200611程序员上午真题
第 1 题
使用Word时,若要创建每页都相同的页脚,则可以通过()按纽,切换到页脚区域,然后输入文本或图形。要将D盘中当前正在编辑的Wangl.doc文档拷贝到U盘,应当使用 () 。
- (A) “编辑”菜单中的
- (B) “工具”菜单中的
- (C) “文件”菜单中的
- (D) “视图”菜单的“页眉和页脚”工具栏上的
- (A) “文件”菜单中的“保存”命令
- (B) “文件”菜单中的“另存为”命令
- (C) “文件”菜单中的“新建”命令
- (D) “编辑”菜单中的“替换”命令
答案与解析
- 试题难度:容易
- 知识点:
- 试题答案:[[D],[B]]
- 试题解析:
本题考查计算机系统中的基本操作及应用。
在Word的编辑状态下,利用“页眉和页脚”工具栏中的
按钮可以创建每页都相同的页脚。其过程如下:
①单击Word主菜单的”视图”子菜单,屏幕显示如下内容。
②单击“页眉和页脚”命令,可打开”页眉和页脚”工具栏,如下所示。

③此时可以通过“页眉和页脚”工具栏中的 按钮,切换到页脚区域,然后输入文本或图形。
综上所述,试题(1)正确答案为D。
试题(2)正确答案为B要将D盘中当前正在编辑的Wangl.doc文档复制到U盘中,根据题目所给出的选项,应当使用”文件”菜单中的”另存为”命令,分析如下。
选项B:使用”文件”菜单中的”另存为”命令,’弹出如下所示的”另存为”对话框。
此时,选中可移动磁盘,单击”保存”按钮即可将文件保存到U盘中。
选项A:使用”文件”菜单中的”保存”命令,只能将D盘Wang1.doc文档保存,不能在U盘中生成一个新的文件Wang1.doc,达到复制的目的。
选项C:仅使用“文件”菜单中的“新建”命令,只生成一个新的空白文档,文件名也不同。
选项D:使用“编辑”菜单中的“替换”命令,只能替换本文档的字符串,无法实现将当前正在编辑的Wangl.doc文档复制到U盘的目的。
第 2 题
在“Excel 2000”表处理中,假设A1=2, A2=2.5,选择A1:A2区域,并将鼠标指针放在该区域右下角填项充柄上,拖动至A10,则A10=(),SUM(A1:A10)=()。
- (A) 5.5
- (B) 6
- (C) 6.5
- (D) 7
- (A) 30
- (B) 42.5
- (C) 46.5
- (D) 48.5
答案与解析
- 试题难度:容易
- 知识点:
- 试题答案:[[C],[B]]
- 试题解析:
本题考查电子表格Excel的基本操作及应用。
试题(3)正确答案为C。因为在“Excel 2000”表处理中,假设A1=2,A2=2.5,选择A1:A2区域,并将鼠标指针指向该区域右下角的填充柄,如下所示。
此时将填充柄拖动至Al0,工作表显示如下内容。

从图中可见,A10=6.5。
试题(4)正确答案为B。因为SUM {A1:Al0)是A1到A10单元的内容相加,相加结果为42.5。
第 3 题
()是正确的E-mail地址。
- (A) Webmaster@ceiaec.org
- (B) Web master@ceiaec.org
- (C) http:\www. ceiaec.org
- (D) http://www. ceiaec.org
答案与解析
- 试题难度:容易
- 知识点:
- 试题答案:[[A]]
- 试题解析:
本题考查子邮件的基本知识。
用户在收发电子邮件的之前,必须拥有自己的“邮箱”,即E-mail账号。用户可以向ISP申请电子邮箱,或者在互联网中申请一些免费的E-mail账号,同时还可以设置一个该邮箱的密码,这样,就可以使用互联网上的E-mail服务。使用电子邮件,每一个用户都有独自的且唯一的地址,并且格式是固定的。电子邮件地址是由字符串组成的,且各字符之间不能有空格。电子邮件地址的一般格式为用户名@域名。前面是机器名和机构名,后面是地域类型或地域简称。
选项A:Webmasce@ceiaeC.org是一个正确的电子邮件地址;选项B:Web master@ceiaeC.org是一个错误的电子邮件地址,因为,用户名“Web master”包含了不合法的字符(空格)。
选项C和选项D显然是错误的,因为正确的电子邮件地址中用户名和域名之间必须用@符号隔开。
第 4 题
如果计算机断电,则()中的数据会丢失。
- (A) ROM
- (B) EPROM
- (C) RAM
- (D) 回收站
答案与解析
- 试题难度:一般
- 知识点:
- 试题答案:[[C]]
- 试题解析:
内存储器分为ROM和RAM两种类型。
ROM是Read Only Memory的缩写。ROM中的内容在厂家生产时写入,其内容只能读出不能改变,断电后其中的内容不会丢失。EPROM(Erasable Programmable Read Only Memory,EPROM)是可擦除、可编程的只读存储器,其中的内容既可以读出,也可以由用户写入,写入后还可以修改。改写的方法是,写入之前先用紫外线照射15~20分钟以擦去所有信息,然后用特殊的电子设备写入信息,因此断电不会导致EPROM中的内容丢失。回收站是操作系统在磁盘中设置的一个区域,用于记录被删除的文件,需要时可恢复,计算机断电时,磁盘中的数据不会丢失。
RAM是Random Access Memory的缩写,是内存储器的主要组成部分,既能从中读取数据也能存入数据。这类存储器的特点是存储信息的易失性,即一旦掉电,则存储器所存信息也随之丢失。
第 5 题
与3.5英寸软盘相比,U盘的优点是()。
- (A) 体积小、容量小、速度快
- (B) 体积大、容量小、速度慢
- (C) 体积小、容量大、速度慢
- (D) 体积小、容量大、速度快
答案与解析
- 试题难度:一般
- 知识点:
- 试题答案:[[D]]
- 试题解析:
USB闪盘又称为U(优)盘,是使用闪存(Flash Memory)作为存储介质的一种半导体存储设备,采用USB接口标准。闪存盘具有比软盘容量更大(目前常见的优盘容量为256MB、512MB、1GB)、速度更快、体积更小和寿命更长等优点,而且容量在不断增加,价格也在不断下降。根据不同的使用要求,优盘的类型有基本型、加密型和启动型等,在移动存储领域已经取代了软盘(格式化容量为1.44MB)。
第 6 题
计算机指令系统中采用不同寻址方式可以提高编程灵活性,立即寻址是指()。
- (A) 操作数包含在指令中
- (B) 操作数的地址包含在指令中
- (C) 操作数在地址计数器中
- (D) 操作数在寄存器中
答案与解析
- 试题难度:一般
- 知识点:
- 试题答案:[[A]]
- 试题解析:
寻址方式是指如何对指令中的地址字段进行解释,以获得操作数的方法或获得程序转移地址的方法。常见的寻址方式有立即寻址、直接寻址、间接寻址、寄存器寻址、寄存器间接寻址、相对寻址和变址寻址等。
在立即寻址方式中,操作数包含在指令中;在直接寻址分式中,操作数存放在内存单元中,指令中直接给出操作数所在存储单元的地址;在寄存器寻址方式中,操作数存放在某一寄存器中,指令中给出存放操作数的寄存器名;在间接寻址方式中,指令中给出了操作数地址的地址;在相对寻址方式中,在指令地址码部分给出一个偏移量(可正可负),操作数地址等于本条指令的地址加上该偏移量;在变址寻址方式中,操作数地址等于变址寄存器的内容加偏移量。
第 7 题
在某次通信中,发送方发送了一个8位的数据(包含一个奇校验位),若传输过程中有差错,则接收方可检测出该8位数据()。
- (A) 奇数个位出错
- (B) 偶数个位出错
- (C) 出错的位置
- (D) 出错的位数
答案与解析
- 试题难度:一般
- 知识点:
- 试题答案:[[A]]
- 试题解析:
奇偶校验是一种简单有效的校验方法。这种方法通过在编码中增加一位校验位来使编码中1的个数为奇数(奇校验)或者为偶数(偶校验),从而使码距变为2。采用奇校验(或偶校验后),可以检测代码中奇数位出错的编码,但不能发现偶数位出错的情况,即当合法编码中奇数位发生了错误(编码中的l变为0或0变为1,则该编码中1的个数的奇偶性就发生了变化,从而可以发现错误。
第 8 题
评价一个计算机系统时,通常主要使用()来衡量系统的可靠性,使用()来衡量系统的效率。
- (A) 平均响应时间
- (B) 平均无故障时间(MTBF)
- (C) 平均修复时间
- (D) 数据处理速率
- (A) 平均无故障时间(MTBF)和平均修复时间(MTTR)
- (B) 平均修复时间(MTTR)和故障率
- (C) 平均无故障时间(MTBF)和吞吐量
- (D) 平均响应时间、吞吐量和作业周转时间等
答案与解析
- 试题难度:容易
- 知识点:
- 试题答案:[[B],[D]]
- 试题解析:
试题(10)的正确答案为B。对计算机系统性能的评价应该是全面的、综合的,在实际应用中常用的性能评价指标包括系统效率、可靠性、可维护性、可用性、可扩充性和可移植性等。在题中的四个备选项中,平均响应时间是指为完成某个功能时系统所需要的平均处理时间,该指标用来衡量系统的效率;平均无故障时间(MTBF)是指系统多次相继失效之间的平均时间,该指标用来衡量系统可靠性;数据处理速率通常用来衡量计算机本身的处理性能;平均变更等待时间(MTTC)是一种对系统可维护性的间接度量方法,这个时间包括分析变更要求、设计合适的修改、实现变更并测试、将变更提交给用户。
试题(11)的正确答案为D。平均无故障时间(MTBF)是指系统多次相继失效之间的平均时间,该指标和故障率用来衡量系统可靠性。平均修复时间(MTTR)是指多次故障发生到系统修复后的平均间隔时间,该指标和修理率主要用来衡量系统的可维护性。平均响应时间是指为完成某个功能,系统所需要的平均处理时间;吞吐量是指单位时间内系统所完成的工作量;作业周转时间是指从作业提交到作业完成所花费的时间,这三项指标通常用来度量系统的效率。
第 9 题
以下文件扩展名中,()不是视频文件格式。
- (A) MPEG
- (B) AVI
- (C) VOC
- (D) RM
答案与解析
- 试题难度:较难
- 知识点:
- 试题答案:[[C]]
- 试题解析:
本题考查的是多媒体中视频文件格式的基本概念。
.MPEG文件格式是运动图像压缩算法的国际标准,它包括MPEG视频、MPEG音频和MPEG系统(视频、音频同步)三个部分。MPEG压缩标准是针对运动图像设计的,其基本方法是,在单位时间内采集并保存第一帧信息,然后只存储其余帧对第一帧发生变化的部分,从而达到压缩的目的。MPEG的平均压缩比为50:1,最高可达200:1,压缩效率非常高,同时图像和声音的质量也非常好,并且在PC上有统一的标准格式,兼容性相当好。
.AVI是Microsoft公司开发的一种符合RIFF文件规范的数字音频与视频文件格式,Windows 95/98、OS/2等多数操作系统直接支持。AVI格式允许视频和音频交错在一起同步播放,支持256色和RLE压缩,但AVI文件并未限定压缩标准。因此,AVI文件格式只是作为控制界面上的标准,不具有兼容性,用不同压缩算法生成的AVI文件,必须使用相同的解压缩算法才能播放出来。AVI文件目前主要应用在多媒体光盘上,用来保存电影、电视等各种影像信息,有时也出现在互联网上,供用户下载、欣赏新影片的片段。
.RM(RealVideo)是Real Networks公司开发的一种新型流式视频文件格式,它包含在Real Networks公司所制定的音频视频压缩规范RealMideo中,主要用来在低速率的广域网中实时传输活动视频影像,可以根据网络数据传输速率的不同而采用不同的压缩比率,从而实现影像数据的实时传输和实时播放。RealVideo除了可以以普通的视频文件形式播放之外,还可以与RealVideo服务器相配合,在数据传输过程中一边下载一边播放视频影像,而不必像大多数视频文件那样,必须先下载然后才能播放。
.VOC是Creative公司推出的波形音频文件,是音频文件的一种格式,也是声霸卡使用的音频文件格式。每个VOC文件由文件头块(header block)和音频数据块(data block)组成。文件头块包含一个标识版本号和一个指向数据块起始的指针。数据块分成各种类型的子块。如声音数据静音标识ASCII码文件重复的结果重复以及终止标志、扩展块等。
第 10 题
用()可将摄影作品、绘画作品输入到计算机中,进而对这些图像信息进行加工处理。
- (A) 扫描仪
- (B) 投影仪
- (C) 彩色喷墨打印机
- (D) 绘图仪
答案与解析
- 试题难度:容易
- 知识点:
- 试题答案:[[A]]
- 试题解析:
本题考查的是多媒体中图像方面的基础知识。
扫描仪是较流行的图像输入设备。扫描仪用于把摄影作品、绘画作品或其他印刷材料上的文字和图像扫描输入到计算机中,进而对这些图像信息进行加工处理、管理、使用、存储和输出。扫描仪的种类很多,常用的有手持式扫描仪、滚筒式扫描仪和平板式扫描仪等。
绘图仪是一种可以绘制工程图纸的图形输出设备。按图号可分为0号、1号、2号和彩色、黑白绘图仪;彩色喷墨打印机是较流行的计算机输出设备,用于将存储在计算机中的摄影作品、绘画作品和文字作品等打印出来;投影仪是一种将计算机输出的视频信号投影到幕布上的设备。
第 11 题
人耳能听得到的音频信号的频率范围是20Hz~20kHz,包括:语音、音乐、其它声音,其中语音频率范围通常为()。
- (A) 小于20Hz
- (B) 300Hz~3400Hz
- (C) 300Hz~20kHz
- (D) 高于20kHz
答案与解析
- 试题难度:一般
- 知识点:
- 试题答案:[[B]]
- 试题解析:
本题考查的是多媒体中音频方面的基础知识。
人耳能听得到的音频信号的频率范围是20Hz~20kHz。可听声包括以下几种。
(1)语音(也称话音):人的说话声,频率范围通常为300 Hz~3400Hz。
(2)音乐:由乐器演奏形成(规范的符号化声音),其频率范围为20Hz~20kHz。
(3)其他声音:如风声、雨声、鸟叫声、汽车鸣笛声等,它们起着效果声或噪声的作用,其频率范围也是20Hz~20kHz。
人们把频率小于20Hz的声波信号称为亚音信号(次音信号);频率范围为20Hz~20kHz的声波信号称为音频信号;高于20kHz的信号称为超音频信号(超声波)。
第 12 题
以下关于DoS攻击的描述中,正确的是()。
- (A) 以传播病毒为目的
- (B) 以窃取受攻击系统上的机密信息为目的
- (C) 以导致受攻击系统无法处理正常用户的请求为目的
- (D) 以扫描受攻击系统上的漏洞为目的
答案与解析
- 试题难度:一般
- 知识点:
- 试题答案:[[C]]
- 试题解析:
DoS拒绝服务攻击在同一时间段内,采用大量的服务请求消息来攻击某服务器,使该服务器无法响应合法用户的正常请求。所以DoS攻击以导致受攻击系统无法处理正常用户的请求为目的。
第 13 题
以下哪项措施不能有效提高系统的病毒防治能力?()
- (A) 安装、升级杀毒软件
- (B) 下载安装系统补丁
- (C) 定期备份数据文件
- (D) 不要轻易打开来历不明的邮件
答案与解析
- 试题难度:容易
- 知识点:
- 试题答案:[[C]]
- 试题解析:
安装、升级杀毒软件可以自动检测计算机中的病毒程序,下载安装系统补丁可以有效地封堵系统漏洞,不轻易打开来历不明的邮件可以有效地预防网络邮件病毒,这三项措施都可以提高系统的病毒防治能力。定期备份数据文件可以有效地保护数据的安全,但无法提高系统的病毒防治能力。
第 14 题
小张在M公司担任程序员,他执行本公司工作任务,独立完成了某应用程序的开发和设计,那么该应用程序的软件著作权应当归属()享有。
- (A) 小张
- (B) M公司
- (C) M公司和小张共同
- (D) 购买此应用程序的用户
答案与解析
- 试题难度:一般
- 知识点:
- 试题答案:[[B]]
- 试题解析:
本题考查的是知识产权方面的基础知识。
小张在M公司任职期间为执行本单位工作任务所开发的计算机软件作品属于职务软件作品。本单位工作任务的含义,一是指该软件系为其本职工作明确指定的目标而开发:二是指该软件的开发系其从事本职工作完成工作任务能够预见或必然的结果;或者主要使用了单位的专用设备、未公开的专门信息等物质和技术条件所开发并由法人或其他组织承担责任的软件。根据《计算机软件保护条例》的规定,可以得出这样的结论,当公民作为某单位的雇员时,如其开发的软件属于执行本职工作的结果,该软件著作权应当归单位享有;所开发的软件如不是执行本职工作的结果,其著作权就不属单位享有;如果该雇员主要使用了单位的设备,按照《计算机软件保护条例》第十三条第三款的规定,不能属于该雇员个人享有。因此试题的正确答案为B。
第 15 题
下列标准代号中,()是我国地方标准的代号。
- (A) GB/T
- (B) DB11
- (C) Q/T11
- (D) DB/T
答案与解析
- 试题难度:较难
- 知识点:
- 试题答案:[[B]]
- 试题解析:
本题考查的是标准化方面的基础知识。
由我国各主管部、委(局)批准发布,在该部门范围内统一使用的标准,称为行业标准。我国行业标准代号由汉字拼音大写字母,再加上斜杠和大写字母T组成推荐性行业标准(如XX/ T)。例如,QB表示轻工行业标准;QJ表示航天行业标准:QX表示气象行业标准;DSIT表示地震行业推荐性标准。
由我国省、自治区和直辖市标准化行政主管部门制定,在本行政区域范围内统一使用的标准,称为地方标准。地方标准代号由大写汉字拼音DB加上省、自治区、直辖市行政区划代码的前两位数字(如北京市11、天津市12、上海市31等),再加上斜线T组成推荐性地方标准,如DBXX/T,不加斜线T为强制性地方标准。例如,DB11表示北京市标准;DB31/T表示上海市推荐性标准;DB42表示湖北省标准。
企业标准的代号由汉字大写拼音字母Q加斜杠再加企业代号组成〔Q/XXX),企业代号可由大写拼音字母或阿拉数字组成,或者两者兼用。
第 16 题
操作数“00000101”与“00000101”执行逻辑()操作后,运算结果“00000000”
- (A) 或
- (B) 与
- (C) 异或
- (D) 与非
答案与解析
- 试题难度:一般
- 知识点:
- 试题答案:[[C]]
- 试题解析:
逻辑代数的三种最基本的运算为“与”、“或”、“非”运算。
“与”运算又称为逻辑乘,其运算符号常用AND、∩、∧或·表示。设A和B为两个逻辑变量,当且仅当A和B的取值都为“真”时,A“与”B的值为“真”;否则A“与”B的值为“假”。操作数“00000101”与“00000101”执行逻辑“与”后的结果为“00000101”。
“或”运算也称为逻辑加,其运算符号常用OR、U、V或+表示。设A和B为两个逻辑变量,当且仅当A和B的取值都为“假”时,A“或”B的值为“假”;否则A“或”B的值为“真”。操作数,“00000101”与“00000101”执行逻辑“或”后的结果为“00000101”。
“非”运算也称为逻辑求反运算,常用A表示对变量A的值求反。其运算规则很简单:“真”的反为“假”,“假”的反为“真”。
“异或”运算又称为半加运算,其运算符号常用XOR或⊕表示。设A和B为两个逻辑变量,当且仅当A、B的值不同时,A“异或”B为真。A“异或”B的运算可由前三种基本运算表示,即
操作数“00000101” 与“00000101” 执行逻辑“异或”后的结果为“00000000”。
“与非”运算指先对两个逻辑量求“与”,然后对结果在求“非”。操作数“00000101”与“00000101”执逻辑“与非”后的结果为“11111010”。
第 17 题
CPU从内存中读取指令时,需要先将程序计数器(PC)的内容输送到() 总线上。
- (A) 数据
- (B) 地址
- (C) 控制
- (D) 接口
答案与解析
- 试题难度:一般
- 知识点:
- 试题答案:[[B]]
- 试题解析:
从内存中读取数据或程序指令时,首先应给出数据或指令在内存中的地址。CPU中的程序计数器(PC)的内容是要执行的指令的地址,因此,需先将程序计数器(PC)的内容输送到地址总线上。
第 18 题
已知X=-73,若采用8位机器码表示,则[X]原=(),[X]补=()。
- (A) 11001001
- (B) 01001001
- (C) 1101l001
- (D) 01011001
- (A) 10110111
- (B) 01001001
- (C) 10100111
- (D) 01011001
答案与解析
- 试题难度:一般
- 知识点:
- 试题答案:[[A],[A]]
- 试题解析:
–7310 = –(64+8+1)= –10010012
根据定义,数值X的原码记为[X]原,如果机器字长为n(即采用n个二进制位表示数据),则最高位是符号位,0表示正号,1表示负号,其余的n-1位表示数值的绝对值。因此,[X]原= 11001001。
数值X的补码记作[X]原,如果机器字长为n,则最高位为符号位,0表示正号,1表示负号,正数的补码与其原码和反码相同,负数的补码则等于其反码的末尾加1。因此,[X]原= 10110111。
第 19 题
在使用Windows系统时,单击Windows窗口右上方的“
” 按钮,可以将窗口();当用户将打开的4个窗口平铺排列时,有()个窗口处于激活状态;当用户选择一个文件图标,执行“剪切”命令后,被“剪切”的文件放在()中。
- (A) 关闭
- (B) 还原
- (C) 最小化
- (D) 最大化
- (A) 1
- (B) 2
- (C) 3
- (D) 4
- (A) 回收站
- (B) 硬盘
- (C) 剪贴板
- (D) 软盘
答案与解析
- 试题难度:一般
- 知识点:
- 试题答案:[[B],[A],[C]]
- 试题解析:
本题考查的是Windows操作系统中的基本知识及应用。
试题(23)正确答案是B。因为在Windows操作系统中,窗口右上方〔标题栏的右侧)的按钮含义如下:
是最小化按钮,单击该按钮可将窗口缩小为任务栏上的图标。
是最大化按钮,单击它可将窗口放大到充满整个屏幕(除任务栏外)。
是关闭按钮,用来关闭窗口,与“文件”菜单中“退出”命令的功能相同。
是还原按钮,可将窗口还原至最大化前的尺寸。
试题(24)正确答案为A。因为在Windows文件系统中,当用户打开多个窗口时,只有一个窗口处于激活状态,并且这个窗口橙盖其他窗口。被激活窗口称为当前窗口,其中的程序处于前台运行状态,其他窗口的程序则在后台运行。桌面底部的“任务栏”中有相应的任务图标与各个窗口对应。其中当前窗口的图标呈亮色显示并“凹陷”在“任务栏”中。要进行窗口的切换时,只要单击“任务栏”中的某个应用程序图标,对应的窗口就被激活,变成当前窗口。在任何时刻,当前窗口都只有一个。
试题(25)正确答案为C。剪贴板是应用程序之间传递信息的媒介,用来临时存放被传递的信息。在应用程序之间传递信息时,从某个应用程序复制或剪切的信息被置于剪贴板上;剪贴板上的信息可以被粘贴到其他的文档或应用程序中,利用剪贴板在文件之间共享信息。传递到剪贴板的信息一直保存到退出Windows操作系统之前,用户可以随时将其内容粘贴到应用程序中并且可以反复使用其内容。当用户向剪贴板传递新的信息时,无论新的信息有多少都可能取代原有的信息,退出Windows操作系统后,剪贴板中的信息会全部消失。
若要在应用程序间传递和交换信息,首先应将要交换的信息存入剪贴板。方法是先选中要传递的信息,然后使用“编辑”菜单中的“剪切”和“复制”命令或使用(Ctrl+X和Ctrl十C组合键,将被选中的信息(文本、图形、图像、表格和文件等)复制到剪贴板,也可以使用Alt+Print Screen组合键或Print Screen键将当前窗口或当前屏幕图像复制到剪贴板中。剪贴板中存入信息之后,在“编辑”菜单中的“粘贴”或“选择性粘贴”命令即被激活,由暗(淡灰)色变为亮(深)色,这时应先选定插入点,然后通过“粘贴” 命令或使用Ctrl+V组合键,即可把剪贴板中的内容复制到指定的位置。如下图所示:
“剪切”、“复制” 和“粘贴”操作也可通过工具栏中的对应按钮
来完成。
第 20 题
用户进程A从“运行”状态转换到“阻塞”状态可能是由于()。
- (A) 该进程执行了V操作
- (B) 某系统进程执行了V操作
- (C) 该进程执行了P操作
- (D) 某系统进程执行了P操作
答案与解析
- 试题难度:一般
- 知识点:
- 试题答案:[[C]]
- 试题解析:
本题考查的是操作系统进程管理中进程调度状态和P/V操作方面的知识。
进程的基本状态有就绪、运行和等待(阻塞)三种。这三者间的转换如下图所示:
运行状态是指一个进程正占用着处理机时的状态,这时,处理机正在执行该进程的程序,运行过程中进程会因时间片已到等非资源请求原因退出运行而转变为就绪态,因资源请求原因而不具备运行条件时,如进程执行了P操作,该进程的状态就要从运行状态转变为阻塞状态。
等待状态是指一个进程由于某种原因不具备运行条件时所处的状态,这时它必须等待,引起等待的条件一旦消失,进程便具备了运行的条件,将状态转变为就绪状态。
就绪状态是指一个进程具备了运行的条件,但由于没有占有处理机而不能运行所处的状态,对于处于就绪状态的进程,若轮到该进程占有处理机的时间片或处理机空闲,其状态就转变为运行状态,投入运行。
第 21 题
作业J1, J2, J3的提交时间和所需运行时间如下表所示。若采用响应比高者优先调度算法,则作业调度次序为() 。

- (A) J1→J2→J3
- (B) J1→J3→J2
- (C) J2→J1→J3
- (D) J2→J3→J1
答案与解析
- 试题难度:一般
- 知识点:
- 试题答案:[[B]]
- 试题解析:
本题考查的是操作系统作业管理中作业调度算法方面的知识。
根据题意有三个作业J1、 J2、J3,它们到达输入井的时间分别为6:00、6:20、6:25,
它们需要执行的时间分别为30分钟、20分钟、6分钟。若采用响应比高者优先算法对它们进行调度,那么,系统在6:00时,因为系统输入井中只有作业J1,因此J1先运行。当作业J1运行完毕时,先计算作业12和J3的响应比,然后令响应比高者运行。
响应比=作业周转时间/作业运行时间
=1+作业等待时间/作业运行时间
作业J2的响应比=1+10/20=1.5
作业J3的响应比=1+5/6=1.83
按照响应比高者优先算法,优先调度J3。
综上分析可知,作业被选中执行的次序应是J1→J3→J2。
第 22 题
C++语言兼容C语言,因此,()。
- (A) C++的关键字与C语言的关键字完全相同
- (B) C++的数据类型与C语言的数据类型完全相同
- (C) C++编译器能编译C语言程序
- (D) C++编译器能把C语言程序翻译成C++程序
答案与解析
- 试题难度:容易
- 知识点:
- 试题答案:[[C]]
- 试题解析:
本题考查程序语言方面的基础知识。
C++语言在C语言的基础上进行了扩充。从语言的语法角度看,C语言的所有结构也是C一的组成部分,同时这些语法结构的语法也得到保持,因此,C++是完全兼容C语言的,那么C++编译器就能正确编译C语言程序。
第 23 题
函数f()、g()的定义如下图所示,调用函数f时传递给形参a 的值为1。若采用传值(call by value )的方式调用g(c),则函数f的返回值为();若采用传引(call by reference)的方式调用g(c),则函数f的返回值为()。

- (A) 7
- (B) 5
- (C) 4
- (D) 3
- (A) 3
- (B) 4
- (C) 5
- (D) 7
答案与解析
- 试题难度:一般
- 知识点:
- 试题答案:[[D],[C]]
- 试题解析:
本题考查参数传递的基本知识。
引用调用和值调用是进行过程(函数)调用时实际参数与形式参数间传递信息的两种基本方式。
在过程(或函数)首部声明的参数称为形式参数,简称形参;过程(或函数)调用时的参数称为实际参数,简称实参。调用语句实现了对过程(或函数)语句的执行,调用时首先要进行实参与形参间的参数传递。简单地说,以值调用方式进行参数传递时,需要先计算出实参的值并将其传递给对应的形参,然后执行所调用的过程(或函数),在过程(或函数)执行时对形参的修改不影响实参的值。而引用调用时首先计算实际参数的地址,并将此地址传递给被调用的过程,然后执行被调用的过程(或函数)。因此在被调用的过程(函数)中,既得到了实参的值又得到了实参的地址。引用调用方式下,被调用过程(函数)执行时针对形式参数的修改将反映在对应的实际参数变量中。
调用函数f()时传递给形参a的值为1,因此局部变量C的初始值为2。在传值调用方式下,执行函数g()不会影响实参c,因此函数f()的返回值为3;在引用调用方式下,执行g()数时,对b的修改等同于对c进行修改,因此在g()中,局部变量x的值为4,参数b的值修改为4,因此函数调用g(c)结束后,c的值为4,函数f()的返回值为5。
第 24 题
结构化程序中的基本结构不包括()。
- (A) 嵌套
- (B) 顺序
- (C) 循环
- (D) 选择
答案与解析
- 试题难度:一般
- 知识点:
- 试题答案:[[A]]
- 试题解析:
本题考查程序中的基本逻辑结构概念。
结构化程序中的基本结构为顺序、循环和选择(分支)。
第 25 题
需编译运行的程序,其()错误在编译时不能发现。
- (A) 逻辑
- (B) 语法
- (C) 括号不匹配
- (D) 关键字拼写
答案与解析
- 试题难度:容易
- 知识点:
- 试题答案:[[A]]
- 试题解析:
本题考查程序代码错误的基本知识。
程序中的错误分为语法错误和语义错误两种。一般情况下,语法是关于程序的样子或结构的规则。语法错误是形式上的错误,这类错误编译器可以检查出来。括号不匹配和关键字拼写错误是关于语言结构的错误,是两种常见的语法错误。语义错误是程序含义〔功能)上的错误,可分为静态语义错误和动态语义错误。静态语义错误编译器可以检查出来。动态语义反映程序的逻辑,这种错误发生在程序运行期间,常见的逻辑错误有0作为除数、死循环和无穷递归等,编译时检查不出这类错误。
第 26 题
程序员一般用()软件编写和修改程序。
- (A) 预处理
- (B) 文本编辑
- (C) 链接
- (D) 编译
答案与解析
- 试题难度:一般
- 知识点:
- 试题答案:[[B]]
- 试题解析:
预处理、链接和编译等属于语言处理程序,这些程序主要从语法和语义角度分析、处理源程序代码。
编译软件用于将源语言程序翻译为目标程序,源语言是高级语言,而目标语言与实际计算机的机器语言相近,可以是汇编语言或是机器语言。
链接软件用于将多个目标程序链接为可执行程序。
预处理软件的源语言是某种高级语言,其目标语言是同一种语言的标准形式。例如,C编译器包括的预处理器用于将C的宏展开为标准的C语句。
程序员编写的源程序是文本文件,可以使用文本编辑编写和修改程序。目前各种语言程序的集成开发环境中同时包含了预处理、编辑、编译和链接等软件模块。
第 27 题
()语言可以编写Applet并通过Script程序调用执行。
- (A) FORTRAN
- (B) C++或C
- (C) HTML
- (D) JAVA
答案与解析
- 试题难度:一般
- 知识点:
- 试题答案:[[D]]
- 试题解析:
FORTRAN语言主要用于科学计算领域。超文本标记语言HTML是一种过程标记语言,它定义了一个标记的几何以及与之相关的格式化规则。C或C++语言是通用程序设计语言,C语言常用于系统程序设计领域。Java是一种通用的、面向对象的程序设计语言,尤其适用于网络程序设计。
在网络中,服务器和客户端之间一般传输两种对象:被动的信息与主动和动态的程序。现在也可将自我执行的动态程序传到客户端,这种程序在客户端将是活动的代理程序,由服务器启动。用Java编写的Applet代码的半编译版本可以在Internet上传输并由浏览器执行。
第 28 题
在链表结构中,采用()可以用最少的空间代价和最高的时间效率实现队列结构。
- (A) 仅设置尾指针的单向循环链表
- (B) 仅设置头指针的单向循环链表
- (C) 仅设置尾指针的双向链表
- (D) 仅设置头指针的双向链表
答案与解析
- 试题难度:一般
- 知识点:
- 试题答案:[[A]]
- 试题解析:
本题考查基本数据结构和存储结构知识。
采用链表作为存储结构时,从节省空间的角度和需要实现的运算角度考虑(不需要从两个方向遍历元素),应使用单链表,如下图所示。
基本队列定义为元素从一端进从另一端出,以保证先进入的元素先出来。若以最高的时间效率实现元素入、出队列,就应该在链表两端设置指针,使入队和出队操作最简单。从下图可以看出,若仅设置头指针(指向链表的第一个结点),删除元素时比较简单(修改第一个结点的指针域的指向),而插入元素时就需要遍历整个链表以获得尾指针。若仅设置尾指针(指向链表的最后一个结点),则可直接获得头指针(取尾结点指针域的值)以实现删除操作,插入元素时则修改两个指针域(尾结点指针域和新插入结点的指针域)。
第 29 题
若需将一个栈S中的元素逆置,则以下处理方式中正确的是()。
- (A) 将栈S中元素依次出栈并入栈T,然后栈T中元素依次出栈并进入栈S
- (B) 将栈S中元素依次出栈并入队,然后使该队列元素依次出队并进入栈S
- (C) 直接交换栈顶元素和栈底元素
- (D) 直接交换栈顶指针和栈底指针
答案与解析
- 试题难度:一般
- 知识点:
- 试题答案:[[B]]
- 试题解析:
本题考查栈和队列的基本运算。
栈的运算特点是先入后出。栈的操作一般为初始化栈、元素入栈、元素出栈、判断栈是否为空、取栈顶元索的副本等,对栈中元素的操作应采用栈结构提供的操作接口实现。
对于选项A,将栈S中元素依次出栈并入栈T后,栈T中元素的排列正好是原栈S中元素的逆序,再将栈T中元素依次出栈并进入栈S,则栈S中的元素以原次序放置,不能实现栈S中元素逆置的要求。
对于选项 B将栈S中元素依次出栈并入队后,队头元素为原栈S的栈顶元素,队尾元素尾原栈S的栈底元素。队列的操作特点是先入先出,因此使该队列元素依次出队并进入栈S后,队头元素就进入栈底,队尾元素称为栈顶,因此可实现将栈S中元素逆置的效果。
对于选项C,直接交换栈顶元素与栈底元素既不符合栈结构的操作要求,也达不到逆置栈中元素的要求。
对于选项D,直接交换栈顶指针和栈底指针不符合栈结构的操作要求。
第 30 题
已知N个数已存入数组A[1…M]的前N个元素中(N<M),为在A[i](1≤i≤N)之前插入一个新数,应先(),以挪出一个空闲位置插入该数。
- (A) 从A[i]开始直到A[l],每个数向后移动一个位置
- (B) 从A[1]开始直到A[i],每个数向后移动一个位置
- (C) 从A[i]开始直到A[N],每个数向前移动一个位置
- (D) 从A[N]开始直到A[i],每个数间后移动一个位置
答案与解析
- 试题难度:一般
- 知识点:
- 试题答案:[[D]]
- 试题解析:
本题考查用顺序方式存储线性表元素的插入运算特点。数组A[1..M]元素的布局如下图所示。

对于选项A,从A[i]开始直到A[1]的每个数向后移动一个位置,会将A[i+1]原来的值覆盖,挪出的空闲位置为A[1],显然不符合新元素插入在A[i]之前(即A[i-1]之后)的要求。
对于选项B,从A[1]开始直到A[i]的每个数向后移动一个位置,使A[2]的值被改为与A[1]相同,使A[3]的值被改为与A[2]相同,依此类推,A[i]的值等于A[i-1],即完成该操作后,元素A[1]到A[i]的值都相同(等于A[1])。
对于选项C,从A[i]开始直到A闪的每个数向前移动一个位置,使A[i-1]的值被改为A[i]的值,A[i]的值被改为A[i+1]的值,依此类推,A[N-1]的值为A[N]的值,相当于挪出来的空闲位置为A[N],显然不符合新元素插入在A[i]之前的要求。
对于选项D,从A[N]开始直到A[i]的每个数向后移动一个位置,使A[N]的值移入A[N+1], A[N-1]的值移入A[N],依此类推,A[i]的值移入A[i+1],这样挪出来的空闲位置为A[i],完成了将新元素插入在A[i-1]之后(即A[i]之前)的操作要求。
第 31 题
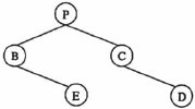
若某二叉树的先序遍历序列和中序遍历序列分别为PBECD、BEPCD,则该二叉树的后序遍历序列为()。
- (A) PBCDE
- (B) DECBP
- (C) EBDCP
- (D) EBPDC
答案与解析
- 试题难度:一般
- 知识点:
- 试题答案:[[C]]
- 试题解析:
本题考查二叉树的遍历运算特点。
先序遍历二叉树时,先访问根结点,然后先序遍历根的左子树,最后先序遍历根的右子树。因此,二叉树的先序遍历序列中第一个结点是树的根结点。
中序遍历二叉树时,首先中序遍历根结点的左子树,然后访问根结点,最后中序遍历根的右子树。因此,若已知二叉树的根结点,则依据中序遍历序列可将根的左、右子树结点区分开。
综上,首先根据先序序列确定根结点,然后依据中序遍历序列划分左、右子树,反复使用该规则,即可将每个结点的位置确定下来。
对于本题,首先从先序遍历序列PBECD可知,P为树根,再由中序序列得知,B、E为左子树上的结点,C、D为右子树上的结点。如下所示。
对P的左子树进行先序遍历的序列为BE,即B是P的左子树的根结点,在以P为根的左子树中序序列中,E在B之后,所以E应在B的右子树上。依此类推,可知P的右子树的树根为C,D为C的右子树上的结点。因此,得到的二叉树如下所示,对该二叉树进行后序遍历得到序列EBDCP。

第 32 题
无向图的邻接矩阵一定是()。
- (A) 对角矩阵
- (B) 稀疏矩阵
- (C) 三角矩阵
- (D) 对称矩阵
答案与解析
- 试题难度:一般
- 知识点:
- 试题答案:[[D]]
- 试题解析:
本题考查图的存储结构基本知识。
图的邻接矩阵表示法是利用一个矩阵来表示图中顶点之间的关系。对于具有n个顶点的图G=(V,E)来说,其邻接矩阵是一个n阶方阵,且满足
某有向图和无向图的邻接矩阵如下图所示。

显然,在无向图中,若存在边(Vi, Vj),则一定存在边〔Vj,Vi),因此,无向图的邻接矩阵一定是对称矩阵。
第 33 题
对具有n个元素的有序序列进行二分查找时,()。
- (A) 查找元素所需的比较次数与元素的位置无关
- (B) 查找序列中任何一个元素所需要的比较次数不超过[log2(n+1)]
- (C) 元素位置越靠近序列后端,查找该元素所需的比较次数越少
- (D) 元素位置越靠近序列前端,查找该元素所需的比较次数越少
答案与解析
- 试题难度:一般
- 知识点:
- 试题答案:[[B]]
- 试题解析:
本题考查查找方法中的二分方法。
二分查找过程是:以处于中间位置记录的关键字和给定值比较,若相等,则查找成功:若不等,则缩小范围,直至新的区间中间位置记录的关键字等于给定值或查找区间的大小为零时(表明查找不成功)为止。对于有11个元素的有序表进行二分查找的过程可用一个二叉树表示,如下所示(结点中的数字表示元素在序列中的序号):
该二叉树表明,若需要查找序列中的第6个元素,则仅需一次元素间的比较。若需查找第3个或第9个元素,则分别需要两次比较。依此类推,查找第1、 4、7、10个元素时,分别需要三次比较,查找第2、5、8、11个元素时,分别需要四次比较。因此,查找元素所需的比较次数与元素在序列中的位置是有关的。显然,选项C或D的说法也是错误的。
若序列中有n个元素,则根据二分查找法构造的二叉树的高度不会超过[log2(n+l)],因此选项B是正确的。
第 34 题
在公有继承的情况下,基类的成员在派生类中的访问权限为()。
- (A) 公有
- (B) 私有
- (C) 保持不变
- (D) 受保护
答案与解析
- 试题难度:较难
- 知识点:
- 试题答案:[[C]]
- 试题解析:
派生类会继承基类的成员函数和成员变量,在公有继承的情况下,派生类不改变基类成员得访问权限。
第 35 题
面向对象程序设计中,采用()机制实现共享类中的方法和数据。
- (A) 公用调用
- (B) 封装
- (C) 动态绑定
- (D) 继承
答案与解析
- 试题难度:一般
- 知识点:
- 试题答案:[[D]]
- 试题解析:
继承机制能够实现派生类复用基类中的成员变量和成员方法。
第 36 题
采用面向对象技术开发的应用系统的特点是()。
- (A) 重用性更强
- (B) 运行速度更快
- (C) 占用存储量小
- (D) 维护更复杂
答案与解析
- 试题难度:容易
- 知识点:
- 试题答案:[[A]]
- 试题解析:
面向对象技术强调封装与复用,封装实现了信息隐藏,使被封装的模块减少与外界的耦合度,更加容易被重用,面向对象的继承机制也提供了复用手段。
第 37 题
不能作为类成员的是()。
- (A) 自身类对象
- (B) 自身类对象的引用
- (C) 自身类对象的指针
- (D) 另一个类的对象
答案与解析
- 试题难度:较难
- 知识点:
- 试题答案:[[A]]
- 试题解析:
类的成员可以是另外一个类的对象,面向对象中的组合就是采用组合另外一个类的对象来复用其功能。类的成员可以存储自身类对象的指针和引用,在构建一棵对象树的时候通常采用指针或引用来实现。如果一个类的成员是自身类对象,会形成嵌套定义。
第 38 题
面向对象程序设计语言提供的()机制可以实现发送一个通用的消息而调用不同类的方法。
- (A) 函数调用
- (B) 多态
- (C) 封装
- (D) 继承
答案与解析
- 试题难度:一般
- 知识点:
- 试题答案:[[B]]
- 试题解析:
函数调用的基本目的是实现模块化。封装实现的是信息隐藏,继承则实现复用,多态则是在调用时才决定选择哪一个具体的实现。
第 39 题
常见的软件开发模型有瀑布模型、演化模型、螺旋模型、喷泉模型等。其中,()适用于需求明确或很少变更的项目,()主要用来描述面向对象的软件开发过程。
- (A) 瀑布模型
- (B) 演化模型
- (C) 螺旋模型
- (D) 喷泉模型
- (A) 瀑布模型
- (B) 演化模型
- (C) 螺旋模型
- (D) 喷泉模型
答案与解析
- 试题难度:一般
- 知识点:
- 试题答案:[[A],[D]]
- 试题解析:
瀑布模型给出了软件生存周期中制定开发计划、需求分析、软件设计、编码、测试和维护等阶段以及各阶段的固定顺序,前一阶段完成后才能进入到下一阶段,整个过程如同瀑布流水。该模型为软件的开发和维护提供了一种有效的管理模式,但在大量的实践中暴露出其缺点,其中最为突出的是缺乏灵活性,特别是无法解决软件需求不明确或不准确的问题。这些问题有可能造成开发出的软件并不是用户真正需要的,并且这一点只有在开发过程完成后才能发现。所以瀑布模型适用于需求明确,且很少发生较大变化的项目。
为了克服瀑布模型的上述缺点,演化模型允许在获取了一组基本需求后,通过快速分析构造出软件的一个初始可运行版本(称作原型),然后根据用户在使用原型的过程中提出的意见对原型进行改进,从而获得原型的新版本。这一过程重复进行,直到得到令用户满意的软件。该模型和螺旋模型、喷泉模型等适用于对软件需求缺乏明确认识的项目。
螺旋模型将瀑布模型和演化模型进行结合,在保持二者优点的同时,增加了风险分析,从而弥补了二者的不足。该模型沿着螺线旋转,并通过笛卡尔坐标的四个象限分别表示四个方面的活动:制定计划、风险分析、实施工程和客户评估。螺旋模型为项目管理人员及时调整管理决策提供了方便,进而可降低开发风险。
喷泉模型是以面向对象的软件开发方法为基础,以用户需求为动力,以对象来驱动的模型。该模型主要用于描述面向对象的开发过程,体现了面向对象开发过程的迭代和无间隙特性。迭代指模型中的活动通常需要重复多次,相关功能在每次迭代中被加入新的系统。无间隙指在各开发活动(如分析、设计和编码)之间没有明显边界。
第 40 题
软件开发过程中,常采用甘特(Gantt)图描述进度安排。甘特图以()。
- (A) 时间为横坐标、任务为纵坐标
- (B) 时间为横坐标、人员为纵坐标
- (C) 任务为横坐标、人员为纵坐标
- (D) 人数为横坐标、时间为纵坐标
答案与解析
- 试题难度:一般
- 知识点:
- 试题答案:[[A]]
- 试题解析:
为了表现软件开发过程中各项任务之间进度的相互依赖关系,采用图示的方法比使用语言叙述更清楚。常用的图示方法如甘特图、计划评审技术和关键路径法等。其中甘特图用水平线段表示任务的工作阶段,线段的起点和终点分别对应任务的开工时间和完成时间,线段的长度表示完成任务所需要的时间。所以甘特图的横坐标表示时间,而纵坐标表示任务。
第 41 题
某软件在应用初期,运行在Windows NT环境中。现因某种原因,该软件需要在UNIX环境中运行,而且必须完成相同的功能。为适应这个要求,软件本身需要进行修改,而所需修改的工作量取决于该软件的()。
- (A) 可扩充性
- (B) 可靠性
- (C) 复用性
- (D) 可移植性
答案与解析
- 试题难度:一般
- 知识点:
- 试题答案:[[D]]
- 试题解析:
软件的可扩充性指软件的体系结构、数据设计和过程设计的可扩充程度,可扩充性影响着软件的灵活性和可移植性。软件可靠性指软件按照设计要求,在规定时间和条件下不出故障,可持续运行的程度,可靠性取决于软件的一致性、安全性、容错性和准确性等。软件复用性指软件或软件的部件能被再次用于其他应用中的程度,软件复用性取决于其模块独立性、通用性和数据共享性等。软件可移植性指将软件系统从一个计算机系统或环境移植到另一种计算机系统或环境中运行时所需工作量的大小,可移植性取决于系统中硬件设备的特征、软件系统的特点、开发环境、系统分析和设计中关于通用性、软件独立性、可扩充性等方面的考虑。
第 42 题
软件的易使用性反映了用户学习、使用该软件以及为程序准备输入和解释输出所需的工作量。按照ISO/IEC 9126软件质量度量模型定义,一个软件的易使用性不包括()。
- (A) 易理解性
- (B) 易操作性
- (C) 易改变性
- (D) 易学性
答案与解析
- 试题难度:容易
- 知识点:
- 试题答案:[[C]]
- 试题解析:
目前已有多种关于软件质量的度量模型,它们都是把软件质量特性定义为分层模型,其中最基本的称做基本质量特性(简称质量特性),每个质量特性包括多项质量子特性。在最初的ISO模型中,包括8个基本特性。而1991年发布的ISO/IEC 9126模型中,基本特性降为6个:功能性、可靠性、易使用性、效率、可维护性和可移植性。其中易使用性包括三个子特性,即易理解性、易学性和易操作性。
第 43 题
在了解程序内部结构和流程后,通常采用()验证程序内部逻辑是否符合设计要求,此时可使用()技术设计测试案例。
- (A) 黑盒技术
- (B) 白盒测试
- (C) 等价类划分
- (D) 边界值分析
- (A) 等价类划分
- (B) 边界值分析
- (C) 因果图
- (D) 逻辑覆盖
答案与解析
- 试题难度:一般
- 知识点:
- 试题答案:[[B],[D]]
- 试题解析:
常用的软件测试方法包括黑盒测试和白盒测试,其中黑盒测试适用于仅了解程序已被设计要完成的规定功能,而不了解其内部实现细节的情况。白盒测试适用于已知程序的内部工作原理和流程的情况,可采用逻辑覆盖法、基本路径测试等技术设计测试用例。
第 44 题
软件测试中的α测试由用户在软件开发者指导下完成,这种测试属于()阶段的测试活动。
- (A) 单元测试
- (B) 集成测试
- (C) 系统测试
- (D) 确认测试
答案与解析
- 试题难度:一般
- 知识点:
- 试题答案:[[D]]
- 试题解析:
软件测试通常分为单元测试、集成测试、确认测试和系统测试等几个阶段,与软件开发过程密切配合。其中确认测试是指通过一系列黑盒测试案例来证明软件的功能和需求是一致的。确认测试需要用户参与,若该软件要提供给很多用户使用,则让每一位用户都参与测试是不现实的,所以很多软件都使用α测试、β测试等形式以发现那些目前仍未发现的错误。所以这两种形式的测试都属于确认测试阶段的活动。
第 45 题
在数据库设计中,当合并局部E-R图时,“职工”在某一局部应用中被当作实体,而在另一局部应用中被当作属性,这种冲突被称为()冲突。
- (A) 属性
- (B) 命名
- (C) 结构
- (D) 联系
答案与解析
- 试题难度:一般
- 知识点:
- 试题答案:[[C]]
- 试题解析:
在局部E-R模式的合并过程中,会产生如下三种冲突。
(1)属性冲突:分为属性域的冲突(如属性值的类型、取值范围、取值集合)和属性值单位(如人的身高有时用米来表示,有时用公分来表示)的冲突。
(2)命名冲突:分为同名异义或异名同义。
(3)结构冲突:同一对象在不同应用中具有不同的抽象,例如,教师在有的应用中是属性,在有的应用中则为实体;同一对象在不同的E-R图中所包含的属性个数和属性排列的顺序不同。
本试题“职工”在某一局部应用中被当作实体,而在另一局部应用中被当作属性,这种冲突被称为结构冲突。
第 46 题
商品关系P(商品名,条形码,产地,价格)中的()属性可以作为该关系的主键。查询由“北京”生产的185升电冰箱的SQL语句应该是:
SELECT商品名,产地
FROM P
WHERE产地=‘北京’AND();
将价格小于50的商品上调5%的SQL语句应该是:
UPDATE P
()
WHERE价格<50;
- (A) 商品名
- (B) 条形码
- (C) 产地
- (D) 价格
- (A) 条形码=185升电冰箱
- (B) 条形码=‘185升电冰箱’
- (C) 商品名=185升电冰箱
- (D) 商品名=‘185升电冰箱’
- (A) SET价格=‘价格*1.05’
- (B) SET价格=价格*1.05
- (C) Modify价格=‘价格*1.05’
- (D) Modify价格=价格*1.05
答案与解析
- 试题难度:一般
- 知识点:
- 试题答案:[[B],[D],[B]]
- 试题解析:
试题(55)的正确答案是B。因为,条形码是由宽度不同、反射率不同的长形条和空并按照一定的编码规则(码制)编制而成的,用以表达一组数字或字母符号信息的图形标识符。利用条形码可以标出商品的生产国、制造厂家、商品名称、生产日期、图书分类号、邮件起止地点、类别和日期等信息,所以,条形码在商品流通、图书管理、邮电管理和银行系统等许多领域都得到了广泛的应用。显然,本题商品关系P(商品名,条形码,产地,价格)中的条形码属性可以作为该关系的主键。
查询由“北京”生产的185L电冰箱的SQL语句应该是:
SELECT商品名,产地
FROM P
WHERE产地=‘北京’ AND 商品名=‘185L电冰箱’ ;
将价格小于50的商品上调5%的SQL语句应该是:
UPDATE P
SET价格=价格*1.05
WHERE价格<50;
第 47 题
信贷额度关系credit-in(C_name,limit,Credit_balance)中的三个属性分别表示用户姓名、信贷额度和到目前为止的花费。下表为关系credit-in的一个具体实例。若要查询每个用户还能花费多少,相应的SQL语句应为:Select()From credit-in。

- (A) C_name,Credit_balance-limit
- (B) C_name,limit-Credit_balance
- (C) C_name,limit,Credit_balance
- (D) C_name,Credit_balance
答案与解析
- 试题难度:一般
- 知识点:
- 试题答案:[[B]]
- 试题解析:
若要查询每个用户还能花费多少,需要给出每个用户的名字和花费,而花费应为limit-Credit_balance,因此,正确地SQL语句应为:
Select C_ name, limit-Credit_balance From credit-in
第 48 题
已知n为一正整数,在下面的循环语句中,循环体的重复次数约为() 。
s = 0; i = 1;
while(i<n)
{i= i*2; s = s + i;}
- (A) n-1
- (B) n/2
- (C) (n-1)2
- (D) 1og2n
答案与解析
- 试题难度:一般
- 知识点:
- 试题答案:[[D]]
- 试题解析:
本题考查程序中的循环结构。
从题中的代码可知,由变量i的变化控制着循环次数,i的值依次为1,2, 4, 8,…,直到i的值大于等于n时为止(即2k≥n场,其中k为循环次数)。因此,当k≥log2n时终止循环。
第 49 题
()是算法的一种图形化表示。
- (A) 拓扑结构图
- (B) 流程图
- (C) 伪代码
- (D) 数据流图
答案与解析
- 试题难度:一般
- 知识点:
- 试题答案:[[B]]
- 试题解析:
本题考查算法的表示方法。伪代码是算法的一种表示方式,但不是图形化方法。拓扑结构图常用于表示网络中结点之间的连接方式。数据流图简称为DFD,是SA(结构化分析)方法中用于表示系统逻辑模型的一种工具,它以图形的方式描绘数据在系统中流动和处理的过程。流程图是算法的一种图形化表示。
第 50 题
在TCP/IP体系结构中,()协议实现IP地址到MAC地址的转化。
- (A) ARP
- (B) RARP
- (C) ICMP
- (D) TCP
答案与解析
- 试题难度:一般
- 知识点:
- 试题答案:[[A]]
- 试题解析:
在TCP/IP体系结构中,ARP协议数据单元封装在以太网的数据帧中进行传输,实现IP地址到MAC地址的转换,如下图所示。

第 51 题
电子政务的应用模式有3种,其中不包括()。
- (A) G2G
- (B) B2B
- (C) G2B
- (D) G2C
答案与解析
- 试题难度:一般
- 知识点:
- 试题答案:[[B]]
- 试题解析:
电子政务的应用模式有三种:G to G—政府部门对政府部门(Government to Government); G to B—政府对商业企业(Government to Business) ;G to C—政府对公民(Government to Citizen)。
第 52 题
Telnet提供的服务是()。
- (A) 远程登录
- (B) 电子邮件
- (C) 域名解析
- (D) 寻找路由
答案与解析
- 试题难度:一般
- 知识点:
- 试题答案:[[A]]
- 试题解析:
Telnet协议提供远程登录服务,它允许本地用户登录到远程主机,将本地用户的输入内容传送到远程主机进行处理。Telnet程序是一种客户端/服务器程序,它在本地系统中生成Telnet应用,并和远程主机上运行的Telnet进程建立TCP连接。本地用户在键盘上发出的请求被送入本地主机上的Telnet客户端程序,然后通过Telnet协议将这个请求传送给远程主机上的Telnet服务器,这样本地用户就直接与远程主机相连了,从本地主机上就可以运行远程主机上的程序。大多数进程是在远程主机上运行的,它从用户的系统接收请求,并在它的工作空间内进行处理,从而减少了网络链路上的通信量。
第 53 题
网络中某些用户只能接收但不能发送Email,此时管理员应检查()。
- (A) Email服务器是否与网络连通
- (B) 连接客户端与Email服务器之间的路由器端口的访问控制列表是否进行了deny SMTP设置
- (C) 连接客户端与Email服务器之间的路由器端口的访问控制列表是否进行了deny any设置
- (D) 连接客户端与Email服务器之间的路由器端口的访问控制列表是否进行了deny pop3设置
答案与解析
- 试题难度:一般
- 知识点:
- 试题答案:[[B]]
- 试题解析:
SMTP,称为简单Mail传输协议(Simple Mail Transfer Protocal),目标是向用户提供高效、可靠的邮件传输。SMTP的一个重要特点是它能够在传输过程中接力传送邮件,即邮件可以通过不同网络中的主机接力式传送。其工作方式有两种:一是电子邮件从客户端传送到服务器;二是从某一个服务器传送到另一个服务器。SMTP是个请求/响应协议,它监听25号端口,用于接收用户的Mail请求,并与远端Mail服务器建立SMTP连接。
POP3是邮件邮局协议(Post Office Protocal)的缩写,是大多数邮件收发程序使用的协议。用户接收邮件时,一般都使用该协议,通过Outlook、 Foxmail等邮件程序直接访问用户的电子邮件。每一个POP3账号都有自已的密码。
由于网络中某些用户只能接收但不能发送E-mail,表明POP3服务器工作正常,因此应检查连接客户端与E-mail服务器之间的路由器端口的访问控制列表是否进行了deny SMTP设置。
第 54 题
Web服务器www.abc. edu的域名记录存储在IP地址为213.210.112.34的域名服务器中。某主机的TCP/IP属性配置如下图所示,该主机要访问www.abc. edu站点,则首先查询IP地址为()的域名服务器。

- (A) 210.112.66.78
- (B) 210.112.66.88
- (C) 213.210.112.34
- (D) 200.210.153.15
答案与解析
- 试题难度:一般
- 知识点:
- 试题答案:[[A]]
- 试题解析:
主机设置了首选DNS服务器IP地址为210.112.66.78,因此不论访问哪个Web站点,
都应首先查询IP地址为210.112.66.78的域名服务器。
第 55 题
():An error can be caused by attempting to divide by 0.
- (A) Interrupt
- (B) Default
- (C) Underflow
- (D) Overflow
答案与解析
- 试题难度:较难
- 知识点:
- 试题答案:[[D]]
- 试题解析:
溢出: 企图用0除时会产生的一种错误。
第 56 题
():The process of identifying and correcting errors in a program.
- (A) Debug
- (B) Bug
- (C) Fault
- (D) Default
答案与解析
- 试题难度:一般
- 知识点:
- 试题答案:[[A]]
- 试题解析:
调试:找出并纠正程序错误的过程。
第 57 题
():A collection of related information,organized for easy retrieval.
- (A) Data
- (B) Database
- (C) Butter
- (D) Stack
答案与解析
- 试题难度:一般
- 知识点:
- 试题答案:[[B]]
- 试题解析:
数据库:相关信息的集合,组织起来使其易于检索。
第 58 题
():A location where data can be temporarily stored.
- (A) Area
- (B) Disk
- (C) Buffer
- (D) File
答案与解析
- 试题难度:一般
- 知识点:
- 试题答案:[[C]]
- 试题解析:
缓冲区:临时存放数据之处。
第 59 题
():A graphical bar with buttons that perform some of the most common commands.
- (A) Title bar
- (B) Tool bar
- (C) Status bar
- (D) Scroll bar
答案与解析
- 试题难度:一般
- 知识点:
- 试题答案:[[B]]
- 试题解析:
工具栏:由按钮组成的图形化条,这些按钮可以执行大部分常用操作。
第 60 题
Every valid character in a computer that uses even()must always have an even number or 1 bits.
- (A) parity
- (B) check
- (C) test
- (D) compare
答案与解析
- 试题难度:较难
- 知识点:
- 试题答案:[[A]]
- 试题解析:
计算机中采用偶校验的每个字符一定含有偶数个l。
第 61 题
The maximum number of data that can be expressed by 8 bits is().
- (A) 64
- (B) 128
- (C) 255
- (D) 256
答案与解析
- 试题难度:较难
- 知识点:
- 试题答案:[[C]]
- 试题解析:
8位能表示的最大数是255。
第 62 题
Integration ()is the process of verifying that the components of a system work together as described in the program design and system design specifications.
- (A) trying
- (B) checking
- (C) testing
- (D) coding
答案与解析
- 试题难度:一般
- 知识点:
- 试题答案:[[C]]
- 试题解析:
集成测试就是验证系统各个组成部分能否按程序设计和系统设计规格说明书所描述的方式一起工作的过程。
第 63 题
GIF files are limited to a maximum of 8 bits/pixel,it simply means that no more than 256 colors are allowed in ().
- (A) an image
- (B) a file
- (C) a window
- (D) a page
答案与解析
- 试题难度:一般
- 知识点:
- 试题答案:[[A]]
- 试题解析:
GIF格式的文件规定每个像素最多8位,这就意味着GIF图像不能超过256色。
第 64 题
Computer ()is a complex consisting of two or more connected computing units, it is used for the purpose of data communication and resource sharing.
- (A) storage
- (B) device
- (C) network
- (D) processor
答案与解析
- 试题难度:一般
- 知识点:
- 试题答案:[[C]]
- 试题解析:
计算机网络是由两个或两个以上的计算装置组成的复合体,旨在用于数据通信和资源共享。



