数据设立访问许可权限。
常见的 Cl 级兼容计算机系统如下所列:UNIX、XENIX 、Novell3.x 或更高版本、Windows NT。
C2 级:C2 级在 C1级的某些不足之处加强了几个特性,C2级引进了受控访问环境(用户权限级别)的增强特性。这一特性不仅以用户权限为基础,还进一步限制了用户执行某些系统指令。常见的 C2级操作系统有:UNIX、XENIX、Nove1l3.x或更高版本、Windows NT。
第 44 题
2014年1月,由于DNS根服务器被攻击,国内许多互联网用户无法访问.COM域名网站,这种恶意攻击可能造成的危害是( )。
- (A) 创造条件,攻击相应的服务器
- (B) 快速入侵互联网用户的计算机
- (C) 将正常网站的域名解析到错误的地址
- (D) 以上都是
答案与解析
- 试题难度:一般
- 知识点:网络安全技术>网络攻击
- 试题答案:[[C]]
- 试题解析:本题考查计算机安全的知识。
DNS根服务器被攻击,会使许多互联网用户无法访问该根域服务器解析域名的网站。这种攻击可能造成的后果是将正常网站的域名解析到错误的地址上,但这种攻击一般不是以入侵服务器或客户端为目的。
第 45 题
文件型计算机病毒主要感染的文件类型是( )。
- (A) EXE和COM
- (B) EXE和DOC
- (C) XLS和DOC
- (D) COM和XLS
答案与解析
- 试题难度:一般
- 知识点:网络安全技术>计算机病毒
- 试题答案:[[A]]
- 试题解析:本题考查计算机病毒的基础知识。文件型计算机病毒感染可执行文件(包括 EXE 和 COM 文件)。一旦直接或间接地执行了这些受计算机病毒感染的程序,计算机病毒就会按照编制者的意图对系统进行破坏,这些计算机病毒还可细分为以下类别:①驻留型计算机病毒。②主动型计算机病毒。③覆盖型计算机病毒。④伴随型计算机病毒。
第 46 题
当路由器发生故障时,利用show interface命令来检查每个端口的状态,解释屏幕输出信息,查看协议建立状态和EIA状态等,这属于( )诊断。
- (A) 物理层
- (B) 数据链路层
- (C) 网路层
- (D) 传输层
答案与解析
- 试题难度:一般
- 知识点:因特网与网络互联技术>其他
- 试题答案:[[A]]
- 试题解析:本题考查网络配置时的故障分析。
物理层是OSI参考模型最基础的一层,它建立在通信媒体的基础上,实现系统和通信媒体的物理接口,为数据链路层实体之间进行透明的比特传输,为建立、保持和拆除计算机和网络之间的物理连接提供服务。物理层的故障主要表现为设备的物理连接方式是否恰当,连接电缆是否正确。确定路由器端口物理连接是否完好的最佳方法是使用show interface命令,检查每个端口的状态,解释屏幕输出信息,查看协议建立状态和EIA状态等。
show为思科命令
第 47 题
在路由器配置中,如果处于“Router(config-if)#”模式下,执行( )命令可将路由器切换至“Router(config)#”模式。
- (A) end
- (B) exit
- (C) show
- (D) enable
答案与解析
- 试题难度:一般
- 知识点:网络设备配置>网络设备的配置模式
- 试题答案:[[B]]
- 试题解析:本题考查思科路由器的基本配置命令。
在"Router(config-if)#"端口模式下执行end命令将直接返回到特权模式"Router#"下,执行exit命令将退回上一层即退回到全局配置模式"Route(config)#"下。
第 48 题
在Windows的cmd命令行窗口中,输入( )命令将会得到如下图所示的结果。

- (A) net view
- (B) nbtstat-r
- (C) netstat
- (D) nslookup
答案与解析
- 试题难度:一般
- 知识点:网络管理技术>Windows基本网络配置命令
- 试题答案:[[C]]
- 试题解析:本题考查Windows的网络命令。
net view命令用于显示计算机共享资源列表,带选项使用本命令显示前域或工作组计算机列表。
nbtstat显示基于TCP/IP的NetBIOS(NetBT)协议统计资料、本地计算机和远程计算机的 NetBIOS名称表和NetBIOS名称缓存。nbtstat-r显示NetBIOS名称解析统计资料。
netstat是控制台命令,是一个监控 TCP/IP网络的非常有用的工具,它可以显示路由表、实际的网络连接以及每一个网络接口设备的状态信息。netstat用于显示与IP、TCP,UDP和 ICMP'协议相关的统计数据,一般用于检验本机各端口的网络连接情况。
nslookup是一个监测网络中 DNS服务器是否能正确实现域名解析的命令行工具。
第 49 题
在交换机配置中,( )模式中才可以配置该交换机的设备管理地址。
- (A) Switch>
- (B) Switch#
- (C) Switch(config)#
- (D) Switch(config-if)#
答案与解析
- 试题难度:一般
- 知识点:网络设备配置>网络设备的基本配置
- 试题答案:[[D]]
- 试题解析:本题考查思科交换机的基本配置。
配置交换机的设备管理地址只能在交换机的接口配置子模式下,四个选项中属于接口配置子模式的是 Switch(config-if)#。
第 50 题
某企业基于Windows Server 2003,建立了一个主机名为www.qiyel.com、IP地址为202.100.10.22的虚拟服务器,配置了一个别名为bumenl.com的网站,IIS中网站创建向导输入的信息如下图所示。

答案与解析
- 试题难度:一般
- 知识点:网络服务器配置>Windows系统WEB站点配置
- 试题答案:[['C']]
- 试题解析:从题 目中可以得出,为该网站分配的 IP地址为 202.100.10.22,端口号为 1252,主机头为bumenl.qiyel.com。从图中可以看出该网站使用不同的主机头来区分不同的Web站点。如果要直接访问图中所配置的网站,则应该输入http:// bumen1.qiye1.com:1252 ,如果输入其他的地址则可能访问到该服务器上配置的其他的站点,达不到“直接访问”的目的。
第 51 题
在SNMPv2中,为解决分布式网络管理的需要引入了( )。
- (A) 上下报文和访问特权数据库
- (B) 上下报文和管理站数据库
- (C) 通知报文和访问特权数据库
- (D) 通知报文和管理站数据库
答案与解析
- 试题难度:一般
- 知识点:网络管理技术>网络管理协议SNMP
- 试题答案:[[D]]
- 试题解析:在SNMPv2中首次增加了管理站之间的通信机制,这是分布式网络管理所需要的功能特征。为此引入了通知报文(InformRequest)和管理站数据库(manager-to-manager MIB)。
第 52 题
在Linux操作系统中复制文件或目录时使用的命令是( )。
- (A) copy
- (B) rm
- (C) mv
- (D) cp
答案与解析
- 试题难度:一般
- 知识点:网络管理技术>Linux基本操作命令
- 试题答案:[[D]]
- 试题解析:Linux系统中使用cp命令用来复制文件或者目录,就如同 DOS下的 copy命令一样, 功能非常强大。 rm命令用来删除 Linux系统中的文件或目录。mv 命令是move的缩写,可以用来移动文件或者将文件改名。
第 53 题
在Linux系统中,DHCP服务的默认配置文件是( )。
- (A) /etc/dhcp.conf
- (B) /ect/dhcp.config
- (C) /etc/dhcpd.conf
- (D) /ect/dhcpd.config
答案与解析
- 试题难度:一般
- 知识点:网络服务器配置>Linux系统DHCP服务器配置
- 试题答案:[[C]]
- 试题解析:在Linux系统中,DHCP服务的默认配置文件是/etc/dhcpd .conf ,启动服务:service dhcpd start 或/etc/init.dldhcpd start,停止服务:service dhcpd stop或/etc/init.dldhcpd stop。
第 54 题
在Linux命令中,( )用来显示和设置网络接口的配置信息。
- (A) ifconfig
- (B) ipconfig
- (C) route
- (D) nslookup
答案与解析
- 试题难度:一般
- 知识点:网络管理技术>Linux网络管理命令
- 试题答案:[[A]]
- 试题解析:ifconfig命令用来配置网络或显示当前网络接口状态,类似于 Windows下的 ipconfig命令。route 命令是在本地IP路由表中显示和修改条目网络命令。nslookup是一个监测网络中DNS服务器是否能正确实现域名解析的命令行工具。
第 55 题
SNMP协议中,管理站用来接收代理发来的Trap报文时采用的协议及缺省端口号是( )。
- (A) UDP161
- (B) TCP161
- (C) UDP162
- (D) TCP162
答案与解析
- 试题难度:一般
- 知识点:网络管理技术>网络管理协议SNMP
- 试题答案:[['C']]
- 试题解析:本题考查 SNMP协议的基本知识。SNMP协议是应用层协议,其下层协议一般为UDP,管理进程端口号为162,代理进程端口号为 161。在代理进程端是用熟知端口161来接收 get或 set报文,而在管理进程端是用熟知端口 162来接收trap报文。
第 56 题
以下关于网络规划设计的叙述中,错误的是( )。
- (A) 网络拓扑结构设计必须具有一定的灵活性,易于重新配置
- (B) 网络拓扑结构设计应尽量避免单点故障导致整个网络无法正常运行
- (C) 层次化设计的优点是可以有效地将全局通信问题分解考虑
- (D) 应用服务器应该放在接入层,以便客户端就近访问
答案与解析
- 试题难度:一般
- 知识点:网络规划和设计>逻辑网络设计
- 试题答案:[[D]]
- 试题解析:本题主要考查网络规划设计中网络拓扑结构设计的相关知识。
确立网络的拓扑结构是整个网络方案规划设计的基础,拓扑结构的选择通常与网络节点的分布、介质访问控制方法、传输介质及网络设备选型等因素有关。进行网络规划设计时,考虑到设备和用户需求的变迁,拓扑结构必须具有一定的灵活性,易于重新配置,同时还要考虑信息点的增加、删除等问题。此外,设计中还应该避免因为个别节点 损坏(如网络设备损坏、光缆被挖断等常见故障)而影响整个网络的运行。规模较大的网络必须进行分层设计,这样就可以有效地将全局通信问题分解考虑,还有助于分配和规划带宽。通常在网络规划时将应用服务器放置在核心交换层,以确保访问的速度以及可靠性、稳定性。
第 57 题
在Linux操作系统中,能够显示本机网络路由信息的命令是( )。
- (A) ifconfig-a
- (B) netstar-nr
- (C) ls-1
- (D) route print
答案与解析
- 试题难度:较难
- 知识点:网络管理技术>Linux网络管理命令
- 试题答案:[[B]]
- 试题解析:本题考查 Linux操作系统的网络命令。
ifconfig是 Linux中用于显示或配置网卡(网络接口卡)的命令,ifconfig-a 显示系统中所有接口信息。
Is -1 是 Linux中显示当前目录下的文件的详细信息的命令。
route print 是Windows操作系统下显示本机网络路由信息的命令。
netstat-nr 命令可以查看 Linux内核路由表。
第 58 题
某用户在使用校园网中的一台计算机访问某网站时,发现使用域名不能访问该网站,但是使用该网站的IP地址可以访问该网站,造成该故障产生的原因有很多,其中不包括( )。
- (A) 该计算机设置的本地DNS服务器工作不正常
- (B) 该计算机的DNS服务器设置错误
- (C) 该计算机与DNS服务器不在同一子网
- (D) 本地DNS服务器网络连接中断
答案与解析
- 试题难度:一般
- 知识点:因特网与网络互联技术>DNS域名系统(工作原理)
- 试题答案:[[C]]
- 试题解析:使用IP地址能访问,但使用域名不能访问,说明域名解析为IP地址的过程出现问题。但该题的选项D明显是不正确的选项,只要计算机能与DNS服务器通信,且DNS服务正常就可以进行名称解析,与计算机和DNS在不在同一网络无关。
第 59 题
在配置交换机VLAN时,以下删除VLAN的命令中,无法执行命令的是( )。
- (A) no vlan 1
- (B) no vlan 2
- (C) no vlan 100
- (D) no vlan 1000
答案与解析
- 试题难度:一般
- 知识点:网络设备配置>VLAN配置
- 试题答案:[[A]]
- 试题解析:本题考查 VLAN ID 的相关知识。
VLAN是由VLAN 名和 VLAN ID 来标识的。通常,VLAN ID的取值范围是 1~4094。其中 ID为 1的 VLAN是系统的默认VLAN,通常用于网络设备管理。而且是只能使用这个 VLAN不能删除,也就是无法执行 "no vlan 1"这个命令。2~1000一般用于Ethernet VLANs ,可以建立、使用和删除这些VLAN。no是思科中的命令,华为是写成undo
第 60 题
Together with the network layer,the transport layer is the heart of the protocol( )The network layer provides end-to-end( ) delivery using datagrams or virtual circuits.The transport layer builds on the network layer to provide data transport from a process on a( )machine to a process on a destination machine with a desired level of reliability that is independent of the physical ( ) currently in use.It provides the abstractions that applications nedd to use the network..Without the( ) layer,the whole concept of layered protocols would make little sense.
- (A) transport
- (B) network
- (C) hierarchy
- (D) service
- (A) packet
- (B) data
- (C) command
- (D) record
- (A) connection
- (B) terminal
- (C) source
- (D) destination
- (A) traffic
- (B) connection
- (C) lines
- (D) networks
- (A) network
- (B) transport
- (C) link
- (D) physical
答案与解析
- 试题难度:较难
- 知识点:计算机专业英语>计算专业英语
- 试题答案:[[C],[A],[C],[D],[B]]
- 试题解析:传输层与网络层都是协议层次的心脏。网络层通过数据报或虚电路提供了端到端的分组提交服务。传输层建立在网络层之上,提供从源主机进程到目标主机进程的数据传输,这种传输的可靠性级别与当前使用的物理网络无关。这对使用网络通信的应用是一种抽象。没有传输层,整个协议层次的概念就没有意义了。




