201905监理上午真题
第 1 题
使计算机系统各个部件、相关的软件和数据协调、高效工作的是( )。
- (A) 系统软件
- (B) 管理软件
- (C) 应用软件
- (D) 中间件
答案与解析
- 试题难度:一般
- 知识点:计算机技术基础>操作系统及功能
- 试题答案:[['A']]
- 试题解析:
系统软件使计算机系统各个部件、相关的软件和数据协调、高效工作。
第 2 题
在信息系统开发项目中,( )不属于需求分析阶段监理工作的质量控制要点。
- (A) 需求分析报告
- (B) 初步用户手册
- (C) 系统接口说明
- (D) 调研提纲
答案与解析
- 试题难度:一般
- 知识点:质量控制>质量控制点
- 试题答案:[['C']]
- 试题解析:
参考《信息系统监理师教程》22.1节。
需求分析的质量控制要点包括:调研提纲、需求分析报告(包括业务流程图、数据流程图、软件规格说明书和初步用户手册)、软件规格说明书。
系统接口说明属于系统设计阶段的质量控制要点。
第 3 题
GB/T28827.1-2012《信息技术服务 运行维护 第1部分:通用要求》中,运行维护服务能力模型包括人员、资源、技术、过程4个关键要素,其中( )属于过程要素的内容。
- (A) 岗位结构
- (B) 知识库
- (C) 信息安全管理
- (D) 运行维护工具
答案与解析
- 试题难度:一般
- 知识点:法律法规、知识产权与标准化>标准与标准化
- 试题答案:[['C']]
- 试题解析:
A选项属于人员要素的内容;
B选项属于资源要素的内容;
C选项正确答案;
D选项属于资源要素的内容。
第 4 题
人工智能的典型应用不包括( )。
- (A) 3D打印
- (B) 人脸识别
- (C) 无人驾驶
- (D) 语音识别
答案与解析
- 试题难度:容易
- 知识点:计算机网络基础>Internet实用技术
- 试题答案:[['A']]
- 试题解析:
人工智能的典型应用不包括3D打印。
第 5 题
( )是物联网感知层中的信息采集技术。
- (A) 通信技术
- (B) 射频技术
- (C) 数据挖掘
- (D) 解析技术
答案与解析
- 试题难度:一般
- 知识点:计算机网络基础>Internet实用技术
- 试题答案:[['B']]
- 试题解析:
射频识别技术(Radio Frequency Identification,RFID)又称电子标签,是一种通信技术,可通过无线电讯号识别特定目标并读写相关数据,而无需识别系统与特定目标之间建立机械或光学接触。该技术是物联网的一项核心技术,很多物联网应用都离不开它。
第 6 题
基于买方的购买历史及行为分析,进行针对性的信息推送,属于( )的典型应用。
- (A) 智慧城市
- (B) 云计算
- (C) 物联网
- (D) 大数据
答案与解析
- 试题难度:容易
- 知识点:计算机网络基础>Internet实用技术
- 试题答案:[['D']]
- 试题解析:
基于买方的购买历史及行为分析,进行针对性的信息推送,属于大数据的典型应用。
第 7 题
FTP是TCP/IP协议中的( )。
- (A) 简单邮件传输协议
- (B) 简单网络管理协议
- (C) 网络控制报文协议
- (D) 文件传输协议
答案与解析
- 试题难度:一般
- 知识点:计算机网络基础>网络技术标准与协议
- 试题答案:[['D']]
- 试题解析:
FTP是TCP/IP协议中的文件传输协议。而简单邮件传输协议对应的是SMTP。
第 8 题
数字证书系统是计算机网络系统集成体系框架中( )平台的内容。
- (A) 网络
- (B) 安全
- (C) 通信
- (D) 应用
答案与解析
- 试题难度:一般
- 知识点:信息安全管理>信息系统安全体系的构成
- 试题答案:[['B']]
- 试题解析:
数字证书系统是计算机网络系统集成体系框架中安全平台的内容。
第 9 题
IEEE( )是综合布线系统标准支持的以太网标准协议。
- (A) 802.3
- (B) 802.5
- (C) 802.8
- (D) 802.11
答案与解析
- 试题难度:一般
- 知识点:计算机网络基础>网络技术标准与协议
- 试题答案:[['A']]
- 试题解析:
传统以太网的标准的是IEEE802.3。
第 10 题
( )交换机采用交换能力较强的设备,连接子节点较多。
- (A) 核心层
- (B) 汇聚层
- (C) 接入层
- (D) 传输层
答案与解析
- 试题难度:一般
- 知识点:计算机网络基础>网络设备
- 试题答案:[['B']]
- 试题解析:
汇聚层交换机采用交换能力较强的设备,所以汇聚层的设备连接子节点比较多的地方,应配备交换和路由能力比较强的设备。
第 11 题
( )不属于智慧城市的典型应用。
- (A) 智能交通
- (B) 智慧旅游
- (C) 应急联动
- (D) 金税工程
答案与解析
- 试题难度:容易
- 知识点:计算机网络基础>Internet实用技术
- 试题答案:[['D']]
- 试题解析:
金税工程属于电子政务工程的范畴,其不属于智慧城市的典型应用。
第 12 题
如果将部门聚餐烤肉比作购买云计算服务,去饭店吃自助烤肉、去饭店直接吃烤肉、自己架炉子买肉烤着吃,分别对应( )服务。
- (A) PaaS、SaaS、IaaS
- (B) SaaS、PaaS、IaaS
- (C) SaaS、IaaS、PaaS
- (D) PaaS、IaaS、SaaS
答案与解析
- 试题难度:一般
- 知识点:计算机网络基础>Internet实用技术
- 试题答案:[['A']]
- 试题解析:
Paas:平台即服务
Saas:软件即服务
Iaas:基础设施即服务
第 13 题
防火墙、入侵监测和漏洞扫描系统是保障( )需要用到的网络安全产品。
- (A) 设施安全
- (B) 平台安全
- (C) 通信安全
- (D) 应用安全
答案与解析
- 试题难度:一般
- 知识点:信息安全管理>信息系统安全体系的构成
- 试题答案:[['B']]
- 试题解析:
平台安全实施需要用到市场上常见的网络安全产品,主要包括VPN、物理隔离系统(网闸)、防火墙、入侵监测和漏洞扫描系统、网络防病毒系统、信息防篡改系统、安全审计等系统。
第 14 题
( )不属于网络基础平台的传输技术。
- (A) 基于IP的语音传输(VoIP)
- (B) 准同步数字序列(PDH)
- (C) 波分复用(DWDM)
- (D) 同步数字序列(SDH)
答案与解析
- 试题难度:一般
- 知识点:网络系统建设监理>网络系统建设监理
- 试题答案:[['A']]
- 试题解析:
网络基础平台的传输系统主要有:DWDM(波分复用)、综合布线系统(PDS)、同步数字序列(PDH)、数字微波传输系统、VSAT数字卫星通信系统及有线电视网(CATV)等。
第 15 题
使用不同的操作方式,灾难恢复所耗费的时间和成本有所不同。在( )方式下,系统恢复所需时间最长,成本最低。
- (A) 全自动恢复
- (B) 手动恢复
- (C) 数据备份
- (D) 半自动恢复
答案与解析
- 试题难度:一般
- 知识点:信息安全管理>数据备份与灾难恢复的安全管理
- 试题答案:[['C']]
- 试题解析:
数据备份系统方法恢复系统正常应用所用时间最长,但成本最低。
第 16 题
机房建设内容包括( )。
①网络安全系统
②屏蔽、防静电系统
③运行维护系统
④保安系统
⑤专业空调通风系统
⑥防雷接地系统
- (A) ①②③④
- (B) ①②④⑤
- (C) ③④⑤⑥
- (D) ②④⑤⑥
答案与解析
- 试题难度:容易
- 知识点:计算机网络基础>机房工程
- 试题答案:[['D']]
- 试题解析:
计算机机房建设工程是一个综合性的专业技术系统工程。建设内容包括:
机房装修系统;
机房布线系统;
机房屏蔽、防静电系统;
机房防雷、接地系统;
机房保安系统(防盗报警、监控、门禁);
机房环境监控系统;
机房专业空调通风系统;
机房网络设备的分区和布置;
机房照明及应急照明系统;
机房UPS配电系统。
第 17 题
隐蔽工程的管路设计采用明敷槽道方式时,不正确的是( )。
- (A) 为了防尘、防潮或防火,槽道均应采取密闭措施加以保护
- (B) 无孔托盘式槽道,距离地面的高度不低于2.2m
- (C) 在吊顶内敷设槽道时,槽道顶部距顶棚的距离应小于0.3m
- (D) 电缆竖井中安装的槽道,可以适当降低保护高度
答案与解析
- 试题难度:一般
- 知识点:网络系统建设监理>网络系统建设监理
- 试题答案:[['C']]
- 试题解析:
在吊顶内敷设槽道时,槽道顶部距顶棚的距离不应小于0.3m。
第 18 题
在机房和综合布线工程实施过程中,关于线槽内的配线要求,不正确的是( )。
- (A) 同一线槽内包括绝缘在内的导线截面积总和应不超过内部截面积的40%
- (B) 缆线的布放应平直,不得产生扭绞、打圈等现象
- (C) 缆线布放,在牵引过程中,吊挂缆线的支点相隔间距不应大于1.5m
- (D) 缆线布放后,在两端贴上线缆标签,以表明起始和终端位置
答案与解析
- 试题难度:一般
- 知识点:网络系统建设监理>网络系统建设监理
- 试题答案:[['D']]
- 试题解析:
缆线布放前,在两端贴上线缆标签,以表明起始和终端位置。
第 19 题
( )不属于VPN采用的网络技术及机制。
- (A) 数据安全性
- (B) 透明包传输
- (C) QoS保证
- (D) 隧道机制
答案与解析
- 试题难度:一般
- 知识点:信息安全管理>信息系统安全体系的构成
- 试题答案:[['B']]
- 试题解析:
VPN采用的网络技术与机制包括:数据安全性;不透明包传输;QoS保证;隧道机制。
第 20 题
( )不属于漏洞扫描系统的功能和性能要素。
- (A) 提供多种方式对监视引擎和检测特征的定期更新服务
- (B) 支持快速检索事件和规则信息的功能
- (C) 支持与入侵监测系统的联动
- (D) 提供安全事件统计概要报表,并按照风险等级进行归类
答案与解析
- 试题难度:一般
- 知识点:信息安全管理>信息系统安全体系的构成
- 试题答案:[['A']]
- 试题解析:
提供多种方式对监视引擎和检测特征的定期更新服务属于入侵检测系统的功能和性能要素。详细内容请参考《信息系统监理师教程》P354。
第 21 题
( )属于总监理工程师的岗位职责。
- (A) 编制监理实施方案
- (B) 做好监理日记和有关的监理记录
- (C) 对工程进行抽检及监理测试
- (D) 主持编写工程项目监理规划
答案与解析
- 试题难度:容易
- 知识点:信息系统监理概论>监理人员的岗位与职责
- 试题答案:[['D']]
- 试题解析:
主持编写工程项目监理规划属于总监理工程师的岗位职责。
第 22 题
以应用范围划分,云计算的应用不包含( )。
- (A) 公有云
- (B) 私有云
- (C) 混合云
- (D) 集成云
答案与解析
- 试题难度:一般
- 知识点:计算机网络基础>Internet实用技术
- 试题答案:[['D']]
- 试题解析:
以应用范围划分,云计算的应用包含公有云、私有云和混合云。
第 23 题
( )是需求分析阶段完成的文档。
- (A) 概要设计说明书
- (B) 软件质量保证计划
- (C) 数据库设计
- (D) 软件编码规范
答案与解析
- 试题难度:一般
- 知识点:软件开发基础>软件需求分析
- 试题答案:[['B']]
- 试题解析:
需求分析阶段成果
在制定开发计划时应兼顾用户给定的要进度和经费要求,又要注意按照软件工程规定的程序和技术要求进行开发工作。软件需求规格说明应满足需求分析的完整性要求,并保证软件需求规格说明应满足需求说明中的所有功能,性能需求均是可实现的。阶段成果有:
(1)项目开发计划:
(2)软件需求说明书:
(3)软件质量保证计划;
(4)软件配置管理计划;
(5)软件(初步)确认测试计划:
(6)用户使用说明书初稿。
A、C、D选项都是属于概要设计阶段完成时应编写的文档。
第 24 题
按照GB/T 16260《软件工程产品质量》标准,软件质量不包括( )。
- (A) 内部质量
- (B) 服务质量
- (C) 外部质量
- (D) 使用质量
答案与解析
- 试题难度:一般
- 知识点:法律法规、知识产权与标准化>标准与标准化
- 试题答案:[['B']]
- 试题解析:
按照GB/T16260《软件工程产品质量》标准,软件质量不包括服务质量。
第 25 题
软件配置管理通过标识产品的组成元素、管理和控制变更、验证、记录和报告配置信息,来控制产品的进化和( )。
- (A) 可靠性
- (B) 安全性
- (C) 连续性
- (D) 完整性
答案与解析
- 试题难度:一般
- 知识点:软件开发基础>软件配置管理
- 试题答案:[['D']]
- 试题解析:
软件配置管理通过标识产品的组成元素、管理和控制变更、验证、记录和报告配置信息,来控制产品的进化和完整性。
第 26 题
( )是为了评价和改进产品质量、识别产品的缺陷和问题而进行的活动。
- (A) 需求分析
- (B) 软件设计
- (C) 软件测试
- (D) 软件维护
答案与解析
- 试题难度:容易
- 知识点:软件开发基础>软件测试
- 试题答案:[['C']]
- 试题解析:
软件测试是为了评价和改进产品质量、识别产品的缺陷和问题而进行的活动。
第 27 题
《软件集成测试计划》的编写在( )阶段完成。
- (A) 软件概要设计
- (B) 软件详细设计
- (C) 软件编码
- (D) 软件测试
答案与解析
- 试题难度:一般
- 知识点:软件开发基础>软件测试
- 试题答案:[['A']]
- 试题解析:
根据V模型,《软件集成测试计划》的编写在软件概要设计阶段完成。
第 28 题
软件维护包含更正性维护、适应性维护、预防性维护、完善性维护。( )属于完善性维护。
- (A) 使软件产品能够在变化后的环境中继续使用
- (B) 在软件产品中的潜在错误成为实际错误前进行完善
- (C) 改进交付后产品的性能和可维护性
- (D) 为改善性能而做的修改
答案与解析
- 试题难度:一般
- 知识点:软件开发基础>软件运行与维护
- 试题答案:[['D']]
- 试题解析:
C选项不属于完善性维护的定义,是软件维护的定义。软件维护是软件产品交付使用后,为纠正错误或改进性能与其属性,或使软件产品适应改变了的环境而进行的修改活动。
D选项是正确答案。为扩充功能或改善性能而做的修改为完善性维护。
第 29 题
类库、构件、模板和框架是软件开发过程中常用的几种提高软件质量、降低开发工作量的软件复用技术。( )是面向对象的类库的扩展,并由一个应用相关联构件家族构成,这些构件协同工作形成了它的基本结构骨架。
- (A) 构件
- (B) 模式
- (C) 框架
- (D) 模板
答案与解析
- 试题难度:一般
- 知识点:软件开发基础>面向对象基本概念
- 试题答案:[['C']]
- 试题解析:
</p>
框架是面向对象的类库的扩展,并由一个应用相关联构件家族构成,这些构件协同工作形成了它的基本结构骨架。
第 30 题
( )描述了系统的功能,由系统、用例和角色三种元素组成。
- (A) 用例图
- (B) 对象图
- (C) 序列图
- (D) 状态图
答案与解析
- 试题难度:一般
- 知识点:软件开发基础>UML
- 试题答案:[['A']]
- 试题解析:
用例图描述了系统的功能,由系统、用例和角色三种元素组成。
第 31 题
项目管理不是万能的,在信息系统集成项目中不能做到( )。
- (A) 促使信息系统项目按预定进度执行
- (B) 降低信息系统项目投资超出预算的风险
- (C) 提高信息系统实施过程的可视性
- (D) 防止信息系统项目出现需求变更
答案与解析
- 试题难度:容易
- 知识点:信息系统监理概论>信息系统项目管理
- 试题答案:[['D']]
- 试题解析:
IT行业中,需求变更是频繁的也是不可避免的。
第 32 题
作为一个大型信息系统建设项目的项目经理,应当具备( )的能力。
①知人善任
②应急处置
③推过揽功
④善于运用所掌握的权力
- (A) ①②④
- (B) ①②③
- (C) ①③④
- (D) ②③④
答案与解析
- 试题难度:容易
- 知识点:信息系统监理概论>信息系统项目管理
- 试题答案:[['A']]
- 试题解析:
推过揽功是一种违反职业道德的行为。
第 33 题
项目管理是信息系统项目三方(建设单位、承建单位、监理单位)均采用的方法。在信息系统项目管理要素中,由建设单位重点实施的是( )。
- (A) 合同管理与文档管理
- (B) 成本管理与进度管理
- (C) 立项管理与验收管理
- (D) 采购管理与外包管理
答案与解析
- 试题难度:容易
- 知识点:信息系统监理概论>信息系统项目管理
- 试题答案:[['C']]
- 试题解析:
在信息系统项目管理要素中,由建设单位重点实施的是立项管理与验收管理。
第 34 题
信息系统项目监理活动的主要内容被概括为“四控、三管、一协调”,其中的“三管”不包括( )。
- (A) 合同管理
- (B) 信息管理
- (C) 质量管理
- (D) 安全管理
答案与解析
- 试题难度:容易
- 知识点:信息系统监理概论>信息系统项目管理
- 试题答案:[['C']]
- 试题解析:
“三管”是指信息管理、安全管理、合同管理。不包括质量管理。
第 35 题
在监理工作程序中,应在( )之前确定总监理工程师。
- (A) 选择监理单位
- (B) 签订监理合同
- (C) 组织监理前的三方会议
- (D) 编制监理计划
答案与解析
- 试题难度:一般
- 知识点:信息系统监理概论>监理项目部的组织结构
- 试题答案:[['D']]
- 试题解析:
在监理工作程序中,应在编制监理计划之前, 在组建监理项目组这一环节确定总监理工程师。
第 36 题
信息系统工程有着不同于其他工程建设的诸多特点,其建设合同内容较为复杂,但不包括( )。
- (A) 监理单位的权利和义务
- (B) 承建单位的权利和义务
- (C) 承建单位提交各阶段项目成果的期限
- (D) 建设单位提交有关基础资料的期限
答案与解析
- 试题难度:一般
- 知识点:信息系统监理概论>信息系统项目管理
- 试题答案:[['A']]
- 试题解析:
在建设合同中明确建设方、承建方双方的责、权、利。跟监理方无关!
第 37 题
《信息系统工程监理暂行规定》中规定了监理单位的权利与义务。信息系统工程监理单位应遵循的行为准则中,不包括( )。
- (A) 独立
- (B) 科学
- (C) 保密
- (D) 高效
答案与解析
- 试题难度:容易
- 知识点:信息系统监理概论>监理服务质量管理模式
- 试题答案:[['D']]
- 试题解析:
信息系统工程监理单位应遵循的行为准则包括:
(1)守法;
(2)公正;
(3)独立;
(4)科学;
(5)保密。
第 38 题
在某金融安全信息系统建设中,由于监理工程师小王不了解金融风险相关知识,未发现本应发现的问题和隐患,未能有效履行监理责任。该事项属于( )风险。
- (A) 过程
- (B) 工作技能
- (C) 技术资源
- (D) 管理
答案与解析
- 试题难度:一般
- 知识点:信息系统监理概论>监理工作的风险类别与防范方法
- 试题答案:[['B']]
- 试题解析:
工作技能风险是指监理工程师由于在某些方面工作技能的不足,尽管履行了合同中建设单位委托的职责,实际上并未发现本应该发现的问题和隐患。
第 39 题
为投标某行业大数据智能平台建设项目,某信息系统监理公司总监在投标书中编制了( ),重点阐述监理目的,初步规划将采取的监理措施。
- (A) 监理大纲
- (B) 监理规划
- (C) 监理合同
- (D) 质量保证计划
答案与解析
- 试题难度:容易
- 知识点:信息系统监理概论>监理大纲
- 试题答案:[['A']]
- 试题解析:
某信息系统监理公司总监在投标书中编制了监理大纲,重点阐述监理目的,初步规划将采取的监理措施。
第 40 题
某综合性信息系统建设工程中,通信工程专业监理工程师编制了详尽的监理实施细则,内容包括:监理流程、监理的控制要点和目标、计划采用的监理技术和工具、针对工程异常情况的监理措施。如果你是总监理工程师,审核时应指出该监理实施细则还必须补充( )。
- (A) 监理人员的责任范围
- (B) 通信工程的专业特点
- (C) 信息系统的监理目标
- (D) 信息系统的工程概况
答案与解析
- 试题难度:一般
- 知识点:信息系统监理概论>监理实施细则
- 试题答案:[['B']]
- 试题解析:
监理实施细则的内容包括:
工程专业的特点 、监理流程 、监理的控制要点及目标 、监理方法及措施。
第 41 题
某信息网络系统建设工程监理项目,项目总监编制了( )作为指导整个监理项目工作的纲领性文件。该文件描述了监理项目部对工程的哪些阶段进行监理、说明了监理工作具体做什么、列出了监理工作在本项目中要达到的效果。
- (A) 监理规划
- (B) 监理大纲
- (C) 监理日志
- (D) 监理实施细则
答案与解析
- 试题难度:一般
- 知识点:信息系统监理概论>监理规划
- 试题答案:[['A']]
- 试题解析:
监理规划是整个项目开展监理工作的依据和基础,它相当于一个监理项目的“初步设计”。
第 42 题
信息系统工程建设过程是人的智力劳动过程,下列说法不正确的是( )。
- (A) 智力劳动受个人的影响很大,要控制质量,首先要控制人
- (B) 监理单位要保证对承建单位项目组人事权的控制,否则无法控制质量
- (C) 监理单位要审查承建单位的过程质量控制体系,减少个人随意性
- (D) 承建单位要建立有效的文档管理体系,减小人员流动带来的损失
答案与解析
- 试题难度:容易
- 知识点:信息系统监理概论>信息系统项目管理
- 试题答案:[['B']]
- 试题解析:
监理是第三方,不涉及对承建单位项目组的人事权控制。
第 43 题
在某工程建设过程中,承建单位制定了一套质量保证体系,包括建立健全专职质量管理机构、实现管理业务标准化、实现管理流程程序化、配备必要的资源条件、建立一套灵敏的质量信息反馈系统。监理工程师检查后,认为该体系还必须包括制定明确的( )。
- (A) 质量方针
- (B) 质量目标
- (C) 质量计划
- (D) 质量标准
答案与解析
- 试题难度:一般
- 知识点:质量控制>信息系统工程质量与质量控制的概念
- 试题答案:[['C']]
- 试题解析:
监理检查承建单位的质量保证体系内容包括:
制定明确的质量计划;
建立和健全专职质量管理机构;
实现管理业务标准化,管理流程程序化;
配备必要的资源条件;
建立一套灵敏的质量信息反馈系统。
第 44 题
某信息系统工程对质量控制特别重视,多次召开三方会议讨论质量控制方案,建设单位、承建单位、监理单位对质量控制点的设置和处理策略产生了分歧。下列说法正确的是( )。
- (A) 质量控制点的设置应面面俱到、细密周全
- (B) 质量控制点关系全局,牵一发而动全身,不能随意更改
- (C) 监理单位应根据自身的技术能力确定要检查的质量控制点
- (D) 三方应根据项目的具体情况,制定各自的质量控制措施
答案与解析
- 试题难度:一般
- 知识点:质量控制>质量控制点
- 试题答案:[['D']]
- 试题解析:
C选项错:监理单位根据监理目标确定要检查的质量控制点。
D选项描述正确:三方可以根据项目的具体情况,商定各个阶段的质量控制点,并制定各自的质量控制措施。
第 45 题
在某信息网络系统建设项目的机房工程实施过程中,因工期紧张,项目经理与监理工程师协商后,决定通过优化工序的方式进行赶工。下列做法不正确的是( )。
- (A) 对主要硬件设备开箱查验,并按所附技术说明书及装箱清单验收
- (B) 上一阶段验收合格,经现场监理工程师的代表签认,进入下一阶段
- (C) 书面审查屏蔽线合格证、抽检报告后,监理工程师批准安装
- (D) 综合布线完成,经监理工程师测试后,与计算机网络系统相联通电
答案与解析
- 试题难度:一般
- 知识点:质量控制>实施阶段的质量控制
- 试题答案:[['C']]
- 试题解析:
关键过程质量控制的实施要点
(1)制定阶段性质量控制计划,是实施阶段性质量控制的基础。
阶段性质量控制计划包括:确定控制内容,技术质量标准,检验方法及手段,建立阶段性质量控制责任制和质量检查制度。
(2)进行工程各阶段分析,分清主次,抓住关键是阶段性工程结果质量控制的目的。
工程各阶段分析是指从众多影响工程质量的因素中,找出对特定工程阶段重要的或关键的质量特征特性指标起支配性作用或具有重要影响的主要因素,以便在工程实施中对那些主要因素制定出相应的控制措施和标准,开展对工程实施过程中关键质量的重点控制。
(3)设置阶段性质量控制点,实施跟踪控制是工程质量控制的有效手段。
质量控制点是实施质量控制的重点。在实施过程中的关键过程或环节及隐蔽工程;实施中的薄弱环节或质量变异大的工序、部位和实施对象;对后续工程实施或后续阶段质量和安全有重大影响的工序、部位或对象;实施中无足够把握的、实施条件困难或技术难度大的过程或环节;在采用新技术或新设备应用的部位或环节等处都应设置质量控制点等。
(4)严格进行各过程间交接检查。
主要项目工作各阶段(包括布线中的隐蔽作业)需按有关验收规定经现场监理人员检查、签署验收。如综合布线系统的各项材料,包括插座、屏蔽线及RJ45插头等等,应经现场监理检查、测试,未经测试不得往下进行安装。又如在综合布线系统完成后,未经监理工程师测试、检查,不得与整个计算机网络系统相联通电等。对于重要的工程阶段,专业质量监理工程师还要亲自进行测试或技术复核。
坚持项目各阶段实施验收合格后,才准进行下阶段工程实施的原则,由实施、开发单位进行检测或评审后,并认为合格后才通知监理工程师或其代表到现场或机房、实验室会同检验。合格后由现场监理工程师或其代表签署认可后,方能进行下一阶段的工作。
综合上述分析,综合布线系统的屏蔽线未经测试不得安装,答案C错误。
第 46 题
监理单位有责任协助建设单位对严重质量隐患和质量问题进行处理,必要时可以按合同行使否决权。总监理工程师在( )情况下应对承建单位果断下达停工令。
①实施、开发中出现质量异常情况
②承建单位使用盗版软件
③隐蔽作业未经现场监理人员查验自行封闭
④擅自变更设计及开发方案自行实施、开发
- (A) ①②④
- (B) ②③④
- (C) ①③④
- (D) ①②③
答案与解析
- 试题难度:一般
- 知识点:质量控制>停工令
- 试题答案:[['B']]
- 试题解析:
在下述情况中,总监有权下达停工令:
实施、开发中出现质量异常情况,经提出后承建单位仍不采取改进措施者或者采取的改进措施不力,还未使质量状况发生好转趋势者。
隐蔽作业未经现场监理人员查验自行封闭、掩盖者。
已发生的质量事故未进行处理或未提出改进措施就继续进行者。擅自变更设计及开发方案自行实施、开发者。
使用没有技术合格证的工程材料、没有授权证书的软件,或者擅自替换、变更工程材料及使用盗版软件者。
未经资质审查的人员进入现场实施、开发者。
第 47 题
某电子政务工程各活动实施计划如下表,项目工期是( )天。

- (A) 21
- (B) 25
- (C) 30
- (D) 31
答案与解析
- 试题难度:一般
- 知识点:进度控制>双代号网络图
- 试题答案:[['C']]
- 试题解析:
先用三点估算法计算出表格中各个工作代码(活动)的期望值,然后根据表格中各活动的逻辑关系绘制单代号网络图,便可识别关键线路,确定工期为30天。
第 48 题
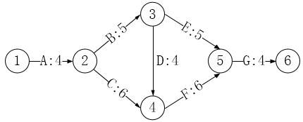
某工程活动路径图如下所示,弧上的标记为活动编码及需要的完成时间,该工程的关键路径为( )。

- (A) A-B-E-G
- (B) A-C-F-G
- (C) A-C-F-E-G
- (D) A-B-D-F-G
答案与解析
- 试题难度:一般
- 知识点:进度控制>双代号网络图
- 试题答案:[['D']]
- 试题解析:
网络图中,由起点至终点,时间跨度最长的线路即为关键线路。上图中的关键线路是A-B-D-F-G。
第 49 题
进度控制过程是个周期性的循环过程,一个完整的进度控制过程为( )。
- (A) 编制进度计划→检查进度计划→分析进度计划→实施进度计划
- (B) 分析进度计划→编制进度计划→实施进度计划→检查进度计划
- (C) 编制进度计划→实施进度计划→调整进度计划→分析进度计划
- (D) 分析进度计划→编制进度计划→检查进度计划→实施进度计划
答案与解析
- 试题难度:一般
- 知识点:进度控制>进度控制流程
- 试题答案:[['C']]
- 试题解析:
进度控制过程是个周期性的循环过程,一个完整的进度控制过程为包括:编制进度计划→实施进度计划→调整进度计划→分析进度计划。
第 50 题
监理工程师审查承建单位施工进度计划属于( )工作。
- (A) 准备阶段
- (B) 设计阶段
- (C) 实施阶段
- (D) 验收阶段
答案与解析
- 试题难度:一般
- 知识点:进度控制>实施阶段进度控制监理任务、程序与方法措施
- 试题答案:[['C']]
- 试题解析:
监理实施阶段进度控制的工作内容:
(1) 根据工程招标和施工准备阶段的工程信息,进一步完善项目控制性进度计划,并据此进行实施阶段进度控制。
(2) 审查承建单位进度控制报告,监督承建单位做好施工进度控制,对施工进度进行跟踪、掌握施工动态。
(3) 审查承建单位的施工进度计划,确认其可行性并满足项目控制性进度计划要求。
第 51 题
有关成本控制描述,不正确的是( )。
- (A) 项目成本控制是项目实施过程中,通过项目成本计划管理尽量使项目实际发生的成本控制在预算范围之内
- (B) 项目实际成本变动的控制属于事中控制
- (C) 成本控制不能脱离技术管理和进度管理独立存在
- (D) 成本预算的审核目的是发现并纠正错误,以及控制成本和造价
答案与解析
- 试题难度:一般
- 知识点:投资控制>成本控制的原则
- 试题答案:[['B']]
- 试题解析:
成本控制包括事前、事中和事后控制。
事前控制:对各种能引起项目成本变化因素的控制;
事中控制:项目实施过程中成本控制;
事后控制:项目实际成本的变动控制。
第 52 题
成本控制的内容不包括( )。
- (A) 监控费用执行情况以确定与计划的偏差
- (B) 确定所有发生的变化被准确记录在费用线上
- (C) 建设单位权益改变的各种信息
- (D) 不正确的或无效的变更也应反映在费用线上
答案与解析
- 试题难度:一般
- 知识点:投资控制>成本控制方法、内容与依据
- 试题答案:[['D']]
- 试题解析:
成本控制的内容包括:
(1) 监控费用执行情况以确定与计划的偏差;
(2) 确定所有发生的变化准确记录在费用线上;
(3) 避免不正确的、不合适的或者无效的变更反映在费用线上;
(4) 建设单位权益改变的各种信息。
第 53 题
某拟建项目财务净现金流如下表所示,进行该项目财务评价时,可得出( )的结论。

- (A) 净现值大于零,项目不可行
- (B) 净现值大于零,项目可行
- (C) 净现值小于零,项目可行
- (D) 净现值等于零,项目不可行
答案与解析
- 试题难度:容易
- 知识点:投资控制>净现值
- 试题答案:[['B']]
- 试题解析:
净现值大于零,项目可行。
第 54 题
关于竣工结算的描述,不正确的是( )。
- (A) 竣工项目中计划外工程的增加,必须审核是否有监理和承建单位双方的签字手续
- (B) 工程设计的变更应有设计单位和监理工程师的变更手续
- (C) 对各账目和统计资料进行完整性和准确性审核
- (D) 对报废工程应减少审核时间,尽量核实其他主要开支
答案与解析
- 试题难度:容易
- 知识点:投资控制>信息系统工程竣工结算的意义、审核内容
- 试题答案:[['D']]
- 试题解析:
竣工结算审核包括审核报废损失和核销损失的真实性。特别是对报废工程要进行认真审核,要尽量回收利用减少损失。
第 55 题
( )不属于信息系统工程变更的原因。
- (A) 项目外部环境发生变化
- (B) 项目成本估算不够周密详细
- (C) 新技术的出现,设计人员提出了新的设计方案
- (D) 建设单位由于机构重组等原因造成业务流程的变化
答案与解析
- 试题难度:一般
- 知识点:变更控制>项目变更的基本概念
- 试题答案:[['B']]
- 试题解析:
通常,造成信息系统工程变更的原因有以下几个方面:
(1) 外部环境发生变化,例如政府政策的变化;
(2) 项目总体设计,项目需求分析不够周密详细,有一定的错误或纰漏;
(3) 新技术的出现、设计人员提出了新的设计方案或者新的实现手段;
(4) 建设单位由于机构重组等原因造成业务流程的变化。
第 56 题
关于变更控制工作程序的描述,正确的是( )。
- (A) 变更的初审→变更分析→接受变更申请→确定变更方法→监控变更的实施→变更效果评估
- (B) 接受变更申请→确定变更方法→变更的初审→变更分析→监控变更的实施→变更效果评估
- (C) 接受变更申请→变更的初审→变更分析→确定变更方法→监控变更的实施→变更效果评估
- (D) 接受变更申请→变更分析→确定变更方法→变更的初审→监控变更的实施→变更效果评估
答案与解析
- 试题难度:一般
- 知识点:变更控制>变更控制的工作程序
- 试题答案:[['C']]
- 试题解析:
变更控制工作程序:
(1) 了解变化;
(2) 接受变更申请;
(3) 变更的初审;
(4) 变更分析;
(5) 确定变更方法;
(6) 监控变更的实施;
(7) 变更效果评估。
第 57 题
关于项目复工的描述,正确的是( )。
- (A) 项目暂停是建设单位原因时,监理工程师及时签发“复工报审表”
- (B) 项目暂停是承建单位原因时,监理工程师及时签发“监理通知单”
- (C) 项目暂停是承建单位原因时,应填写“复工报审表”,由监理工程师签发审批意见
- (D) 承建单位在接到同意复工的指令后,才能继续实施
答案与解析
- 试题难度:一般
- 知识点:变更控制>项目变更的基本概念
- 试题答案:[['D']]
- 试题解析:
A选项错,监理工程师应及时签发“监理通知单”。
B选项错,监理工程师应及时签发“复工报审表”。
C选项错,由总监理工程师签发审批意见。
第 58 题
关于分包合同的描述,不正确的是( )。
- (A) 分包单位可以在分包项目的范围内再分包一次
- (B) 分包单位需要有符合国家规定的注册资本,且有相应的专业技术人员
- (C) 承建单位不得将其承包的全部建设项目肢解后分别转包给第三人
- (D) 信息系统工程主体结构的实施必须由承建单位自行完成
答案与解析
- 试题难度:容易
- 知识点:合同管理>信息系统工程合同内容及签订注意事项
- 试题答案:[['A']]
- 试题解析:
不可以进行二次分包。
第 59 题
关于索赔程序的描述,不正确的是( )。
- (A) 监理单位在收到承建单位递交的索赔报告及有关资料后,如在约定时间内未予以答复,承建单位必须延期等待监理单位签字认可
- (B) 发出索赔意向通知后约定时间内,向建设单位和监理单位提出延长工期和补偿经济损失的索赔报告及有关资料
- (C) 索赔事件发生约定时间内,向建设单位和监理单位发出索赔意向通知
- (D) 当索赔事件持续进行时,承建单位应当阶段性向监理单位发出索赔意向
答案与解析
- 试题难度:一般
- 知识点:合同管理>合同索赔管理
- 试题答案:[['A']]
- 试题解析:
监理方在约定的时间内没有予以答复,则相当于默认了承建方的索赔申请。承建单位无须延期等待监理单位签字认可。
第 60 题
知识产权保护的监理应该坚持全过程的管理,管理措施不包括( )。
- (A) 树立为建设单位和承建单位维权的意识
- (B) 监督承建单位实施知识产权管理制度
- (C) 实施知识产权保护的监理措施
- (D) 监督建设单位制定知识产权管理制度
答案与解析
- 试题难度:一般
- 知识点:法律法规、知识产权与标准化>知识产权监理
- 试题答案:[['D']]
- 试题解析:
D选项错,正确的描述应是:建议建设单位制定知识产权管理制度。
第 61 题
信息系统实施安全管理制度不包括( )。
- (A) 计算机信息网络系统质量保证制度
- (B) 计算机信息网络系统工作人员人事管理制度
- (C) 计算机信息网络系统工作人员循环任职制度
- (D) 计算机信息网络系统各工作岗位的工作职责
答案与解析
- 试题难度:一般
- 知识点:信息安全管理>安全管理制度与监理实施
- 试题答案:[['A']]
- 试题解析:
信息系统实施安全管理制度请参考《信息系统监理师教程》P221。
第 62 题
在信息系统安全管理中,( )不属于信息系统应用环境监控的对象。
- (A) 互联网
- (B) 电源
- (C) 地面
- (D) 空间状态
答案与解析
- 试题难度:一般
- 知识点:信息安全管理>逻辑访问安全管理
- 试题答案:[['A']]
- 试题解析:
第 63 题
关于信息网络系统可用性的描述,不正确的是( )。
- (A) 部分线路后节点失效后,系统仍然能够提供一定程度的服务
- (B) 随机性破坏和网络拓扑结构对系统可用性的影响
- (C) 要求信息不被泄露给未授权的人,信息不致受到各种原因的破坏
- (D) 信息系统的部件失效情况下,满足业务性能要求的程度
答案与解析
- 试题难度:一般
- 知识点:信息安全管理>信息系统安全属性
- 试题答案:[['C']]
- 试题解析:
C选项描述的是“保密性”而不是“可用性”!
第 64 题
( )不属于工程监理日报的内容。
- (A) 工程进度
- (B) 工程质量
- (C) 合同管理
- (D) 监理计划
答案与解析
- 试题难度:一般
- 知识点:信息管理>监理实施文件
- 试题答案:[['D']]
- 试题解析:
工程监理日报由监理工程师根据实际需要每日编写,主要针对近期的工程进度、工程质量、合同管理及其他事项进行综合分析,并提出必要的意见。
第 65 题
( )不属于工程验收监理报告的内容。
- (A) 监理工作统计
- (B) 工程竣工准备工作综述
- (C) 测试结果与分析
- (D) 验收测试结论
答案与解析
- 试题难度:一般
- 知识点:信息管理>工程验收监理报告
- 试题答案:[['A']]
- 试题解析:
工程验收监理报告的内容包括:
工程竣工准备工作综述;
验收测试方案与规范;
测试结果与分析;
验收测试结论。
监理工作统计是在监理月报和工程监理总结报告当中。
第 66 题
工程合同评审表属于( )文件。
- (A) 项目前期阶段监理
- (B) 项目设计阶段监理
- (C) 项目实施阶段监理
- (D) 项目验收阶段监理
答案与解析
- 试题难度:一般
- 知识点:信息管理>监理单位产出文档
- 试题答案:[['A']]
- 试题解析:
工程合同评审表属于项目前期阶段监理。具体请参考《信息系统监理师教程》P263。
第 67 题
监理在组织协调工作中采用的方法不包括( )。
- (A) 监理会议
- (B) 监理报告
- (C) 质量审计
- (D) 沟通
答案与解析
- 试题难度:容易
- 知识点:信息系统建设组织协调>组织协调的概念
- 试题答案:[['C']]
- 试题解析:
组织协调的监理单位法包括:
(1)监理会议;
(2)监理报告;
(3)沟通。
监理单位在质量保证的主要作用是对承建单位的上述质量计划编制和质量保证活动进行审查,通常采用质量审计的方法、技术和工具。
第 68 题
监理在处理实际监理事务中保持对问题的综合分析能力,不被表象和局部问题所干扰,体现了( )原则。
- (A) 守法
- (B) 独立
- (C) 诚信
- (D) 科学
答案与解析
- 试题难度:一般
- 知识点:信息系统建设组织协调>组织协调的基本原则
- 试题答案:[['B']]
- 试题解析:
监理在处理实际监理事务中保持对问题的综合分析能力,不被表象和局部问题所干扰,体现了公平、公正、独立的原则。
第 69 题
不定期监理报告不包含( )。
- (A) 项目优化变更的建议
- (B) 成本估算和预算
- (C) 各阶段测试报告和评价
- (D) 项目进度预测分析
答案与解析
- 试题难度:一般
- 知识点:信息管理>监理实施文件
- 试题答案:[['B']]
- 试题解析:
不定期的监理报告包括:
(1)关于项目优化设计、项目变更的建议;
(2)投资情况分析预测及资金、资源的合理配置和投入的建议;
(3)各阶段的测试报告和评价说明;
(4)项目进度预测分析报告;
(5)监理业务范围内的专题报告。
第 70 题
关于监理会议的描述,不正确的是( )。
- (A) 举行会议成功的关键原则之一是确保每个人到场
- (B) 高效的会议需将会议议题保持在10个以内
- (C) 领导的与会作用是保证会议的结果得到落实的重要保证
- (D) 会后24小时之内公布会议结果
答案与解析
- 试题难度:一般
- 知识点:信息系统建设组织协调>项目监理例会
- 试题答案:[['B']]
- 试题解析:
高效的会议议题最好是1个,最多也不要超过3个。
召开有效的会议这仍然是沟通和协调的重要方法。但须注意:
(1)会议要有明确的目的和期望的结果;
(2)会议议题要集中;
(3)参会人员要充分而且必要,以便缩小会议规模;
(4)做好会议准备工作;
(5)若可用更简单办法解决问题则不必开会。
第 71 题
The ( )of information lies in the trustworthiness of its source,collection method and transmission process.
- (A) reliability
- (B) integrity
- (C) timeliness
- (D) economy
答案与解析
- 试题难度:一般
- 知识点:专业英语>专业英语
- 试题答案:[['A']]
- 试题解析:
信息的来源、收集方法和传递过程的可靠性是信息传递的关键。
第 72 题
The meaning of ( )is that access to protected information must be restricted to people who are authorized to access the information.
- (A) digital signature
- (B) encryption technology
- (C) access control
- (D) authentication technology
答案与解析
- 试题难度:一般
- 知识点:专业英语>专业英语
- 试题答案:[['C']]
- 试题解析:
访问控制的含义是,对受保护信息的访问必须限于有权访问该信息的人员。
第 73 题
The perform Integrated Change Contorl process is the ultimate responsibility of the ( ).Although changes may be initiated verbally,they should be recorded in written form and entered into the( )system.
- (A) resource manager
- (B) division manager
- (C) functional manager
- (D) project manager
- (A) quality management
- (B) configuration management
- (C) risk management
- (D) scope management
答案与解析
- 试题难度:一般
- 知识点:专业英语>专业英语
- 试题答案:[['D'],['B']]
- 试题解析:
执行综合变更控制程序是项目经理的最终责任。虽然变更可以口头启动,但应以书面形式记录并输入配置管理系统。
第 74 题
A goal of the( )process is to determine the correctness of deliverables.
- (A) Perform Quality Assurance
- (B) Plan Quality Management
- (C) Control Quality
- (D) Perform Quality Improvement
答案与解析
- 试题难度:一般
- 知识点:专业英语>专业英语
- 试题答案:[['C']]
- 试题解析:
控制质量过程的目标是确定可交付结果的正确性。