200905监理下午真题
第 1 题
阅读下列说明,回答问题1至问题5,将解答填入答题纸的对应栏内。
【说明】
某省政务信息网建设项目全部由政府投资。《可行性研究报告》和《初步设计报告》已经主管部门批准,现决定对该项目采取公开招标的方式选定承建单位,确定了投标保证金的数目,并委托某工程咨询单位为该项工程编制标底。招标人于 2006 年 8 月 8 日在国家级报刊上发布了招标公告,并规定2006年9月5日14时为投标截止时间。招标工作步骤如下:
(1)发放招标邀请书。
(2)发布招标公告。
(3)投标单位资格审查。
(4)召开标前会议(先进行现场踏勘)。
(5)接受投标书。
(6)开标。
(7)确定中标单位。
(8)评标。
(9)发中标通知书。
(10)签订合同。
A、B、C、D、E等5家公司购买了招标文件,并于2006年9月5日14时前提交了投标文件,但是投标人E由于银行手续方面的问题,于2006年9月5日16时才提交投标保证金。开标会由招标代理机构主持,省公证处到场监督。开标前招标代理机构组建了10人评标委员会,其中包括招标人代表6人。结果A、B、C、D等4个单位的投标报价均在7000万元以上,但由工程咨询单位编制的标底为5000万元,A、B、C、D的投标价与标底相差 2000 余万元,引起了投标人的异议。这 4 家投标单位向该省有关部门投诉,认为该工程咨询单位在编制标底的过程中,漏算了多项材料、设备、软件等费用,并少算了工作量。为此,招标人请求省内的权威部门对原标底进行了复核。2006 年 12月 10 日,该权威部门拿出复核报告,证明该工程咨询单位在编制标底的过程中确实存在这4家投标单位提出的问题,复核标底与原标底相差近2000万元。
由于上述问题久拖不决,招标人决定终止本次招标,重新进行招标。
【问题1】(4分)
招标工作步骤的排列顺序有不妥之处,请给出正确的排列顺序。
【问题2】(4分)
招标人对投标单位进行资格审查应考虑哪四个方面的因素?
【问题3】(6分)
由于上述问题久拖不决,招标人决定终止本次招标,重新进行招标,该做法是否妥当?如果重新进行招标,给投标人造成的损失能否要求招标人赔偿,为什么?如果不能重新进行招标,请说明理由。
【问题4】(2 分)
E 单位的投标文件应当如何处理?为什么?
【问题5】(4分)
招标人的招标做法还有哪些不正确之处,请逐一说明。
答案与解析
- 试题难度:较难
- 知识点:法律法规、知识产权与标准化>《中华人民共和国招标投标法》
- 试题答案:
【问题1】 正确的排列顺序是(1)→(3)→(2)→(4)→(5)→(6)→(8)→(7)→(9)→(10)。
【间题2】
企业资质、质量管理体系、相关项目经验、公司实力。
【问题3】
(1)招标人可以要求重新进行招标。
(2)如果重新进行招标,给投标人造成的损失不能要求招标人赔偿。虽然重新招标是由于招标人的准备不够充分造成的,但是并非属于违反诚实信用的行为,而招标仅仅是要约邀请,对招标人不具有合同意义上的约束力,招标并不能保证投标人中标,投标的费用应当由投标人自理。
【问题4】
E单位的投标文件应当被认为无效而拒绝,因为招标文件规定的投标保证金是投标文件的组成部分。
【问题5】
(1)开标会由招标代理机构主持是错误的,开标会应由招标人主持。
(2)由招标代理机构组建评标委员会是错误的,评标委员会应当由招标人组建。
(3)评标委员会应由5人以上单数,而不是双数组成,招标人的代表参加评标委员会的专家不得超过总人数的1/3,招标人代表有6人进入评标委员会,超过了1/3。 - 试题解析:
本题主要考查考生对《中华人民共和国招标投标法》的理解与掌握程度。
《招标投标法》第十八条规定,招标人可以根据招标项目本身的要求,在招标公告或者投标邀请书中,要求潜在投标人提供有关资质证明文件和业绩情况,并对潜在投标人进行资格审查;国家对投标人的资格条件有规定的,依照其规定。招标人不得以不合理的条件限制或者排斥潜在投标人,不得对潜在投标人实行歧视待遇。潜在投标人是指知悉招标人公布的招标竞争的供应商或承包商。对潜在投标人的资格进行审查,既是招标人的一项权利,也是大多数招标活动中经常采取的一道程序。这个程序对保障招标人的利益,促进招标投标活动的顺利进行具有重要意义。
资格审查程序是为了在招标投标过程中剔除资格条件不适合承担或履行合同的潜在投标人或投标人。这种程序对复杂的或高价值的招标项目特别有用,甚至对于价值较低但技术复杂或高度专业化的招标项目也是非常有帮助的。如果越过这道程序,而直接对投标人的投标文件进行审查和比较,不仅费用要高得多,而且也更加耗费时间。采用资格审查程序,可以缩减招标人评审和比较投标文件的数量。另外,有的资信较好、能力较高的供应商或承包商,往往不愿意与不合格或名声不好的供应承包商进行竞争,以免失去他们的“面子”。因此,资格审查程序可能是这些资信较好、能力较高的潜在投标人决定是否参加投标的一个重要条件。
一般来说,资格审查可分为资格预审和资格后审。资格预审是在招标前对潜在投标人进行的资格审查;资格后审是在投标后(一般是在开标后)对投标人进行的资格审查。是否进行资格审查及资格审查的要求和标准,招标人应在招标公告或投标邀请书中载明。这此要求和标准应平等地适用于所有的潜在投标人或投标人。招标人不得规定任何并非客观上合理的标准、要求或程序,限制或排斥投标人,后者会给投标人以不公平的待遇,最终也会限制竞争。
就【问题1】在答题的时候,因为题目中并没有说明是进行预审还是后审,因此把第(3)项内容放在第(2)项之前或者第(6)项之后,都是正确的。
依据《中华人民共和国招标投标法》,招投标程序如下:
(1)招标人采用公开招标方式的,应当发布招标公告;招标人采用邀请招标方式的,应当向三个以上具备承担招标项目的能力、资信良好的特定的法人或者其他组织发出投标邀请书。
(2)招标人根据招标项目的具体情况,可以组织潜在投标人踏勘项目现场。
(3)投标人投标。
(4)开标。
(5)评标。
(6)确定中标人。
(7)订立合同。
【问题2】是问招标人对投标单位进行资格审查应考虑哪四个方面的因素。包括企业资质、质量管理体系、相关项目经验和公司实力。根据《招标投标法》第四十一条规定,中标人的投标应当符合下列条件之一:
(一)能够最大限度地满足招标文件中规定的各项综合评价标准;
(二)能够满足招标文件的实质性要求,并且经评审的投标价格最低;但是投标价格低于成本的除外。
从第四十一条规定可以看出,如果出现投标人的投标报价低于成本价的情况,投标人不能中标,所以采取低价中标的原则并不会出现由于投标人恶意低价(低于成本)而对项目建设产生不良影响的可能。因此选择B投标人为中标单位的做法不妥当。
【问题3】是问如果招标人重新进行招标,该做法是否妥当?如果重新进行招标,给投标人造成的损失能否要求招标人赔偿,为什么?如果不能重新进行招标,请说明理由。我国《招标投标法》第四十二条规定:“评标委员会经评审,认为所有投标都不符合招标文件要求的,可以否决所有投标。”《政府采购法》第三十六条规定:“在招标采购中,出现下列情形之一的,应予废标:(一)符合专业条件的供应商或者对招标文件作实质相应的供应商不足三家的;(二)出现影响采购公正的违法、违规行为的;(三)投标人的报价均超过了采购预算,采购人不能支付的;(四)因重大变故,采购任务取消的。”由此,至少可以得出:由于非招标人原因导致招标人拒绝所有投标,招标人无须承担责任。这一点在现实中也没有争论。问题在于,如果由于招标人自身原因致使招标工作失败,给投标人造成损失的,招标人是否应当赔偿损失?世界银行对此的回答是否定的。在世界银行编制的招标文件中规定:招标人“保留在授予合同前的任何时候接受或拒绝任何投标,取消招标和拒绝所有投标的权利,无须对受影响的投标者承担任何责任,也没有义务将招标者的行动背景通知受影响的投标者。”
招标人无须因招标行为而承担合同法意义上的责任。首先,根据合同法理论,要约生效后,要约人将对因自己违背诚信原则而造成对方当事人的损失承担缔约过失责任,而在要约生效前,要约邀请人(招标是要约邀请)则无须承担法律责任。这是因为,缔约过失责任须发生在缔结契约的过程中,而在要约邀请阶段,双方当事人只是一般人之间的信用关系,尚未进入缔结契约的过程。因此,要约邀请是行为人缔结合同的预备行为,性质上属于事实行为,不具有法律意义,行为人在法律上无须承担责任。
【问题4】则问E单位的投标文件应当如何处理?为什么?按照招标文件规定的投标保证金是投标文件的组成部分。
【问题5】要求找出招标人的招标做法还有哪些不正确之处。主要涉及到一些招投标过程要特别注意的一些时间参数。
第 2 题
阅读下列说明,回答问题1至问题3,将解答填入答题纸的对应栏内。
【说明】
企业甲就信息化网络工程项目与承建单位乙、监理单位丙分别签订了建设合同、监理合同。承建单位乙在得到甲同意的情况下,将机房工程分包给单位丁,并签订了分包合同。在项目实施过程中发生了以下几个事件:
事件 1:在机房建设过程中,分包单位丁的施工人员为了赶工期,把信号线PVC管和电源线PVC管同放在一条泡沫条的槽中,造成质量隐患,专业监理工程师向总监理工程师及时汇报了情况。总监理工程师立即向承建单位乙和分包单位丁签发了整改通知。
承建单位乙称机房工程已根据合同由分包单位丁实施,现在机房工程出现问题,应由分包单位丁承担一切责任。
事件2:在布线过程中,承建单位乙的施工人员违反规范要求,贪图一时方便,线缆不够长,接一段了事,旁站监理工程师及时发现并报告给总监理工程师。如果继续施工,线缆将被隐蔽。所以总监理工程师立即向承建单位乙签发了“停工令”。
事件3:在网络工程的实施过程中,由于某些设备的到货延迟使整个工期受到影响,承建单位乙向监理提交了进度变更申请。
【问题1】(6分)
在事件1中:
(1)发现机房工程存在质量隐患,承建单位乙称应由分包单位丁承担一切责任,这种态度为什么不对?
(2)总监理工程师向承建单位乙和分包单位丁签发整改通知,有什么不妥之处吗?为什么?
【问题2】(5分)
在事件2中:
(1)在布线中,施工人员的做法可能会导致线缆的哪两项指标超标?
(2)总监理工程师签发的“停工令”恰当吗?
(3)总监理工程师在立即签发 “停工令”前还应当做什么?
【问题3】(4分)
事件3中,作为监理工程师,请根据你对项目变更控制的工作任务的理解, 把下列项目变更控制工作的序号填入图2-1框图中,形成正确的项目变更控制流程图。

A.提出监理意见 B.三方协商确定变更方法 C.承建单位提交变更申请 D.变更分析e.监理监督变更过程 f.监理初审 g.开始实施变更
答案与解析
- 试题难度:较难
- 知识点:质量控制>停工令
- 试题答案:
【问题1】
(1)发现机房工程存在质量隐患,承建单位乙说不负责任的做法是不对的,因为工程分包后,不能解除总承包单位的责任和义务。分包单位的任何违约行为所导致的工程损害给建设单位造成的损失,总承包单位应承担连带责任。
(2)总监签发的整改通知应只发给总承包单位,因为只有总承包单位才与建设单位有合同关系。
【问题2】
(1)可能使衰减和串扰大大超标。
(2)总监理工程师签发“停工令”是恰当的。
(3)总监理工程师在立即签发“停工令”前还应当征求建设单位意见。
【问题3】

- 试题解析:
本题是一道监理实务题,讲的是一个网络工程项目中监理发现的承建单位、分包单位施工过程中的有关问题。
【问题1】有两小问,一是发现机房工程存在质量隐患,承建单位乙称应由分包单位丁承担一切责任,这种态度为什么不对?二是总监理工程师向承建单位乙和分包单位丁签发整改通知,有什么不妥之处吗?承建单位是工程的承包商,与分包单位都有责任。整改通知单应签发给承建单位,因为分包单位和建设单位没有直接的合同关系。《中华人民共和国招标投标法》第四十八条规定:中标人应当按照合同约定履行义务,完成中标项目。中标人不得向他人转让中标项目,也不得将中标项目肢解后分别向他人转让。中标人按照合同约定或者经招标人同意,可以将中标项目的部分非主体、非关键性工作分包给他人完成。接受分包的人应当具备相应的资格条件,并不得再次分包。中标人应当就分包项目向招标人负责,接受分包的人就分包项目承担连带责任。因此,发现机房工程存在质量隐患,承建单位乙称应由分包单位丁承担一切责任是不对的。由于只有承建单位乙与建设单位存在合同关系,因此总监签发的整改通知应只发给总承包单位(承建单位乙)。
【问题2】有三小问,问的是施工人员的做法可能会导致线缆的哪两项指标超标?总监理工程师签发的“停工令”恰当吗?总监理工程师在立即签发“停工令”前还应当做什么?
线缆不够长,接一段了事有可能造成衰减和串扰指标大大超标。
在必要的情况下,监理单位可按合同行使质量否决权。在下述情况下,总监理工程师有权下达停工令:
·实施、开发中出现质量异常情况,经提出后承建单位仍不采取改进措施者;或者采取的改进措施不力,还未使质量状况发生好转趋势者;
·隐蔽作业(指综合布线及系统集成中埋入墙内或地板下的部分)未经现场监理人员查验自行封闭、掩盖者;
·对已发生的质量事故未进行处理和提出有效的改进措施就继续进行者;
·擅自变更设计及开发方案自行实施、开发者;
·使用没有技术合格证的工程材料、没有授权证书的软件,或者擅自替换、变更工程材料及使用盗版软件者;
·未经技术资质审查的人员进入现场实施、开发者。
监理工程师遇到工程中有不符合要求情况严重时,可报总监理工程师下达停工令。但是一定要注意在下达停工令以前还应当征求建设单位意见。
【问题3】要求考生掌握正确的变更控制流程。
变更控制的工作程序是:
(1)了解变化。
在项目实施过程中,监理工程师与项目组织者要经常关注与项目有关的主客观因素,就是发现和把握变化,认真分析变化的性质,确定变化的影响,适时地进行变化的描述,监理工程是要对整个项目的执行情况做到心中有数。
(2)接受变更申请。
变更申请单位向监理工程师提出变更要求或建议,提交书面工程变更建议书。工程变更建议书主要包括以下内容:变更的原因及依据;变更的内容及范围;变更引起的合同总价增加或减少;变更引起的合同工期提前或缩短;审查所提交的附件及计算资料等。工程变更建议书应在预计可能变更的时间14天之前提出。在特殊情况下,工程变更可不受时间的限制。
(3)变更的初审。
项目监理机构应了解实际情况和收集与项目变更有关的资料,首先明确界定项目变更的目标,再根据收集的变更信息判断变更的合理性和必要性,对于完全无必要的变更,可以驳回此申请,并给出监理意见;对于有必要的变更,可以进一步进行变更分析。
评价项目变更合理性应考虑的内容包括:
·变更是否会形响工作范围、成本、工作质量和时间进度;
·是否会对项目准备选用的设备或消耗的材料产生影响,性能是否有保证,投资的变化有多大;
·在信息网络系统或信息应用系统的开发设计过程中,变更是否会影响到开发系统的适用性和功能,是否影响系统的整体架构设计;
·变更是否会影响到项目的投资回报率和净现值?如果是,那么项目在新的投资回报率和净现值基础上是否可行;
·如何证明项目的变更是合理的,是会产生良性效果的,必要时要有论证。
(4)变更分析。
把项目变化触入项目计划中是一个新的项目规划过程,只不过这一规划过程是以原来的项目计划为框架,在考察项目变化的基础上完成的。通过新的计划的对比,监理上程师可以清楚地看到项目变化对项目预算、进度、资源配置的影响与冲击。把握顶目变化的影响和冲击是相当重要的,否则就难以做出正确的决策,做出合理的项目变更。
(5)确定变更方法。
三方进行协商和讨论,根据变更分析的结果,确定最优变更方案,做出项目变更时,力求在尽可能小的变动幅度内对主要因素进行微调。如果它们发生较大的变动,就意味着项目计划的彻底变更,这会使目前的工作陷入瘫痪状态。
下达变更通知书,并把变更实施方案告知有关实施部门和实施人员,为变更实施做好准备。
(6)监控变更的实施。
变更后的内容作为新的计划和方案,可以纳入正常的监理工作范围里,但监理工程师对变更部分的内容要密切注意。项目变更控制是一个动态的过程,在这一过程中,要记录这一变化过程,充分掌握信息,及时发现变更引起的超过估计的后果,以便及时控制和处理。
(7)变更效果评估。
在变更实施结束后,要对变更效果进行分析和评估。
第 3 题
阅读下列说明,回答问题1至问题3,将解答填入答题纸的对应栏内。
【说明】
某监理单位承担了某机房、网络和软件开发项目全过程的监理工作。
【问题1】(6分)
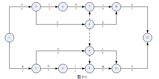
该工程合同工期为22个月,承建单位制定的初始项目实施网络计划如图3-1所示 (时间单位:月)。
(1)请指出网络计划中的关键路径,说明该网络计划是否可行并简述理由。
(2)请计算C的总时差和自由时差。
【问题2】(5 分)
(1)请指出在软件开发中软件总体结构、运行环境、出错处理设计应分别在哪个文档中阐述(选择候选答案的标号即可)。
候选答案:
①可行性研究报告 ② 项目开发计划 ③ 软件需求规格说明
④ 数据要求规格说明 ⑤ 概要设计规格说明 ⑥ 详细设计规格说明
⑦ 测试计划 ⑧ 测试报告 ⑨ 用户手册
(2)请指出初步的用户手册、确认测试计划两个文档应分别在哪个阶段中完成(选择候选答案的标号即可)。
候选答案:
① 可行性研究与计划② 需求分析 ③ 概要设计
④ 详细设计 ⑤ 测试 ⑥ 维护
【问题3】(4分)
在机房建设中,计算机设备宜采用分区布置。请指出机房可分为哪几个区?
答案与解析
- 试题难度:较难
- 知识点:进度控制>总时差
- 试题答案:
【问题1】 (1)该网络计划的关键路径是A→E→L→P(或者1→2→6→8→11→12);由此得出计算工期是22个月,与合同工期一致,因此,该网络计划是可行。
(2)工作C的最早开始时间为4,最迟开始时间为10,因此总时差为10-4=6;工作D的最早开始时间是6,因此工作C的自由时差为6-6=0。
【问题2】
(1)按照顺序分别是⑤,③,⑤。
(2)按照顺序分别是②,②。
【问题3】
一般可分为主机区、存储器区、数据输入区、数据输出区、通信区和监控调度区等。具体划分可根据系统配置及管理而定。 - 试题解析:
本题是有关网络图的问题。题目已经给出了双代号网络图。
【问题1】请指出网络计划中的关键路径,说明该网络计划是否可行并简述理由,并计算C的TF、FF。网络图的计算是常见的考点,考生应当掌握六时标注法的计算。
关键路径法(Critical Path Method, CPM)最旱出现于20 世纪50年代,它是通过分析项目过程中哪个活动序列进度安排的总时差最少来预测项目工期的网络分析。这种方法产生的背景是在当时出现了许多庞大而复杂的科研和工程项目,这些项目常常需要运用大量的人力、物力和财力,因此如何合理而有效地对这些项目进行组织,在有限资源下以最短的时间和最低的成本费用下完成整个项目就成为一个突出的问题,这样CPM就应运而生了。
对于一个项目而言,只有项目网络中最长的或耗时最多的活动完成之后,项目才能结束,这条最长的活动路线就叫关键路径(Critical Path),组成关键路径的活动称为关键活动。其通常做法是:
(1)将项目中的各项活动视为有一个时间属性的结点,从项目起点到终点进行排列。
(2)用有方向的线段标出各节点的紧前活动和紧后活动的关系,使之成为一个有方向的网络图。
(3)用正推法和逆推法计算出各个活动的最早开始时间、最晚开始时间、最早完工时间和最迟完工时间,并计算出各个活动的时差。
(4)找出所有时差为零的活动所组成的路线,即为关键路径。
(5)识别出准关键路径,为网络优化提供约束条件。
它具有以下特点:
(1)关键路径上的活动持续时间决定了项目的工期,关键路径上所有活动的持续时 间总和就是项目的工期。
(2)关键路径上的任何一个活动都是关键活动, 其中任何时一个活动的延迟都会导致 整个项目完工时间的延迟。
(3)关键路径上的耗时是可以完工的最短时间量,若缩短关键路径的总耗时,会缩短项目工期;反之,则会延长整个项目的总工期。但是,如果缩短非关键路径上的各个活动所需要的时间,也不至于影响工程的完工时间。
(4)关键路径上的活动是总时差最小的话动,改变其中某个活动的耗时,可能使关键路径发生变化。
(5)可以存在多条关键路径,它们各自的时间总量肯定相等,即可完工的总工期。
(6)关键路径是相对的,也可以是变化的。在采取一定的技术组织措施之后,关键路径有可能变为非关键路径,而非关键路径也有可能变为关键路径。
从图中可以看出关键路径是1→2→6→8→11→12,计算工期等于22个月,符合合同工期。
·自由时差的计算
自由时差是在不影响其紧后工作最早开始的前提下,本工作可以利用的机动时间。工作i-j的自由时差用FFi-j表示。
工作自由时差等于该工作的紧后工作的最早开始时间减去本工作最早开始时间,再 减去本工作的持续时间所得之差的最小值。
工作的自由时差小于等于其总时差。因此,工作D的最早开始时间是6,则工作C的自由时差为6-6=0。
·总时差的计算
总时差是在不影响总工期的前提下,本工作可以利用的机动时间。工作i-j的总时差用 Tfi-j表示。
工作总时差等于工作最迟开始时间减最早开始时间。因此,工作C的最早开始时间为4,最迟开始时间为10,则总时差为10-4=6。
【问题2】要求指出在软件开发中软件总体结构、运行环境、出错处理设计应分别在哪个文档中阐述,还要求指出初步的用户手册、确认测试计划两个文档应分别在哪个阶段中完成,题目已经给出了备选的答案,联系项目的生命周期及各阶段产生的文档,要求考生能正确地选出答案。
软件的总体结构应当在概要设计规格说明书中正确定义并给出准确描述。软件的运 行环境最初在软件需求规格说明中定义。出错处理设计应在概要设计规格说明中阐明。
初步的用户手册在需求分析阶段开始编写,确认测试计划也应在需求分析阶段开始 编写。确认测试有两方面的任务:其一是做有效性测试,确认需求说明书中规定的所有需求是否已正确实现;其二是对所要求的软件配置进行审查,特别是对合同中规定应交付的文档进行审查。因为在需求分析阶段己经明确软件的各种功能、性能和其他的质量需求,初步的用户手册也有了,可以针对这些需求和用户手册中的内容编制如何逐项检查的确认测试计划,当然,这种测试计划只是初步的。测试实施的细节还需在体系结构、旧户界面、数据库、出错处理和运行组合等设计完成后才能定下来。
【问题3】要求考生指出机房可分为哪几个区。根据《电子计算机机户设计规范》,一般可分为主机区、存储区、数据输入区、数据输出区、通信区和监控调度区等。具体划分可根据系统配置及管理而定。
第 4 题
阅读下列说明,回答问题1至问题3,将解答填入答题纸的对应栏内。
【说明】
某大型电子政务工程建设项目,使用中央财政资金建设。在历经编写项目建议书、可行性研究报告、初步设计方案后获得批准。其中,硬件、网络基础支撑平台建设投资额 3300 万;安全保障系统建设投资额 760 万。这两项建设任务分别由 2 家承建单位承担,同时某监理单位承担了整个项目全过程监理工作。
由于项目建设历时较长,而且某些业务流程发生了必要变化,项目建设单位提出了增加和调整部分建设内容的变更需求。相应地投资发生了一定变化,其中硬件、网络基础支撑平台建设追加资金280万,安全保障系统建设追加资金92万。
【问题1】(5 分)
请指出上述案例中是否存在违规现象并说明理由。
【问题2】(5 分)
简要叙述监理单位在变更控制过程中应开展的主要工作。
【问题3】(5 分)
简述信息系统工程验收必须符合哪些基本前提条件。
答案与解析
- 试题难度:较难
- 知识点:变更控制>变更控制的基本原则
- 试题答案:
【问题1】
有违规之处。
按照《政府采购法》“第四十九条 政府采购合同履行中,采购人需追加与合同标的相同的货物、工程或者服务的,在不改变合同其他条款的前提下,可以与供应商协商签订补充合同,但所有补充合同的采购金额不得超过原合同采购金额的百分之十”规定,涉及安全产品的投资变化为92万,已经超出了760万×10%=76万限定要求。
【问题2】
了解变化;接受变更申请;变更的初审;变更分析;确定变更方法;监控变更的实施;变更效果评估。
【问题3】
工程验收必须要符合下列要求:
(1)所有建设项目按照批准设计方案要求全部建成,并满足使用要求;
(2)各个分项工程全部初验合格;
(3)各种技术文档和验收资料完备,符合集成合同的内容;
(4)外购的操作系统、数据库、中间件、应用软件和开发工具符合知识产权相关政策法规的要求;
(5)各种设备经上电试运行,状态正常;
(6)经过用户同意。 - 试题解析:
本题讲的是一个电子政务工程建设项目中的问题。
【问题1】要求指出案例中是否存在违规现象并说明理由。根据《政府采购法》,追加的金额不能超过原有标的的10% 。
【问题2】问的是监理单位在变更控制过程中应开展的主要工作,考生应当掌握。
【问题3】要求考生给出信息系统工程验收必须符合哪些基本前提条件,可根据验收的内容思考,归纳出验收的条件,比如完成建设工程设计和合同约定的各项内容;有完整的技术档案和施工管理资料等。
第 5 题
阅读下列说明,回答问题1至问题3,将解答填入答题纸的对应栏内。
【说明】
某信息系统网络工程建设内容包括网络系统和存储备份系统的采购、安装和调试等工作。监理在项目建设过程中,应适时开展对承建单位提交的测试计划、测试方案、测试记录和测试报告等测试文档的审查工作,同时还要对承建单位测试工作进行抽检。
【问题1】(4 分)
在承建单位开展网络测试工作过程中,监理要对关键网络设备和关键部件的工作状况、链路的冗余能力、Telnet 的控制测试,以及 VLAN TRUNK、VPN、FTP、DHCP 等功能的测试过程进行监督检查。
请简述在网络设备测试过程中,监理除了对上述已经描述的测试过程进行监督检查外,还需要检查其他哪些测试过程。
【问题2】(4分)
请指出网络设备的主要测试技术指标,并分别说明这些测试指标的作用。
【问题3】(2分)
请列举至少2个网络应用性能测试工具名称。
答案与解析
- 试题难度:较难
- 知识点:计算机网络基础>网络设备
- 试题答案:
【问题1】 监理还需重点检查的测试过程包括:
(1)网络流量及路由转发能力测试;
(2)组播测试;
(3)动态路由测试;
(4)静态路由测试;
(5)端口控制功能测试;
(6)链路负载均衡。
【问题2】
检测主要考虑以下技术指标:
(1)吞吐量。可以确定被测试设备(DUT)或被测试系统(SUT)在不丢弃包的情况下所能支持的吞吐速率。
(2)包丢失。通过测量由于缺少资源而未转发的包的比例来显示高负载状态下系统的性能。
(3)延时。测量系统在有负载条件下转发数据包所需的时间。
(4)背靠背性能。通过以最大帧速率发送突发传输流并测量无包丢失时的最大突发 (Burst)长度(总包数量)来测试缓冲区容量。
【问题3】
网络应用性能测试工具包括Network Vantage、Application Expert和SmartBits6000B等。 - 试题解析:
本题是有关一个信息系统网络工程建设中的监理实务题。
【问题1】是问在网络设备测试过程中,监理除了试题中已经描述的对测试过程进行监督检查外,还需要检查其他哪些测试过程。例如,组播测试、动态路由测试、静态路由测试和端口控制功能等。
【问题2】要求考生指出网络设备的主要测试技术指标,并分别说明这些测试指标的作用。例如吞吐率、包丢失、延时以及背靠背性能等等。对每种测试的作用达到熟悉的程度方可轻松解决。
【问题3】要求考生列举至少2个网络应用性能测试工具名称。典型的网络性能测试方法有两种,第一种就是把设备放在一个仿真的网络环境中进行测试,第二种就是题目中所提到的使用专用的网络测试工具来对产品进行测试。本题要求考生对一些常见的网络测试工具要有所了解,比如Network Vantage、 Application Expert等等。