201511程序员上午真题
第 1 题
- (A) Kingsoft Office
- (B) Internet Explore
- (C) Microsoft Office
- (D) Apache OpenOffice
答案与解析
- 试题难度:容易
- 知识点:MS Office办公软件>word
- 试题答案:[['B']]
- 试题解析:本题的正确选项为B。办公软件套件通常应包括字处理、表格处理、演示文稿和数 据库等软件。选项 A "Kingsoft Office" 是金山公司开发办公软件套件。选项 B "Internet Explorer" 是网页浏览软件,该软件不属于办公软件套件。选项 C "Microsoft Office" 是 Microsoft 公司开发的 Office 2007 办公软件套件。选项1)" Apache OpenOffice"是 Apache 公司开发的优秀的办公软件套件,能在 Windows 、Linux、MacOS X (X11)和 Solaris 等操作系统平台上运行。
第 2 题
在 Word 2007的编辑状态下,需要设置表格中某些行列的高度和宽度时,可以先选择这些行列,再选择 ( ),然后进行相关参数的设置。
- (A) "设计"功能选项卡中的"行和列"功能组
- (B) "设计"功能选项卡中的"单元格大小"功能组
- (C) "布局"功能选项卡中的"行和列"功能组
- (D) "布局"功能选项卡中的"单元格大小"功能组
答案与解析
- 试题难度:一般
- 知识点:MS Office办公软件>word
- 试题答案:[['D']]
- 试题解析:
本题考查 Word 基本操作。在 Word 2007的编辑状态下,利用“布局”功能选项卡中的“单元格大小”功能组区可以设置表格单元格的高度和宽度。
第 3 题
在 Excel 工作表中,若用户在 A1 单元格中输入=IF("优秀"<>"及格", 1,2),按回车键 后,则 A1 单元格中的值为( )。
- (A) TRUE
- (B) FALSE
- (C) 1
- (D) 2
答案与解析
- 试题难度:一般
- 知识点:MS Office办公软件>excel
- 试题答案:[[C]]
- 试题解析:本题考查 Excel 基础知识。
试题(3)正确的答案为选项 C。因为IF0函数是条件判断函数,格式为 IF(条件表 达式,值1,值 2) ,其功能是执行真假判断,并根据逻辑测试的真假值返回不同的结果。 若为真,则结果为值1;否则结果为值 2。显然,公式="IF("优秀"<>"及格", 1,2)" 中, 字符串"优秀"不等于字符串"及格",所以输出结果为 1。
第 4 题
假设 Excel 工作表的部分信息如下所示,如果用户在 A3 单元格中输入=SUM(MAX (A1 :D1),MIN(A2:D2)) ,则 A3单元格中的值为( )。

- (A) 27
- (B) 39
- (C) 40
- (D) 49
答案与解析
- 试题难度:容易
- 知识点:MS Office办公软件>excel
- 试题答案:[[B]]
- 试题解析:本题考查 Excel 基础知识。
SUM 函数是求和, MAX 函数是求最大值, MIN 函数是求最小值,所以=SUM(MAX(A1:D1) ,MIN(A2:D2)的含义是求单元格区域 A1:D1 中的最大值 28 和单元格 区域A2:D2中的最小值 11 之和,结果应为39。
第 5 题
政府机构、商业组织和教育机构的顶级域名分别用 ( )表示。
- (A) gov、edu 和 com
- (B) com、gov 和 edu
- (C) gov、com 和 edu
- (D) edu、com 和 gov
答案与解析
- 试题难度:容易
- 知识点:网络基础知识>URL组成
- 试题答案:[[C]]
- 试题解析:政府机构的顶级域名通常用 gov 表示,商业组织的顶级域名通常用 com 表示,教育 机构的顶级域名通常用 edu 表示。
第 6 题
计算机刚加电时,( )的内容不是随机的。
- (A) E2PROM
- (B) RAM
- (C) 通用寄存器
- (D) 数据寄存器
答案与解析
- 试题难度:一般
- 知识点:计算机系统基础知识>存储系统——内存分类
- 试题答案:[['A']]
- 试题解析:
本题考查计算机系统存储器基础知识。
E2PROM是电可擦可编程只读存储器的简称,其内容需提前设置好,可通过高于普通电压的作用来擦除和重编程(重写)。
E2PROM一般用于即插即用(Plug & Play)设备,也常用在接口卡中,用来存放硬件设置数据,以及用在防止软件非法拷贝的“硬件锁”上面。
RAM(随机存储器)是与CPU直接交换数据的内部存储器,也是主存(内存)的主要部分。在工作状态下RAM可以随时读写,而且速度很快,计算机刚加电时,其内容是随机的。
通用寄存器是CPU中的寄存器,一般用于传送和暂存数据,也可参与算术逻辑运算,并保存运算结果。
数据寄存器是通用寄存器的一种,或者是作为CPU与内存之间的接口,用于暂存数据。
第 7 题
在指令中,操作数地址在某寄存器中的寻址方式称为( )寻址。
- (A) 直接
- (B) 变址
- (C) 寄存器
- (D) 寄存器间接
答案与解析
- 试题难度:一般
- 知识点:计算机系统基础知识>指令系统
- 试题答案:[[D]]
- 试题解析:本题考查计算机系统指令寻址方式基础知识。
指令是指挥计算机完成各种操作的基本命令。一般来说,一条指令需包括两个基本 组成部分:操作码和地址码。操作码说明指令的功能及操作性质。地址码用来指出指令 的操作对象,它指出操作数或操作数的地址及指令执行结果的地址。
寻址方式就是如何对指令中的地址字段进行解释,以获得操作数的方法或获得程序 转移地址的方法。
立即寻址是指操作数就包含在指令中。 直接寻址是指操作数存放在内存单元中,指令中直接给出操作数所在存储单元的地址。 寄存器寻址是指操作数存放在某一寄存器中,指令中给出存放操作数的寄存器名。 寄存器间接寻址是指操作数存放在内存单元中,操作数所在存储单元的地址在某个寄存器中。
变址寻址是指操作数地址等于变址寄存器的内容加偏移量。
第 8 题
采用虚拟存储器的目的是( )。
- (A) 提高主存的存取速度
- (B) 提高外存的存取速度
- (C) 扩大用户的地址空间
- (D) 扩大外存的存储空间
答案与解析
- 试题难度:一般
- 知识点:操作系统基础知识>虚拟存储
- 试题答案:[['C']]
- 试题解析:本题考查计算机系统存储器基础知识。
将一个作业的部分内容装入主存便可开始启动运行,其余部分暂时留在磁盘上,需要时再装入主存。这样就可以有效地利用主存空间。从用户角度看,该系统所具有的主存容量将比实际主存容量大得多,人们把这样的存储器称为虚拟存储器。因此,虚拟存储器是为了扩大用户所使用的主存容量而采用的一种设计方法。
第 9 题
以下关于 SSD 固态硬盘和普通 HDD 硬盘的叙述中,错误的是( )。
- (A) SSD 固态硬盘中没有机械马达和风扇,工作时无噪音和震动
- (B) SSD 固态硬盘中不使用磁头,比普通 HDD 硬盘的访问速度快
- (C) SSD 固态硬盘不会发生机械故障,普通 HDD 硬盘则可能发生机械故障
- (D) SSD 固态硬盘目前的容量比普通 HDD 硬盘的容量大得多且价格更低
答案与解析
- 试题难度:一般
- 知识点:计算机系统基础知识>层次化存储结构
- 试题答案:[['D']]
- 试题解析:
本题考查计算机系统存储器方面的基础知识。
SSD固态硬盘工作时没有电机加速旋转的过程,启动速度更快。读写时不用磁头,寻址时间与数据存储位置无关,因此磁盘碎片不会影响读取时间。可快速随机读取,读取延迟极小。因为没有机械马达和风扇,工作时无噪音(某些高端或大容量产品装有风扇,因此仍会产生噪音)。内部不存在任何机械活动部件,不会发生机械故障,也不怕碰撞、冲击、振动。这样即使在高速移动甚至伴随翻转倾斜的情况下也不会影响到正常使用,而且在笔记本电脑发生意外掉落或与硬物碰撞时能够将数据丢失的可能性降到最小。典型的硬盘驱动器只能在5~55℃范围内工作。而大多数固态硬盘可在-10~70℃工作,一些工业级的固态硬盘还可在-40~85℃ ,甚至更大的温度范围下工作。低容量的固态硬盘比同容量硬盘体积小、重量轻。
第 10 题
- (A) 平均无故障时间(MTBF)和吞吐量
- (B) 平均修复时间(MTTR)和故障率
- (C) 平均响应时间、吞吐量和作业周转时间
- (D) 平均无故障时间(MTBF) 和平均修复时间(MTTR)
- (A) 平均响应时间
- (B) 平均无故障时间(MTBF)
- (C) 平均修复时间 (MTTR)
- (D) 数据处理速率
答案与解析
- 试题难度:一般
- 知识点:计算机系统基础知识>计算机性能指标
- 试题答案:[['C'],['B']]
- 试题解析:
试题(10)的正确答案为C。平均响应时间是指系统为完成某个功能所需要的平均处理时间:吞吐量指单位时间内系统所完成的工作量:作业周转时间是指从作业提交到作业完成所花费的时间,这三项指标通常用来度量系统的工作效率。
试题(11)的正确答案为B。平均无故障时间(MTBF),指系统多次相继失效之间的平均时间,该指标和故障率用来衡量系统可靠性。平均修复时间(MTTR)指多次故障发生到系统修复后的平均间隔时间,该指标和修复率主要用来衡量系统的可维护性。数据处理速率通常用来衡量计算机本身的处理性能。
第 11 题
我国软件著作权中的翻译权是指将原软件由( )的权利。
- (A) 源程序语言转换成目标程序语言
- (B) 一种程序设计语言转换成另一种程序设计语言
- (C) 一种汇编语言转换成一种自然语言
- (D) 一种自然语言文字转换成另一种自然语言文字
答案与解析
- 试题难度:一般
- 知识点:标准化和知识产权>著作权保护范围
- 试题答案:[['D']]
- 试题解析:
本题考查知识产权基本知识。
我国著作权法第十条规定:“翻译权,即将作品从一种语言文字转换成另一种语言文字的权利”; 《计算机软件保护条例》第八条规定:“翻译权,即将原软件从一种自然语言文字转换成另一种自然语言文字的权利”。自然语言文字包括操作界面上、程序中涉及的自然语言文字。软件翻译权不涉及软件编程语言的转换,不会改变软件的功能、结构和界面。将源程序语言转换成目标程序语言,或者将程序从一种编程语言转换成另一种编程语言,不属于《计算机软件保护条例》中规定的翻译。
第 12 题
( )可以保护软件的技术信息、经营信息。
- (A) 软件著作权
- (B) 专利权
- (C) 商业秘密权
- (D) 商标权
答案与解析
- 试题难度:一般
- 知识点:标准化和知识产权>商业秘密权
- 试题答案:[['C']]
- 试题解析:
本题考查知识产权基本知识。
商业秘密权可保护软件的经营信息和技术信息,我国《反不正当竞争法》中对商业秘密的定义为“不为公众所知悉、能为权利人带来经济利益、具有实用性并经权利人采取保密措施的技术信息和经营信息”。软件技术信息是指软件中适用的技术情报、数据或知识等,包括程序、设计方法、技术方案、功能规划、开发情况、测试结果及使用方法的文字资料和图表,如程序设计说明书、流程图、用户手册等。软件经营信息指经营管理方法以及与经营管理方法密切相关的信息和情报,包括管理方法、经营方法、产销策略、客户情报(客户名单、客户需求),以及对软件市场的分析、预测报告和未来的发展规划、招投标中的标底及标书内容等。标书内容等。
软件著作权从软件作品性的角度保护其表现形式,源代码(程序)、目标代码(程序)、软件文档是计算机软件的基本表达方式(表现形式),受著作权保护:专利权从软件功能性的角度保护软件的思想内涵,即软件的技术构思、程序的逻辑和算法等的思想内涵,涉及计算机程序的发明,可利用专利权保护:商标权可从商品(软件产品)、商誉的角度为软件提供保护,利用商标权可以禁止他人使用相同或者近似的商标,生产(制作)或销售假冒软件产品,商标权保护的力度大于其他知识产权,对软件侵权行为更容易受到行政查处。
第 13 题
声音信号的数字化过程包括采样、( )和编码。
- (A) 合成
- (B) 转换
- (C) 量化
- (D) 压缩
答案与解析
- 试题难度:一般
- 知识点:多媒体基础知识>音频
- 试题答案:[['C']]
- 试题解析:
自然声音信号是一种模拟信号,计算机要对它进行处理,必须将它转换为数字声音。
信号,即用二进制数字的编码形式来表示声音。最基本的声音信号数字化方法是采样—量化法。它分为采样、量化和编码3个步骤。
采样是把时间连续的模拟信号转换成时间离散、幅度连续的信号。
量化处理是把在幅度上连续取值(模拟量)的每一个样本转换为离散值 (数字量)。
表示。量化后的样本是用二进制数来表示的,二进制位数的多少反映了度量声音波形幅度的精度,称为量化精度。
经过采样和量化处理后的声音信号已经是数字形式了,但为了便于计算机的存储、处理和传输,还必须按照一定的要求进行数据压缩和编码。
第 14 题
通常所说的 "媒体"有两重含义,一是指( )等存储信息的实体:二是指图像、 声音等表达与传递信息的载体。
- (A) 文字、图形、磁带、半导体存储器
- (B) 磁盘、光盘、磁带、半导体存储器
- (C) 声卡、 U 盘、磁带、半导体存储器
- (D) 视频卡、磁带、光盘、半导体存储器
答案与解析
- 试题难度:容易
- 知识点:多媒体基础知识>媒体的种类
- 试题答案:[[B]]
- 试题解析:本题考查多媒体基础知识。我们通常所说的"媒体(Media) "包括其中的两点含义。 一是指信息的物理载体,即存储信息的实体,如手册、磁盘、光盘、磁带;二是指承载 信息的载体即信息的表现形式(或者说传播形式),如文字、声音、图像、动画、视频等, 即 CCITT 定义的存储媒体和表示媒体。表示媒体又可以分为 3 种类型:视觉类媒体(如位图图像、矢量图形、图表、符号、视频、动画等)、听觉类媒体(如音响、语音、音乐 等)、触觉类媒体(如点、位置跟踪:力反馈与运动反馈等),视觉和听觉类媒体是信息 传播的内容,触觉类媒体是实现人机交互的手段。
第 15 题
声音信号的一个基本参数是频率,它是指声波每秒钟变化的次数,用Hz 表示。人耳能听得到的声音信号的频率范围是( )。
- (A) 0Hz~20Hz
- (B) 0Hz~200Hz
- (C) 20Hz~ 20kHz
- (D) 20Hz ~200kHz
答案与解析
- 试题难度:一般
- 知识点:多媒体基础知识>音频
- 试题答案:[['C']]
- 试题解析:
声音是通过空气传播的一种连续的波,称为声波。声波在时间和幅度上都是连续的模拟信号,通常称为模拟声音(音频)信号。人们对声音的感觉主要有音量、音调和音色。音量又称音强或响度,取决于声音波形的幅度,也就是说,振幅的大小表明声音的响亮程度或强弱程度。音调与声音的频率有关,频率高则声音高昂,频率低则声音低沉。而音色是由混入基音的泛音所决定的,每个基音都有其固有的频率和不同音强的泛音,从而使得声音具有其特殊的音色效果。人耳能听得到的音频信号的频率范围是20Hz~20kHz,包括:话音(300~3400Hz)、音乐(20Hz~20kHz)、其他声音(如风声、雨声、鸟叫声、汽车鸣笛声等,其带宽范围也是20Hz~20kHz),频率小于20Hz声波信号称为亚音信号,高于20kHz的信号称为超音频信号(超声波)。
第 16 题
>- (A) 内网、外网和 DMZ >- (B) 外网、 DMZ和内网 >- (C) DMZ、内网和外网 >- (D) 内网、 DMZ和外网 **答案与解析** - 试题难度:一般 - 知识点:网络基础知识>防火墙知识 - 试题答案:[['B']] - 试题解析:
第 17 题
安全传输电子邮件通常采用( )系统。
- (A) S-HTTP
- (B) PGP
- (C) SET
- (D) SSL
答案与解析
- 试题难度:一般
- 知识点:网络基础知识>电子邮件
- 试题答案:[[B]]
- 试题解析:本题考查网络安全中安全电子邮件传输相关知识 。
S-HTTP 用以传输网页, SET 是安全电子交易, SSL 是安全套接层协议, PGP 是安 全电子邮件协议。
第 18 题
表示定点数时,若要求数值0在机器中唯一地表示为全0,应采用( )。
- (A) 原码
- (B) 补码
- (C) 反码
- (D) 移码
答案与解析
- 试题难度:一般
- 知识点:计算机系统基础知识>原码、反码、补码和移码
- 试题答案:[['B']]
- 试题解析: 本题考查计算机系统数据表示基础知识。
以字长为 8 为例. [+0]原=00000000,[-0]原=10000000 。 [+0]反 =00000000, [-0]]反=11111111。[+0]补=00000000,[-0]补=00000000。[+0]移 =10000000, [-0]移=10000000 。由此可以,在补码和移码中,+0和-0有唯一的编码。
第 19 题
( )。
- (A)
- (B)
- (C)
- (D) X+Y
答案与解析
- 试题难度:一般
- 知识点:计算机系统基础知识>逻辑运算
- 试题答案:[[A]]
- 试题解析:本题考查计算机系统逻辑运算基础知识。


第 20 题
- (A) 01001100
- (B) 10111110
- (C) 11000010
- (D) 01000010
- (A) 01001100
- (B) 10111110
- (C) 11000010
- (D) 01000010
答案与解析
- 试题难度:一般
- 知识点:计算机系统基础知识>浮点数
- 试题答案:[['B'],['C']]
- 试题解析: 本题考查计算机系统数据表示基础知识。
X=-31/64=-(1/4+1/8+1/16+1/32+1/64)=-0.0111110
[x]原=10111110 ,[x]补=11000010
第 21 题
在 Windows 系统中,当用户选择" config.xml" 文件并执行"剪切"命令后,被"剪切"的“config.xml”文件放在( )中。
- (A) 回收站
- (B) 剪贴板
- (C) 硬盘
- (D) USB盘
答案与解析
- 试题难度:容易
- 知识点:操作系统基础知识>文件的操作
- 试题答案:[['B']]
- 试题解析:本题考查 Windows 操作系统的基本知识及应用。
剪贴板是应用程序之间传递信息的媒介,用来临时存放被传递的信息。从某个应用程序复制或剪切的信息被置于剪贴板上,剪贴板上的信息可以被粘贴到其他的文档或应用程序中,因此可利用剪贴板在文件之间共享信息。
第 22 题
>- (A) \document1\ >- (B) E:\document1\ document2 >- (C) document2\ >- (D) E:\document2\ document1 >- (A) \document1\ test.docx >- (B) document1\ document2\test.docx >- (C) document2\test.docx >- (D) E:\document1\ document2\test.docx **答案与解析** - 试题难度:一般 - 知识点:操作系统基础知识>文件管理 - 试题答案:[[B],[C]] - 试题解析:按查找文件的起点不同可以将路径分为绝对路径和相 对路径。从根目录开始的路径 称为绝对路径:从用户当前工作目录开始的路径称为相对路 径,相对路径是随着当前工 作目录的变化而改变的 。
在 Windows 操作系统中,绝对路径是从根目录开始到文件所经过的文件夹名构成 的,并以“/”开始,表示根目录:文件夹名之间用符号 "\"分隔。按题意,"test.docx " 的绝对路径表示为: E:\document1\ document2 。相对路径是从当前文件夹开始到文件所 经过的文件夹名 。编程时采用相对路径名document2\test.docx ,不仅能正确地访问该文 件而且效率也更 高。
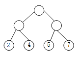
### 第 23 题 已知有 5 个进程共享一个互斥段,如果最多允许2个进程同时进入互斥段,则相应的信号量的变化范围是( )。
>- (A) -5~1 >- (B) -4~1 >- (C) -3~2 >- (D) -2~3 **答案与解析** - 试题难度:容易 - 知识点:操作系统基础知识>信号量机制 - 试题答案:[['C']] - 试题解析:本题考查操作系统进程管理同步与互斥方面的基础知识。
因为系统中有 5 个进程共享一个互斥段,如果最多允许2个进程同时进入互斥段,则信号量S的初值应设为2,当第一个进程进入互斥段时, 信号量S减1等于1;当第二个进程进入互斥段时,信号量S减1等于0; ……;当第五个进程进入互斥段时,信号量S减1等于-3。可见,信号量的变化范围是-3~2。
### 第 24 题 进程的三态模型如下图所 示,其中的 a、b 和 c 处应分别填写( )。

>- (A) 就绪、阻塞和运行 >- (B) 阻塞、就绪和运行 >- (C) 就绪、运行和阻塞 >- (D) 运行、就绪和阻塞
**答案与解析** - 试题难度:一般 - 知识点:操作系统基础知识>进程的三态模型 - 试题答案:[['A']] - 试题解析:本题考查操作系统进程管理方面的基础知识。进程具有三种基本状态:运行、就绪和阻塞。处于这三种状态的进程在一定条件下,其状态可以转换 。当CPU空闲时,系统将选择处于就绪态的一个进程进入运行态;而当CPU的一个时间片用完时,当前处于运行态的进程就进入了就绪态;进程从运行到阻塞状态通常是由于进程释放CPU,等待系统分配资源或等待某些事件的发生。例如,执行了P操作系统暂时不能满足其对某资源的请求,或等待用户的输入信息等;当进程等待的事件发生时,进程从阻塞到就绪状态,如 I/O完成。
>- (A) 汇编语言 >- (B) 通用程序设计语言 >- (C) 关系数据库查询语言 >- (D) 函数式程序设计语言 **答案与解析** - 试题难度:容易 - 知识点:程序设计语言>汇编程序 - 试题答案:[['A']] - 试题解析:本题考查程序语言基础知识。
汇编语言是与机器语言对应的程序设计语言,因此也是面向机器的语言 。
从适用范围而言,某些程序语言在较为广泛的应用领域被使用来编写软件,因此成 为通用程序设计语言,常用的如 C/C++, Java 等。
关系数据库查询语言特指 SQL,用于存取数据以及查询、更新和管理关系数据库系统中的数据。
函数式编程是一种编程范式,它将计算机中的运算视为函数的计算。函数编程语言 最重要的基础是λ演算( lambda calculus) ,其可以接受函数当作输入(参数)和输出(返 回值)。
### 第 26 题 编译过程中使用( )来记录源程序中各个符号的必要信息,以辅助语义的正确性检查和代码生成 。
>- (A) 散列表 >- (B) 符号表 >- (C) 单链表 >- (D) 决策表 **答案与解析** - 试题难度:一般 - 知识点:程序设计语言>编译程序 - 试题答案:[[B]] - 试题解析:
### 第 27 题 函数f()、g()的定义如下所示,已知调用 f 时传递给其形参 x 的值是 10。若在f中以 传值方式调用 g,则函数f 的返回值为( );若以引用方式调用 g,则函数f 的返回值为( )。

>- (A) 10 >- (B) 15 >- (C) 25 >- (D) 30 >- (A) 10 >- (B) 15 >- (C) 25 >- (D) 30 **答案与解析** - 试题难度:一般 - 知识点:程序设计语言>传值和传址调用 - 试题答案:[[C],[D]] - 试题解析:本题考查程序语言基础知识。 若实现函数调用时,将实参的值传递给对应的形参,则称为是传值调用。这种方式下形式参数不能向实参传递信息。引用调用的本质是将实参的地址传给形参,函数中对形参的访问和修改实际上就是针对相应实际参数变量所作的访问和改变。
根据题目说明,当调用函数 f 时,形参 x 首先得到 10,接下来以传值方式调用函数 g,也就是将f中 x 的值传给 g 的参数 x 。在这种情况下,系统为f 中的 x 与 g 中的 x 分 别分配存储单元。执行 g 中的 "x=x+5" 运算后, g 中 x 的值变为 15,返回值15 存入 f 的变量 y (即y 的值变为 15),而f中 x 的值没有变,因此函数 f 的返回值为 25 (x=10 , y=15)。
在引用方式调用 g 时, g 中对其形参 x 的修改可视为是对调用 g 时实参的修改,因 此调用 g 之后,f 中的 y 得到返回值 15,f 中的 x 也被修改为 15,所以f的返回值为 30。
### 第 28 题 算术表达式 a+b-c*d 的后缀式是( ) (一、+、*表示算术的减、加、乘运算,运算符的优先级和结合性遵循惯例)。
>- (A) a b + C d * - >- (B) a b c +- d* >- (C) abcd+-* >- (D) ab+c-d* **答案与解析** - 试题难度:一般 - 知识点:程序设计语言>表达式 - 试题答案:[['A']] - 试题解析: 本题考查程序语言基础知识。
后缀式(逆波兰式)是波兰逻辑学家卢卡西维奇发明的一种表示表达式的方法。这种表示方式把运算符写在运算对象的后面,例如,把 a+b 写成 ab+ ,所以也称为后缀式。
算术表达式 a+b-c*d 的后缀式为 ab+cd*- 。
用二叉树表示 a+b-c*d 如下图所示。

### 第 29 题 设数组 A[ 1..m,1...n.] 的每个元素占用 1 个存储单元,对于数组元素 A[i,j] (1≤i≤m≤1≤j≤n),在按行存储方式下,其相对于数组空间首地址的偏移量为( );在按列存储方式下,其相对于数组空间首地址的偏移量为( )。

解答该问题需先计算排列在a[i,j] 之前的元素个数。
按行方式存储下,元素a[i,j]之前有 i-1行,每行 n 个元素,在第 i行上a[i,j]之前有j-1 个元素,因此 ,a[i,j]之前共有(i-1)*n+j-1个元素。
在按列存储方式下,元素a[i,j]之前有j-1列,每列 m 个元素,在a[i,j]所在列(即第j列),排在它之前的元素有 i-1 个,因此 ,a[i,j]之前共有(j-1)*m+i-1 个元素。
数组中指定元素的存储位置相对于数组空间首地址的偏移量等于k*d,其中 k 为排在该元素前的元素个数 ,d 为每个元素占用的存储单元数。
>- (A) 字符串属于线性的数据结构 >- (B) 长度为0字符串称为空白串 >- (C) 串的模式匹配算法用于求出给定串的所有子串 >- (D) 两个字符串比较时,较长的串比较短的串大 **答案与解析** - 试题难度:一般 - 知识点:数据结构和算法>字符串 - 试题答案:[['A']] - 试题解析:
本题考查数据结构基础知识。
选项 A 是正确的。一个线性表是 n 个元素的有限序列(n≥0)。由于字符串是由字符构成的序列,因此符合线性表的定义。
选项 B 是错误的。长度为 0 字符串称为空串(即不包含字符的串),而空白串是指由空白符号(空格、制表符等)构成的串,其长度不为0。
选项 C 是错误的。串的模式匹配算法是指在串中查找指定的模式串是否出现及其位置。
选项 D 是错误的。两个字符串比较时,按照、对应字符(编码)的大小关系进行比较。
>- (A) 顺序结构和链式结构 >- (B) 顺序结构和散列结构 >- (C) 线性结构和非线性结构 >- (D) 散列结构和索引结构 **答案与解析** - 试题难度:一般 - 知识点:数据结构和算法>顺序表和链表 - 试题答案:[[C]] - 试题解析:本题考查数据结构基础知识。 在数据结构中,顺序结构和链式结构是两种基本的存储结构。线性结构和非线性结构是按照逻辑关系来划分的。
### 第 32 题 若栈采用链式存储且仅设头指针,则( )时入栈和出栈操作最方便。 >- (A) 采用不含头结点的单链表且栈顶元素放在表尾结点 >- (B) 采用不含头结点的单链表且栈顶元素放在表头结点 >- (C) 采用含头结点的单循环链表且栈顶元素随机存放在链表的任意结点 >- (D) 采用含头结点的双向链表且栈顶元素放在表尾结点 **答案与解析** - 试题难度:一般 - 知识点:数据结构和算法>顺序表和链表 - 试题答案:[[B]] - 试题解析:
栈的操作要求是后进先出,而且仅在表尾一端加入和删除元素。对单链表进行操作时,必须从头指针出发。根据栈的操作要求,单循环链表和双向链表都是没有必要的, 而且选项 C 中将栈顶元素任意存放是错误的。
可以采用单链表作为栈的存储结构,将表头作为栈顶来使用。
含头结点的单链表如下图所示,其中 La 为头指针, La 指向的结点为头结点。

不含头结点且栈顶元素放在表尾结点的单链表如下图所示,其中 La 为头指针, La 指向的结点存储了先进入栈且没有出栈的元素。显然,因为要从La 出发遍历至表尾才能进行入栈和出栈操作,在这种情况下出栈和入栈都是最低效的,时间复杂度都是O(n)。

如果采用不含头结点且栈顶元素放在表头的单链表,如下图所示,栈钱和入栈操作 都在表头,时间复杂度都为O (1)。

### 第 33 题
>- (A) 6 >- (B) 5 >- (C) 3 >- (D) 1 **答案与解析** - 试题难度:一般 - 知识点:数据结构和算法>栈和队列 - 试题答案:[[B]] - 试题解析:
最优二叉树(或哈夫曼树)是指权值为 W1,W2,……,Wn 的 n 个叶结点的二叉树中带权路径长度最小的二叉树。( )是哈夫曼树(叶结点中的数字为其权值)。
>- (A)
>- (B)
>- (C)
>- (D)
**答案与解析**
- 试题难度:一般
- 知识点:数据结构和算法>哈夫曼树
- 试题答案:[['A']]
- 试题解析:本题考查数据结构基础知识。哈夫曼树又称为最优二叉树,是一类带权路径长度最短的树。
树的带权路径长度(WPL)为树中所有叶子结点的带权路径长度之和,记为

其中 n 为带权叶子结点数目 ,Wk 为叶子结点的权值, lk为根到叶子结点的路径长度。选项 A 所示二叉树的WPL=(2+4)*3+5*2+7*1 =35
选项 B 所示二叉树的 WPL = (2+4+5+7)*2 =36
选项 C 所示二叉树的 WPL=(5+7)*3+4*2+2* 1 =46
选项 D 所示二叉树的 WPL = (4+5)*3+7*2+2*1=43

>- (A) 有向图的邻接矩阵可以是对称矩阵 >- (B) 第 i行的非零元素个数为顶点 i的出度 >- (C) 第 i行的非零元素个数为顶点 i的入度 >- (D) 有向图的邻接矩阵中非零元素个数为图中弧的数目 **答案与解析** - 试题难度:一般 - 知识点:数据结构和算法>图 - 试题答案:[["C"]] - 试题解析:本题考查数据结构基础知识。
图中顶点 v 的度是指关联于该顶点的边的数目,若为有向图,顶点的度表示该顶点 的入度和出度之和。
图的邻接矩阵表示法利用一个矩阵来表示图中顶点之间的关系。矩阵元素的值设置 如下:

对于题中所给的图,各顶点的度如下表所示:

显然,邻接矩阵中每一行的非零元素个数对应一个顶点的出度,每一列的非零元素个数对应一个顶点的入度。
### 第 36 题 ( )不符合二叉排序树的定义。
>- (A)
>- (B)
>- (C)
>- (D)
**答案与解析**
- 试题难度:一般
- 知识点:数据结构和算法>二叉排序树
- 试题答案:[['A']]
- 试题解析:本题考查数据结构基础知识。二叉排序树又称为二叉查找树,它或者是一棵空树,或者是具有如下性质的二叉树:
①若它的左子树非空,则左子树上所有结点的值均小于根结点的值。
②若它的右子树非空,则右子树上所有结 点的值均大于根结点的值。
③左、右子树本身就是两棵二叉排序树。
对于选项 A 所示的二叉树,以 30 为根的子树不符合二叉排序树的定义。
### 第 37 题 若待排序记录按关键字基本有序,则宜采用的排序方法是( )。
根据直接插入排序、堆排序、快速排序和简单选择排序各种方法的排序过程可知, 在关键码序列基本有序的情况下,直接插入排序法最为适宜。
### 第 38 题 在待排序的一组关键码序列 k1,k2,…,,kn 中,若 ki和kj相同,且在排序前ki先于kj, 那么排序后,如果ki和kj的相对次序保持不变,ki仍领先于kj,则称此类排序为稳定的。若在排序后的序列中有可能出现kj领先于ki的情形,则称此类排序为不稳定的。( )是稳定的排序方法。
>- (A) 快速排序 >- (B) 简单选择排序 >- (C) 堆排序 >- (D) 冒泡排序 **答案与解析** - 试题难度:一般 - 知识点:数据结构和算法>冒泡排序 - 试题答案:[[D]] - 试题解析:本题考查数据结构基础知识。
冒泡排序是稳定的排序方法,因为元素向前或向后交换时,都是在相邻的位置进行,因此可以保证关键码相同的元素不作交换。快速排序主要通过划分实现排序,在划分序列时,基本思路是将序列后端比基准元素小者移到前端,将序列前端中比基准元素大者移到后端,元素往前移动或往后移动时 会跨越中间的若干个元素,这样关键码相同的元素的相对位置就可能改变,所以快速排 序是不稳定的排序方法。简单选择排序、堆排序的过程中,同样存在元素移动时会跨越若干个元素的情况, 所以也是不稳定的排序方法。
### 第 39 题 在面向对象方法中,继承用于( )。 通过继承关系创建的子类( )。
>- (A) 利用已有类创建新类 >- (B) 在已有操作的基础上添加新方法 >- (C) 为已有属性添加新属性 >- (D) 为已有状态添加新状态 >- (A) 只有父类具有的属性 >- (B) 只有父类具有的操作 >- (C) 只能有父类所不具有的新操作 >- (D) 可以有父类的属性和方法之外的新属性和新方法 **答案与解析** - 试题难度:一般 - 知识点:面向对象基础知识>类的继承 - 试题答案:[['A'],['D']] - 试题解析:本题考查面向对象的基本知识。
在进行类设计时,有些类之间存在一般和特殊关系,即一些类是某个类的特殊情况,某个类是一些类的一般情况,这就是继承关系。继承是类之间的一种关系,在定义和实 现一个类的时候,可以在一个已经存在的类(一般情况)的基础上来进行,把这个已经存在的类所定义的内容作为自己的内容,并可以加入若干新属性和方法。
### 第 40 题 结构型设计模式涉及如何组合类和对象以获得更大的结构,以下( )模式是结构型模式。
>- (A) Adapter >- (B) Template Method >- (C) Mediator >- (D) Observer **答案与解析** - 试题难度:一般 - 知识点:面向对象基础知识>设计模式 - 试题答案:[['A']] - 试题解析:
本题考查设计模式的基本概念。
在面向对象系统设计中,每一个设计模式都集中于一个特定的面向对象设计问题或设计要点,描述了什么时候使用它,在另一些设计约束条件下是否还能使用,以及使用的效果和如何取舍。按照设计模式的目的可以分为创建型模式、结构型模式和行为型模式3 大类。创建型模式与对象的创建有关:结构型模式处理类或对象的组合,涉及如何组合类和对象以获得更大的结构:行为型模式对类或对象怎样交互和怎样分配职责进行描述。创建型模式包括 Factory Method 、Abstract Factory 、Builder 、Prototype和 Singleton;结构型模式包括Adapter (类)、 Adapter(对象)、Bridge、Composite、Decorator、Façade、Flyweight 和 Proxy; 行为型模式包括 Interpreter、Template Method、Chain of Responsibility、 Command、Iterator、Mediator、Memento Observer State Strategy 和Visitor。
>- (A) 活动 >- (B) 通信 >- (C) 序列 >- (D) 定时 >- (A) 类 >- (B) 对象 >- (C) 组件 >- (D) 包 **答案与解析** - 试题难度:一般 - 知识点:面向对象基础知识>UML——图 - 试题答案:[['C'],['A']] - 试题解析:
UML2.0 中提供了 13 种图形,一部分图给出了系统的动态视图,一部分图则给出系 统的静态视图。
活动图展现了在系统内从一个活动到另一个活动的流程,专注于系统的动态视图,它对于系统的功能建模特别重要,并强调对象间的控制流程,是状态图的一种特殊情况。 通信图强调收发消息的对象之间的结构组织,强调参加交互的对象的组织。序列图是场景的图形化表示,描述了以时间顺序组织的对象之间的交互活动,对用例中的场景可以采用序列图进行描述。定时图或时序图,是 UML2.0 中新增的、特别适合实时和嵌入式系统建模的交互图,它关注沿着线性时间轴、生命线内部和生命线之间的条件改变,描述对象状态随着时间改变的情况,很像示波器,如下图所示,适合分析周期和非周期性任务。

类图展现了一组对象、接口、协作及其之间的关系,属于静态视图;对象图展现了某一时刻一组对象以及它们之间的关系,描述了在类图中所建立的事物的实例的静态快照:组件图/构件图展现了一组构件之间的组织和依赖,专注于系统的静态实现视图,它与类图相关,通常把构件映射为一个或多个类、接口或协作:包图是用于把模型本身组织成层次结构的通用机制,不能执行,展现由模型本身分解而成的组织单元以及其间的依赖关系。
第 42 题
软件工程的基本目标是( )。
- (A) 消除软件固有的复杂性
- (B) 开发高质量的软件
- (C) 努力发挥开发人员的创造性潜能
- (D) 更好地维护正在使用的软件产品
答案与解析
- 试题难度:一般
- 知识点:软件工程>软件工程概述
- 试题答案:[[B]]
- 试题解析:本题考查软件工程的基础知识。
软件工程是一门与软件开发和维护相关的工程学科,其根本的目标是开发出高质量的软件。
第 43 题
从模块独立性角度看,以下几种模块内聚类型中,( )内聚是最好的。
- (A) 巧合
- (B) 逻辑
- (C) 信息
- (D) 功能
答案与解析
- 试题难度:一般
- 知识点:软件工程>内聚和耦合
- 试题答案:[['D']]
- 试题解析:本题考查软件设计的基础知识。
模块化是指将软件划分成独立命名且可以独立访问的模块,不同的模块通常具有不 同的功能或职责。每个模块可以独立地开发、测试,最后组装成完整的软件。模块独立 性是指软件系统中每个模块只涉及软件要求的具体的一个子功能,而和其他模块之间的 接口尽量简单,是模块化设计的一个重要原则,主要用模块间的耦合和模块内的内聚来衡量。
模块的内聚性一般有以下几种:
巧合内聚,指一个模块内的几个处理元素之间没有任何联系。
逻辑内聚,指模块内执行几个逻辑上相似的功能,通过参数确定该模块完成哪一个功能。
时间内聚,把需要同时执行的动作组合在一起形成的模块。
通信内聚,指模块内所有处理元素都在同一个数据结构上操作,或者指各处理使用相同的输入数据或者产生相同的输出数据。
顺序内聚,指一个模块中各个处理元素都密切相关于同一功能且必须顺序执行,前一个功能元素的输出就是下一个功能元素的输入。
功能内聚,是最强的内聚,指模块内所有元素共同完成一个功能,缺一不可。是最佳的内聚类型。
第 44 题
白盒测试中,( )覆盖是指设计若干个测试用例,运行被测程序,使得程序中的每个判断的取真分支和取假分支至少执行一次。
- (A) 语句
- (B) 判定
- (C) 条件
- (D) 路径
答案与解析
- 试题难度:一般
- 知识点:软件工程>软件测试——测试用例
- 试题答案:[['B']]
- 试题解析:
本题考查软件测试的基础知识。
白盒测试和黑盒测试是两种常用的测试技术。其中白盒测试包含不同的测试用例设计方法。
语句覆盖:设计若干测试用例,运行被测程序,使得每一个可执行语句至少执行一次;
判定覆盖:设计若干测试用例,运行被测程序,使得程序中每个判断的取真分支和取假分支至少经历一次;
条件覆盖:设计若干测试用例,运行被测程序,使得程序中每个判断的每个条件的可能取值至少执行一次:
路径覆盖:设计足够的测试用例,覆盖程序中所有可能的路径。
第 45 题
随着企业的发展,某信息系统需要处理大规模的数据。为了改进信息处理的效率而修改原有系统的一些算法,此类行为属于( )维护。
- (A) 正确性
- (B) 适应性
- (C) 完善性
- (D) 预防性
答案与解析
- 试题难度:一般
- 知识点:软件工程>软件运行与维护
- 试题答案:[['C']]
- 试题解析:本题考查软件维护的基础知识。
软件维护一般包括四种类型:
正确性维护,是指改正在系统开发阶段已发生而系统测试阶段尚未发现的错误;
适应性维护,是指使应用软件适应新技术变化和管理需求变化而进行的修改;
完善性维护,是指为扩充功能和改善性能而进行的修改,主要是指对已有的软件系
统增加一些在系统分析和设计阶段中没有规定的功能与性能特征;
预防性维护,是指为了改进应用软件的可靠性和可维护性,为了适应未来的软硬件
环境的变化,主动增加预防性的功能,以使应用系统适应各类变化而不被淘汰。
根据题干以及四种维护类型的定义,很容易判断该情况属于完善性维护。
第 46 题
以下关于程序员职业素养的叙述中,不正确的是( )。
- (A) 程序员应有解决问题的能力、承担任务的勇气和责任心
- (B) 程序员的素质比技术能力更为重要,职业操守非常重要
- (C) 程序员应充满自信,相信自己所交付的程序不存在问题
- (D) 由于软件技术日新月异,不断学习是程序员永恒的课题
答案与解析
- 试题难度:容易
- 知识点:软件工程>程序员职业素养
- 试题答案:[['C']]
- 试题解析: 本题考查软件工程基础知识。
编程是高智力工作,产生错误的因素很多,程序很难没有错误。程序员需要仔细思 考,仔细推敲,既要有自信心,也要谦虚谨慎,要欢迎测试人员、用户或其他程序员发 现问题,认真考虑纠正错误。
第 47 题
图形用户界面的设计原则中不包括( )。
- (A) 绝大多数人会选择的选项应按默认选择处理
- (B) 常用的操作项应放在明显突出易发现的位置
- (C) 多个操作项的排列顺序应与业务流程相一致
- (D) 界面设计时无须也无法考虑用户误操作情况
答案与解析
- 试题难度:容易
- 知识点:操作系统基础知识>作业管理和用户界面
- 试题答案:[[D]]
- 试题解析:本题考查软件工程基础知识。
用户界面设计时,必须考虑尽量减少用户误操作的可能,还要考虑在用户误操作后的应对处理(例如,给出错误信息,提示正确操作等)。
第 48 题
以下关于专业程序员知识和技能的叙述中,不正确的是( )。
- (A) 了解编译原理有助于快速根据编译错误和警告信息修改代码
- (B) 了解开发工具知识有助于直接用工具开发软件而无须任何编程
- (C) 了解 os 底层运行机制有助于快速找到运行时错误的问题根源
- (D) 了解网络协议的原理有助于分析网络在哪里可能出现了问题
答案与解析
- 试题难度:容易
- 知识点:软件工程>程序员职业素养
- 试题答案:[['B']]
- 试题解析:本题考查软件工程基础知识。
了解软件开发工具知识有助于直接用工具开发软件,使软件开发更快捷,更可靠。
但使用软件开发工具开发的过程中,也需要在给定的框架内做些人工编程。在应用部门, 当软件开发工具不能完全满足本单位要求时,还需要补充做些编程工作,增加些功能。
第 49 题
以下关于软件测试的叙述中,不正确的是( )。
- (A) 软件开发工程化使自动化测试完全代替人工测试成为必然趋势
- (B) 开发时应注重将质量构建进产品,而不是在产品出来后再测试
- (C) 测试人员应与开发人员密切合作,推动后续开发和测试规范化
- (D) 软件测试的目的不仅要找出缺陷,还要随时提供质量相关信息
答案与解析
- 试题难度:容易
- 知识点:软件工程>软件测试
- 试题答案:[[A]]
- 试题解析:本题考查软件工程基础知识。
软件开发环境、开发工具和测试工具越来越多,开发更方便了,更快捷了,更安全 可靠了。但是,人工测试还是不可或缺的。自动测试可以代替大部分繁杂的人工测试, 但许多复杂的情况,还是需要人工思考,想办法采取灵活的措施进行人工测试,排除疑 难的故障,发现隐蔽的问题,纠正潜在的错误。
第 50 题
- (A) 数据安全
- (B) 数据兼容
- (C) 数据约束条件
- (D) 数据维护
- (A) 操作性
- (B) 兼容性
- (C) 可维护性
- (D) 完整性
答案与解析
- 试题难度:一般
- 知识点:数据库基础知识>数据模型
- 试题答案:[['C'],['D']]
- 试题解析:
本题考查数据库系统基本概念。
试题(57)的正确选项为C。数据库结构的基础是数据模型,是用来描述数据的一组概念和定义。数据模型的三要素是数据结构、数据操作、数据约束条件。例如,用大家熟悉的文件系统为例。它所包含的概念有文件、记录、字段。其中,数据结构和约束条件为对每个字段定义数据类型和长度;文件系统的数据操作包括打开、关闭、读、写等文件操作。
试题(58)的正确选项为 D。数据库管理技术是在文件系统的基础上发展起来的。
数据控制功能包括对数据库中数据的安全性、完整性、并发和恢复的控制。数据库管理技术的主要目标如下:
①实现不同的应用对数据的共享,减少数据的重复存储,消除潜在的不一致性。
②实现数据独立性,使应用程序独立于数据的存储结构和存取方法,从而不会因为对数据结构的更改而要修改应用程序。
③由系统软件提供数据安全性和完整性上的数据控制和保护功能。
第 51 题
某数据库系统中,假设有部门关系 Dept (部门号,部门名,负责人,电话),其中, "部门号"是该关系的主键;员工关系 Emp (员工号,姓名,部门,家庭住址),属性"家 庭住址"包含省、市、街道以及门牌号,该属性是一个( )属性。
创建 Emp 关系的 SQL 语句如下:
CREATE TABLE Emp( 员工号 CHAR(4) ( ),
姓名 CHAR(10),
部门 CHAR(4),
家庭住址 CHAR(30),
( );
为在员工关系 Emp 中增加一个"工资"字段,其数据类型为数字型并保留2 位小数, 可采用的 SQL 语句为( )。
- (A) 简单
- (B) 复合
- (C) 多值
- (D) 派生
- (A) PRIMARY KEY
- (B) NULL
- (C) FOREIGN KEY
- (D) NOT NULL
- (A) PRIMARY KEY NOT NULL
- (B) PRIMARY KEY UNIQUE
- (C) FOREIGN KEY REFERENCES Dept(部门名)
- (D) FOREIGN KEY REFERENCES Dept(部门号)
- (A) ALTER TABLE Emp ADD 工资 CHAR(6,2);
- (B) UPDATA TABLE Emp ADD 工资 NUMERIC(6,2);
- (C) ALTER TABLE Emp ADD 工资 NUMERIC (6,2);
- (D) ALTER TABLE Emp MODIFY 工资 NUMERI C(6,2);
答案与解析
- 试题难度:一般
- 知识点:数据库基础知识>SQL语言——创建表
- 试题答案:[[B],[A],[D],[C]]
- 试题解析:本题考查关系数据库方面的基础知识。
试题 (59) 正确的选项为 B。因为复合属性可以细分为更小的部分(即划分为别的属性)。有时用户希望访问整个属性,有时希望访问属性的某个成分,那么在模式设计时可采用复合属性。根据题意"家庭住址"可以进一步分为邮编、省、市、街道以及门牌号,所以该属性是复合属性。
试题 (60) 正确的选项为 A 。因为根据题意"员工号"是员工关系Emp 的主键,需要用语句 PRIMARY KEY 进行主键约束。
试题 (61) 正确的选项为 D。根据题意,属性"部门"是员工关系Emp 的外键,因此需要用语句 "FOREIGN KEY REFERENCES Dept(部门号)"进行参考完整性约束。
试题 (62) 的正确答案是 C。根据题意,在员工关系Emp 中增加一个"工资"字段, 数据类型为数字并保留 2 位小数,修改表的语句格式如下:

故正确的 SQL 语句为 ALTER TABLE Emp ADD 工资 NUMERI C(6,2)。
第 52 题
某开发团队中任意两人之间都有一条沟通途径。该团队原有 6 人,新增 2 人后,沟 通途径将增加( )条。
- (A) 8
- (B) 12
- (C) 13
- (D) 21
答案与解析
- 试题难度:容易
- 知识点:数据结构和算法>其他计算题
- 试题答案:[[C]]
- 试题解析:本题考查基础数学应用的基本技能。
新增的 2 人与原来的 6 人都要有沟通,共有 2*6 条途径。他们 2 人之间也要有沟通,因此,应该新增 13 条沟通途径。
第 53 题
设X、Y两个单元的内容分别是(无符号)二进制x、y,“⊕”是按位“异或”运算符,则依次执行操作:X⊕Y→X,X⊕Y→Y,X⊕Y→X后的效果是( )。
- (A) X、Y 两个单元的内容都是 X ⊕Y
- (B) X、Y 两个单元的内容都没有变化
- (C) X、Y 两个单元的内容各位都变反(1变 0,0 变1)
- (D) X、Y 两个单元的内容实现了互换,而没有用临时单元
答案与解析
- 试题难度:一般
- 知识点:计算机系统基础知识>逻辑运算
- 试题答案:[['D']]
- 试题解析:本题考查基础数学应用的基本技能。
"异或"运算 "⊕" 可以理解为不进位的加法(其符号助人记忆)。 X 、Y 单元对应 位上的值有 4 种情况,分析每种情况各步运算的结果得到如下表格:

从上表可知, X、Y 单元对应的每一位上,经过上述 3 次运算后都是交换了值。因 此按位进行上述运算后, X、Y 两个单元的内容实现了互换(注意,没有用到第 3 个临时单元)。
第 54 题
设 N 和 B 都是(无符号)整型变量,下面 C 代码段的功能是计算变量 B 的二进制
表示中( )。
N=0;
while(B){
B=B&(B-1); // "&"是按位"与"运算
N++;
}
- (A) 数字 1 的个数
- (B) 数字 1 比数字 0 多的数目
- (C) 数字0的个数
- (D) 数字0比数字 1 多的数目
答案与解析
- 试题难度:一般
- 知识点:C语言选择题考察>C语言选择题
- 试题答案:[['A']]
- 试题解析:本题考查基础数学应用的基本技能。如果 B= 0(二进制全 0),则计算得到N=0。如果 B 非0 (二进制表示中含有数字1),则 B-1必然是将最靠右的数字 1 变成 0, 并将其右面(若存在)连续若干个 0 变成 1。 B&(B-1)的结果就是将原来 B 的最靠右的 数字 1 变成 0,其他数字不变。

这样, B=B&(B-1) 的结果就是清除了 B 中最靠右的 1 个数字 1。
题中的代码段中,每循环 1 次这样的运算,变量 B 中的数字 1 就减少 1 个, N就增 加1,直到 B 变为全0为止。因此,该代码段的功能就是计算 B 中数字 1 的个数。
第 55 题
私网 IP地址区别于公网 IP地址的特点是( )。
- (A) 必须向 IANA 申请
- (B) 可使用 CIDR 组成地址块
- (C) 不能通过 Internet 访问
- (D) 通过 DHCP 服务器分配的
答案与解析
- 试题难度:一般
- 知识点:网络基础知识>IP地址与子网划分
- 试题答案:[[C]]
- 试题解析:私网 IP 地址与公网 IP 地址的区别是私网地址不能通过In ternet 访问。下面的地址都是私网地址:10.0.0.0 ~ 10.255.255.255 1 个 A 类地址
172.16.0.0~172.31.255.255 16 个 B 类地址
192.168.0.0 ~192.168.255.255 256 个 C 类地址
第 56 题
下面列出 4 个 IP 地址中,不能作为主机地址的是 ( )。
- (A) 127.0.10.1
- (B) 192.168.192.168
- (C) 10.0.0.10
- (D) 210.224.10.1
答案与解析
- 试题难度:一般
- 知识点:网络基础知识>IP地址与子网划分
- 试题答案:[[A]]
- 试题解析:常用的IP 地址有三种基本类型,由网络号的第 一个字节来区分 。A 类地址的第一个 字节为 1~ 126,数字0 和 127 不能作为 A 类地址,数字 127 保留给内部回送函数,而数字0则表示该地址是本地宿主机。 B 类地址的第一个字节为 128 ~191。C 类地址的第一个字节为192 ~223。D 类地址(组播)的第一个字节为 224~ 239。E 类地址(保留) 的第一个字节为 240~254 。
127.x.x.x是本机回送地址,即主机IP堆栈内部的IP地址,主要用于网络软件测试以及本地机进程间通信,无论什么程序,一旦使用回送地址发送数据,协议软件立即返回,不进行任何网络传输。
第 57 题
一个 HTML 页面的主体内容需写在( )标记内。
- (A) <body></body>
- (B) <head></head>
- (C) <font></font >
- (D) <frame></frame>
答案与解析
- 试题难度:容易
- 知识点:网络基础知识>浏览器相关知识
- 试题答案:[[A]]
- 试题解析:
本题考查 HTML 的基础知识。
一个 HTML 文件包含有多个标记,其中所有的 HTML 代码需包含在 <html><html> 标记对之内,文件的头部需写在 <head></head>标记对内,<font></font>标记对的作用是 设定文字字体, <frame></frame>标记对是框架,<font></font>标记对和<frame></frame> 均属于 HTML 页面的主题内容的一部分,均需写在 <body></body>标记对内。
第 58 题
通过( )可清除上网痕迹。
- (A) 禁用脚本
- (B) 禁止 SSL
- (C) 清除 Cookie
- (D) 查看 ActiveX 控件
答案与解析
- 试题难度:容易
- 知识点:网络基础知识>浏览器相关知识
- 试题答案:[['C']]
- 试题解析:本题考查浏览器配置相关知识。 禁用脚本是禁止本地浏览器解释执行客户端脚本;禁止SSL 是禁止采用加密方式传送网页; Cookie 中保存有用户账号等临时信息,即上网之后留下的信息;ActiveX 控件是本地可执行的插件 。因此要清除上网痕迹,需清除Cookie 。
第 59 题
工作在 UDP 协议之上的协议是( )。
- (A) HTTP
- (B) Telnet
- (C) SNMP
- (D) SMTP
答案与解析
- 试题难度:一般
- 知识点:网络基础知识>OSI和TCP/IP协议簇
- 试题答案:[[C]]
- 试题解析:本题考查 TCP/IP 协议簇中应用层协议及其采用的传输层协议。
HTTP ,Telnet 、SMTP 传输层均采用 TCP ,SNMP 传输层采用 UDP。
第 60 题
Program ( ) graphically present the detailed sequence of steps needed to solve a programming problem .
- (A) modules
- (B) flowcharts
- (C) structures
- (D) functions
答案与解析
- 试题难度:一般
- 知识点:专业英语>软件工程专业英语知识
- 试题答案:[[B]]
- 试题解析:参考译文
程序流程图以图形方式展示了解决程序设计问题所需的一系列步骤。
第 61 题
( )languages enable nonprogrammer to use certain easily understood commands to search and generate reports from a database.
- (A) Machine
- (B) Assembly
- (C) High-level
- (D) Query
答案与解析
- 试题难度:一般
- 知识点:专业英语>其他英语知识
- 试题答案:[[D]]
- 试题解析:参考译文
查询语言使非程序员能用一些易于理解的命令从数据库中检索数据并生成报告。
第 62 题
Today it is common to access the Internet from a variety of ( )devices like smartphones and tablets.
- (A) mobile
- (B) move
- (C) moving
- (D) shift
答案与解析
- 试题难度:一般
- 知识点:专业英语>网络专业英语知识
- 试题答案:[['A']]
- 试题解析:
参考译文
今天,使用各种移动设备(如智能手机、平板电脑)来上网已十分普及。
第 63 题
For data transmission to be successful,sending and receiving devices must follow a set of communication rules for the exchange of information. These rules are known as ( ).
- (A) E-mail
- (B) Internet
- (C) network
- (D) protocols
答案与解析
- 试题难度:一般
- 知识点:专业英语>网络专业英语知识
- 试题答案:[[D]]
- 试题解析:参考译文
为成功地传输数据,发送设备和接收设备必须遵循一套信息交换的通信规则。这些规则称为协议。
第 64 题
Computer ( ) focuses on protecting information,hardware,and software,and software from unauthorized use and damade.
- (A) network
- (B) virus
- (C) security
- (D) architecture
答案与解析
- 试题难度:一般
- 知识点:专业英语>网络专业英语知识
- 试题答案:[[C]]
- 试题解析:参考译文:计算机安全性注重保护信息、硬件和软件,防止非授权使用和损坏。


