201605程序员上午真题
第 1 题
在Windows系统中,若要将文件“D:\user\my.doc”设置成只读属性,可以通过修改该文件的( )来实现。将文件设置为只读属性可控制用户对文件的修改,这一级安全管理称之为( )安全管理。
- (A) 属性
- (B) 内容
- (C) 文件名
- (D) 路径名
- (A) 用户级
- (B) 目录级
- (C) 文件级
- (D) 系统级
答案与解析
- 试题难度:容易
- 知识点:操作系统基础知识>系统安全和可靠性
- 试题答案:[['A'],['C']]
- 试题解析:本题考查文件管理的基础知识。
文件属性决定文件是只读或者可读可写。
文件级安全管理控制用户对文件的改变。
权限由高到低大概为: administrators,power users,users,guests。
第 2 题
某公司员工技能培训课程成绩表如下所示。若员工笔试成绩、技能成绩和岗位实习成绩分别占综合成绩的25%、20%和55%、那么可先在E3:单元格中输入( ) ,再向垂直方向拖动填充柄至E10单元格,则可自动算出这些员工的综合成绩。若要将及格和不及格的人数统计结果显示在B11和E11单元格中,则应在B11和E11中分别填写( )。

- (A) =B$30.25+C$30.2+D$3*0.55
- (B) =B30.25+ C3 0.2+ D3*0.55
- (C) =SUM (B$30.25+C$30.2+D$3*0.55)
- (D) = SUM ($B$30.25+ $C$3 0.2+ $D$3*0.55)
- (A) =COUNT(E3:E10,>= 60)和=COUNT(E3:E10,< 60)
- (B) =COUNT(E3:E10,”>= 60”)和=COUNT(E3:E10,”< 60”)
- (C) =COUNTIF(E3:E10,>= 60)和=COUNTIF(E3:E10,< 60)
- (D) =COUNTIF(E3:E10,”>= 60”)和=COUNTIF(E3:E10,”< 60”)
答案与解析
- 试题难度:一般
- 知识点:MS Office办公软件>excel
- 试题答案:[['B'],['D']]
- 试题解析:本题考查电子表格的基本操作。在公式中采用$表示对数据区域的绝对引用。
相对引用、绝对引用和混合引用是指在公式中使用单元格或单元格区域的地址时,当将公式向旁边复制时,地址是如何变化的。
具体情况举例说明:
1、相对引用,复制公式时地址跟着发生变化,如C1单元格有公式:=A1+B1
当将公式复制到C2单元格时变为:=A2+B2
当将公式复制到D1单元格时变为:=B1+C1
2、绝对引用,复制公式时地址不会跟着发生变化,如C1单元格有公式:=$A$1+$B$1
当将公式复制到C2单元格时仍为:=$A$1+$B$1
当将公式复制到D1单元格时仍为:=$A$1+$B$1
3、混合引用,复制公式时地址的部分内容跟着发生变化,如C1单元格有公式:=$A1+B$1
当将公式复制到C2单元格时变为:=$A2+B$1
当将公式复制到D1单元格时变为:=$A1+C$1
题目中拖动能计算成绩,需要的是相对引用,答案选B
(4)COUNTIF这个公式的作用,是统计在某个范围内,满足既定条件的单元格的个数
书写方式:=countif(范围,条件) 如:=countif(A1:A10,1) 即在A1:A10的范围内,单元格内容是1个数。
还可以设置条件,如 :=countif(A1:A10,">=5") 统计大于等于5的单元格个数,如果是字符或条件,必须加"" ,单独数字不用加。
第 3 题
电子邮件地址“linxin@mail.Ceiaec.org”中的linxin、@和mail.ceiaec.org分别表示用户信箱的( )
- (A) 帐号、邮件接收服务器域名和分隔符
- (B) 帐号、分隔符和邮件接收服务器域名
- (C) 部件接收服务器域名、分隔符和帐号
- (D) 邮件接收服务器域名、帐号和分隔符
答案与解析
- 试题难度:容易
- 知识点:网络基础知识>电子邮件
- 试题答案:[['B']]
- 试题解析:
本题考查电子邮件基础知识。linxin是帐号,@是分隔符,org是服务器域名后缀。
第 4 题
CPU是一块超大规模的集成电路,主要包含( )等部件。
- (A) 运算器、控制器和系统总线
- (B) 运算器、寄存器组和内存储器
- (C) 运算器、控制器和寄存器组
- (D) 控制器、指令译码器和寄存器组
答案与解析
- 试题难度:容易
- 知识点:计算机系统基础知识>中央处理器
- 试题答案:[['C']]
- 试题解析:本题考查计算机的基本组成。出自《程序员教程(第四版)》第1页。CPU由运算器、控制器、存储器三部分组成。
第 5 题
按照( ),可将计算机分为RISC(精简指令集计算机)和CISC(复杂指令集计算机)。
- (A) 规模和处理能力
- (B) 是否通用
- (C) CPU的指令系统架构
- (D) 数据和指令的表示方式
答案与解析
- 试题难度:一般
- 知识点:计算机系统基础知识>计算机的分类
- 试题答案:[['C']]
- 试题解析:本题考查计算机的分类知识。出自《程序员教程(第四版)》第2页。RISC和CISC是CPU指令系统架构区分的。
第 6 题
微机系统中的系统总线(如PCI)用来连接各功能部件以构成一个完整的系统,它需包括三种不同功能的总线,即( )。
- (A) 数据总线、地址总线和控制总线
- (B) 同步总线、异步总线和通信总线
- (C) 内部总线、外部总线和片内总线
- (D) 并行总线、串行总线和USB总线
答案与解析
- 试题难度:容易
- 知识点:计算机系统基础知识>总线系统
- 试题答案:[['A']]
- 试题解析:本题考查系统总线基础知识。系统总线分为:地址总线、数据总线和控制总线。
第 7 题
以下关于SRAM(静态随机存储器)和DRAM(动态随机存储器)的说法中,正确的是( )。
- (A) SRAM的内容是不变的,DRAM的内容是动态变化的
- (B) DRAM断电时内容会丢失,SRAM的内容断电后仍能保持记忆
- (C) SRAM的内容是只读的,DRAM的内容是可读可写的
- (D) SRAM和DRAM都是可读可写的,但DRAM的内容需要定期刷新
答案与解析
- 试题难度:一般
- 知识点:计算机系统基础知识>存储系统——内存分类
- 试题答案:[['D']]
- 试题解析:本题考查存储器的基本知识。
SRAM静态的随机存储器: 特点是工作速度快,只要电源不撤除,写入SRAM的信息就不会消失,不需要刷新电路,同时在读出时不破坏原来存放的信息,一经写入可多次读出,但集成度较低,功耗较大。SRAM一般用来作为计算机中的高速缓冲存储器(Cache)。
DRAM 只能将数据保持很短的时间。为了保持数据,DRAM使用电容存储,所以必须隔一段时间刷新(refresh)一次,如果存储单元没有被刷新,存储的信息就会丢失。 关机就会丢失数据。
第 8 题
若显示器的( )越高,则屏幕上图像的闪烁感越小,图像越稳定,视觉效果越好。
- (A) 分辨率
- (B) 刷新频率
- (C) 色深
- (D) 显存容量
答案与解析
- 试题难度:一般
- 知识点:多媒体基础知识>图形和图像
- 试题答案:[['B']]
- 试题解析:本题考查多媒体图像基础知识。
刷新频率是指图像在显示器上更新的速度,也就是图像每秒在屏幕上出现的帧数,单位为Hz。刷新频率越高,屏幕上图像的闪烁感就越小,图像越稳定,视觉效果也越好。一般刷新频率在75Hz以上时,影像的闪烁才不易被人眼察觉。这个性能指标主要取决于显示卡上RAMDAC的转换速度。
第 9 题
通常,以科学计算为主的计算机, 对( )要求较高。
- (A) 外存储器的读写速度
- (B) I/O设备的速度
- (C) 显示分辨率
- (D) 主机的运算速度
答案与解析
- 试题难度:容易
- 知识点:计算机系统基础知识>计算机性能指标
- 试题答案:[['D']]
- 试题解析:本题考查计算机的基础知识。科学计算为主的PC需要更强的主机运算速度。
第 10 题
张某购买了一张有注册商标的应用软件光盘并擅自复制出售,则其行为是侵犯( )行为。
- (A) 注册商标专用权
- (B) 光盘所有权
- (C) 软件著作权
- (D) 软件著作权与商标权
答案与解析
- 试题难度:一般
- 知识点:标准化和知识产权>著作权归属判定
- 试题答案:[['C']]
- 试题解析:本题考查标准化和知识产权的基础知识。
侵犯了软件著作权。张某的行为是侵犯了软件著作权,因为他没有著作权,无权复制并销售获得收益。此处试题在误导考生选注册商标权,事实上,这种情况才算侵犯商标权:张某也开发了同样的产品,使用该光盘的注册商标,就是侵犯商标权了。
第 11 题
以下关于软件著作权产生时间的叙述中,正确的是( )。
- (A) 自软件首次公开发表时
- (B) 自开发者有开发意图时
- (C) 自软件得到国家著作权行政管理部门认可时
- (D) 自软件开发完成之日起
答案与解析
- 试题难度:一般
- 知识点:标准化和知识产权>著作权产生时间
- 试题答案:[['D']]
- 试题解析:本题考查标准化和知识产权基础知识。
自软件开发完成之日起软件著作权生效。中国公民、法人或者其他组织的作品,不论是否发表,都享有著作权。
第 12 题
数字话音的采样频率定义为8kHz,这是因为( )。
- (A) 话音信号定义的频率范围最高值小于4kHz
- (B) 话音信号定义的频率范围最高值小于8 kHz
- (C) 数字话音传输线路的带宽只有8 kHz
- (D) 一般声卡的采样处理能力只能达到每秒8k次
答案与解析
- 试题难度:较难
- 知识点:多媒体基础知识>音频
- 试题答案:[[A]]
- 试题解析:语音信号的有效频率带宽标准定义为0.3~3.4kHz,这个频率范围满足大部分人的正常话音频带特征。奈奎斯特采样定理规定:声音信号的采样频率要用原始声音信号最高频率的两倍来进行采样,才能保证原模拟信号不丢失。所以话音信号的采样频率定义为8kHz,可以满足重建话音带宽内的所有频率分量的要求。
第 13 题
GIF文件类型支持( )图像存储格式。
- (A) 真彩色
- (B) 伪彩色
- (C) 直接色
- (D) 矢量
答案与解析
- 试题难度:一般
- 知识点:多媒体基础知识>图形和图像
- 试题答案:[['B']]
- 试题解析:本题考查图像的基础知识。
GIF分为静态GIF和动画GIF两种,扩展名为.gif,是一种压缩位图格式,支持透明背景图像,适用于多种操作系统,“体型”很小,网上很多小动画都是GIF格式。其实GIF是将多幅图像保存为一个图像文件,从而形成动画,最常见的就是通过一帧帧的动画串联起来的搞笑gif图,所以归根到底GIF仍然是图片文件格式。但GIF只能显示256色。和jpg格式一样,这是一种在网络上非常流行的图形文件格式。
第 14 题
使用图像扫描仪以300DPI的分辨率扫描一幅3×3英寸的图片,可以得到( )像素的数字图像。
- (A) 100×100
- (B) 300×300
- (C) 600×600
- (D) 900×900
答案与解析
- 试题难度:容易
- 知识点:多媒体基础知识>图形和图像
- 试题答案:[['D']]
- 试题解析:本题考查图像的基础计算。每英寸300DPI,3×3英寸就是900×900。
第 15 题
数字签名通常采用( )对消息摘要进行加密,接收方采用( )来验证签名。
- (A) 发送方的私钥
- (B) 发送方的公钥
- (C) 接收方的私钥
- (D) 接收方的公钥
- (A) 发送方的私钥
- (B) 发送方的公钥
- (C) 接收方的私钥
- (D) 接收方的公钥
答案与解析
- 试题难度:一般
- 知识点:网络基础知识>数字签名
- 试题答案:[['A'],['B']]
- 试题解析:本题考查安全性中加密与解密知识点。
发送报文时,发送方用一个哈希函数从报文文本中生成报文摘要,然后用自己的私人密钥对这个摘要进行加密,这个加密后的摘要将作为报文的数字签名和报文一起发送给接收方,接收方首先用与发送方一样的哈希函数从接收到的原始报文中计算出报文摘要,接着再用发送方的公用密钥来对报文附加的数字签名进行解密,如果这两个摘要相同、那么接收方就能确认该数字签名是发送方的。
第 16 题
设机器字长为8,则-0的( )表示为11111111。
- (A) 反码
- (B) 补码
- (C) 原码
- (D) 移码
答案与解析
- 试题难度:一般
- 知识点:计算机系统基础知识>原码、反码、补码和移码
- 试题答案:[['A']]
- 试题解析:本题考查计算机数据的表示方法。正数的反码和原码一致,负数的反码是原码除符号位外所有位数取反。因此-0的原码为:10000000。
正数的补码和原码是一样的,负数的补码,是其原码除符号位外取反加一。-0的补码为00000000。
移码是将补码的符号位取反,因此-0的补码为10000000。
第 17 题
设有一个64K×32位的存储器(每个存储单元为32位),其存储单元的地址宽度为( )。
- (A) 15
- (B) 16
- (C) 30
- (D) 32
答案与解析
- 试题难度:一般
- 知识点:计算机系统基础知识>总线系统
- 试题答案:[['B']]
- 试题解析:本题考查存储管理的基础知识。64x32k/32=216 总共16位。
第 18 题
设32位浮点数格式如下。以下关于浮点数表示的叙述中,正确的是( )。若阶码采用补码表示,为8位(含1位阶符),尾数采用原码表示,为24位(含1位数符),不考虑规格化,阶码的最大值为( )。

- (A) 浮点数的精度取决于尾数M的位数,范围取决于阶码E的位数
- (B) 浮点数的精度取决于阶码E的位数,范围取决于尾数M的位数
- (C) 浮点数的精度和范围都取决于尾数M的位数,与阶码E的位数无关
- (D) 浮点数的精度和范围都取决于阶码E的位数,与尾数M的位数无关
- (A) 255
- (B) 256
- (C) 127
- (D) 128
答案与解析
- 试题难度:一般
- 知识点:计算机系统基础知识>浮点数
- 试题答案:[['A'],['C']]
- 试题解析: 本题考查计算机数据的表示。浮点数所能表示的数值范围主要由阶码决定,所表示数值的精度则由尾数决定。
八位阶码的最大值为127。
第 19 题
在网络操作系统环境中,当用户A的文件或文件夹被共享时,( ),这是因为访问用户A的计算机或网络的人( )。
- (A) 其安全性与未共享时相比将会有所提高
- (B) 其安全性与未共享时相比将会有所下降
- (C) 其可靠性与未共享时相比将会有所提高
- (D) 其方便性与未共享时相比将会有所下降
- (A) 只能够读取,而不能修改共享文件夹中的文件
- (B) 可能能够读取,但不能复制或更改共享文件夹中的文件
- (C) 可能能够读取、复制或更改共享文件夹中的文件
- (D) 不能够读取、复制或更改共享文件夹中的文件
答案与解析
- 试题难度:容易
- 知识点:操作系统基础知识>文件管理
- 试题答案:[['B'],['C']]
- 试题解析:本题考查文件安全性知识。在网络操作系统环境中,当用户文件或文件夹被共享时,其安全性与未共享时相比将会有所下降,这是因为访问用户A的计算机或网络的人能够读取、复制或更改共享文件夹中的文件。
第 20 题
假设某企业有一个仓库。该企业的生产部员工不断地将生产的产品送入仓库,销售部员工不断地从仓库中取产品。假设该仓库能容纳n件产品。采用PV操作实现生产和销售的同步模型如下图所示,该模型设置了3个信号量S、S1和S2,其中信号量S的初值为1,信号量S1的初值为( ),信号量S2的初值为( )。

- (A) -1
- (B) 0
- (C) 1
- (D) N
- (A) -1
- (B) 0
- (C) 1
- (D) N
答案与解析
- 试题难度:一般
- 知识点:操作系统基础知识>PV操作、互斥和同步模型
- 试题答案:[['D'],['B']]
- 试题解析:本题考查操作系统中进程通信的基础内容,可参考《程序员教程(第四版)》第53页,例2-3。对于信号量S1表示仓库中空闲单元数(大于0表示可以将产品放入),初值为n。
S2表示缓冲区的产品数,初值为0。
第 21 题
下列操作系统中,( )主要特性是支持网络系统的功能,并具有透明性。
- (A) 批处理操作系统
- (B) 分时操作系统
- (C) 分布式操作系统
- (D) 实时操作系统
答案与解析
- 试题难度:一般
- 知识点:操作系统基础知识>操作系统概述
- 试题答案:[[C]]
- 试题解析:本题考察操作系统的分类。参考《程序员教程(第四版)》第46页。分布式操作系统是网络操作系统的更高级形式,它保持网络系统系统所拥有的全部功能,同时又具有透明性、可靠性和高性能等特性。
第 22 题
一个应用软件的各个功能模块可采用不同的编程语言来编写,分别编译并产生( ),再经过( )后形成在计算机上运行的可执行程序。
- (A) 源程序
- (B) 目标程序
- (C) 汇编程序
- (D) 子程序
- (A) 汇编
- (B) 反编译
- (C) 预处理
- (D) 链接
答案与解析
- 试题难度:一般
- 知识点:程序设计语言>链接程序
- 试题答案:[['B'],['D']]
- 试题解析:本题考察程序语言基础知识。一个应用软件的各个功能模块可采用不同的编程语言来编写,分别编译并产生目标程序,再经过链接后形成在计算机上运行的可执行程序。
第 23 题
函数调用时若实参是数组名,则是将( )传递给对应的形参。
- (A) 数组元素的个数
- (B) 数组所有元素的拷贝
- (C) 数组空间的起始地址
- (D) 数组空间的大小
答案与解析
- 试题难度:容易
- 知识点:程序设计语言>传值和传址调用
- 试题答案:[['C']]
- 试题解析:本题考查程序语言的基础知识。函数调用时若实参是数组名,则是将数组空间的起始位置传递给对应的形参。
第 24 题
函数main()、test()的定义如下所示,调用函数test时,第一个参数采用传值方式,第二个参数采用传引用方式,main函数中"print(x,y)”执行后,输出结果为( )。

- (A) 1,5
- (B) 3,5
- (C) 7,5
- (D) 7,10
答案与解析
- 试题难度:一般
- 知识点:程序设计语言>传值和传址调用
- 试题答案:[['C']]
- 试题解析:本题考查程序语言的基础知识。过程(或函数)首部声明的参数称为形式参数,简称形参;过程(或函数)调用时的参数称为实际参数,简称实参。
传值调用以实参向形式参数传递相应类型的值,在这种方式下,形式参数不能向实际参数返回信息。引用调用将实际参数的地址传递给形式参数,使得形参的地址就是对应的实参的地址,因此改变形参的值会改变实参的值。
在本题中,test(int x,int&a)x=5,a=1,经过test函数运算后,x=6,a=7,而返回时,因为a为引用调用,因此其会改变x的值,使得main函数的x值变为7,而y的值不发生变化,仍为5。答案选C。
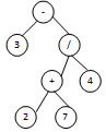
第 25 题
与算术表达式3 - (2+7) /4对应的二叉树为( )。
- (A)
- (B)
- (C)
- (D)
答案与解析
- 试题难度:一般
- 知识点:程序设计语言>表达式
- 试题答案:[['B']]
- 试题解析:本题考查编译过程中语法树的基础知识。对于算术表达式的二叉树表示,要看其运算的过程而定。最先运算的树位于最低层。
第 26 题
递归函数执行时,其调用和返回控制是利用( )来进行的。
- (A) 栈
- (B) 对列
- (C) 数组
- (D) 树
答案与解析
- 试题难度:容易
- 知识点:数据结构和算法>栈的用途
- 试题答案:[['A']]
- 试题解析:本题考查数据结构与算法的基础知识。在计算机语言的实现以及将递归过程转化为非递归过程的处理中,栈有重要的作用。
第 27 题
对于长度为n的线性表(即n个元素构成的序列),若采用顺序存储结构(数组存储),则在等概率下,删除一个元素平均需要移动的元素数为( )。
- (A) n
- (B) (n-1)/2
- (C) N/2
- (D) Log n
答案与解析
- 试题难度:容易
- 知识点:数据结构和算法>顺序表和链表
- 试题答案:[['B']]
- 试题解析:本题考查数据结构与算法的基础知识。在表长为 n 的线性表中删除一个元素时,共有 n个可删除的元素。删除 a1时需要移 动n-1 个元素,删除 an 时不需要移动元素,因此,等概率下删除一个元素时平均的移动 元素个数 Edelete 为
其中 ,qi 表示删除第 i个元素 (aj) 的概率。
第 28 题
设有初始为空的栈s,对于入栈序列a、b、c、d,经由一个合法的进栈和出栈操作序列后(每个元素迸栈、出栈各1次),以c作为第一个出栈的元素时,不能得到的序列为( )。
- (A) c d b a
- (B) c b d a
- (C) c d a b
- (D) c b a d
答案与解析
- 试题难度:容易
- 知识点:数据结构和算法>栈和队列
- 试题答案:[[C]]
- 试题解析:本题考察数据结构与算法的基础知识。在本题中,c第一个出栈,则说明a、b已经入栈,那么 a应该在b后面出栈。
第 29 题
队列采用如下图所示的循环单链表表示,图(a)表示队列为空,图(b)为e1、e2.e3依次入队列后的状态,其中,rear指针指向队尾元素所在结点,size为队列长度。以下叙述中,正确的是( )。

>- (A) 入队列时需要从头至尾遍历链表,而出队列不需要 >- (B) 出队列时需要从头至尾遍历链表,而入队列不需要 >- (C) 新元素加入队列以及队头元素出队列都需要遍历链表, >- (D) 入队列和出队列操作都不需要遍历链表 **答案与解析** - 试题难度:一般 - 知识点:数据结构和算法>栈和队列 - 试题答案:[['D']] - 试题解析:本题考查数据结构与算法的基础知识。对于链表结构,插入删除元素改变指针指向即可,不需要遍历。
第 30 题
对二叉树中的结点如下编号:树根结点编号为1,根的左孩子结点编号为2、右孩子结点编号为3,依此类推,对于编号为i的结点,其左孩子编号为2i、右孩子编号为2i+1。例如,下图所示二叉树中有6个结点,结点a、b、c、d、e、f的编号分别为1、2、3、5、7、11。那么,当结点数为n(n>0)的( )时,其最后一个结点编号为2n-1

- (A) 二叉树为满二叉树(即每层的结点数达到最大值)
- (B) 二叉树中每个内部结点都有两个孩子
- (C) 二叉树中每个内部结点都只有左孩子
- (D) 二叉树中每个内部结点都只有右孩子
答案与解析
- 试题难度:一般
- 知识点:数据结构和算法>树的基本性质
- 试题答案:[[D]]
- 试题解析:本题考查数据结构基础知识。当二叉树为满二叉树时,第i层上最后一个结点的编号为2i-1,如下图所示,第2层最后一个结点的编号为22-1,第3层最后一个结点的编号为23-1。

要使得结点数n与高度一致,应使得每层只有一个结点,并且每层的结点都是其所在层的最右结点,也就是每个内部结点都只有右孩子。
第 31 题
某二叉树的先序遍历序列为ABCDFGE,中序遍历序列为BAFDGCE。以下关于该二叉树的叙述中,正确的是( )。
- (A) 该二叉树的高度(层饮数)为4
- (B) 该二叉树中结点D是叶子结点
- (C) 该二叉树是满二叉树(即每层的结点数达到最大值)
- (D) 该二叉树有5个叶子结点
答案与解析
- 试题难度:一般
- 知识点:数据结构和算法>树的遍历
- 试题答案:[[A]]
- 试题解析:本题考查数据结构与算法基础知识。
二叉树的先序遍历定义为:访问根结点,先序遍历根的左子树,先序遍历根的右子树。
二叉树的中序遍历定义为:中序遍历根的左子树,访问根结点,中序遍历根的右子树。
显然,先序遍历序列的第一个结点就是二叉树的根结点,而在中序遍历序列中,根结点的左边为左子树上的结点,右边为右子树上的结点。因此,首先由先序遍历序列确定根结点,然后在中序遍历序列中找到根结点,据此就可以将左子树和右子树的结点区分开。对于左、右子树同样处理,就可以得到对应的二叉树。
本题的二叉树为:
第 32 题
对于关键码序列(54,34,5,14,50,36,47,83),用链地址法(或拉链法)解决冲突构造散列表(即将冲突的元素存储在同一个单链表中,单链表的头指针存入散列地址对应的单元),设散列函数为H(Key)=Key MOD 7(MOD表示整除取余运算),则构造散列表时冲突次数最多的哈希单元的地址是( )。
- (A) 0
- (B) 1
- (C) 5
- (D) 6
答案与解析
- 试题难度:容易
- 知识点:数据结构和算法>哈希查找
- 试题答案:[[C]]
- 试题解析:本题考察数据结构与算法基础知识。计算关键码序列(54,34,5,14,50,36,47,83)的散列函数值,为5,6,5,0,1,1,5,6,则其出现5的次数为3次。冲突次数最多。
第 33 题
某图G的邻接矩阵如下所示。以下关于该图的叙述中,错误的是( )。

- (A) 该图存在回路(环)
- (B) 该图为完全有向图
- (C) 图中所有顶点的入度都大于0
- (D) 图中所有顶点的出度都大于0
答案与解析
- 试题难度:一般
- 知识点:数据结构和算法>图
- 试题答案:[['B']]
- 试题解析:本题考查数据结构与算法的基础知识。对于完全图,需要满足每一个顶点与其他的所有顶点都存在边,显然此图不满足。
第 34 题
设有二叉排序树如下图所示,根据关键码序列( )构造出该二叉排序树。

- (A) 30 20 10 40
- (B) 30 40 20 10
- (C) 30 20 40 10
- (D) 30 40 10 20
答案与解析
- 试题难度:一般
- 知识点:数据结构和算法>二叉排序树
- 试题答案:[['D']]
- 试题解析:本题考查数据结构与算法的基础知识。对于此题而言,10必须在20的前面。
第 35 题
对n个记录进行非递减排序,在第一趟排序之后,一定能把关键码序列中的最大或最小元素放在其最终排序位置上的排序算法是( )。
- (A) 冒泡排序
- (B) 快速排序
- (C) 直接插入排序
- (D) 归并排序
答案与解析
- 试题难度:一般
- 知识点:数据结构和算法>冒泡排序
- 试题答案:[['A']]
- 试题解析:
本题考查数据结构与算法的基础知识。冒泡排序Bubble sort:原理是临近的数字两两进行比较,按照从小到大或者从大到小的顺序进行交换,这样一趟过去后,最大或最小的数字被交换到了最后一位,然后再从头开始进行两两比较交换,直到倒数第二位时结束。
第 36 题
对于n个元素的关键码序列{k1,k2,…,Kn},当且仅当满足下列关系时称其为堆。

以下关键码序列中,( )不是堆。
- (A) 12, 25, 22, 53, 65, 60, 30
- (B) 12, 25, 22, 30, 65,60, 53
- (C) 65, 60,25, 22, 12, 53, 30
- (D) 65,60, 25, 30, 53, 12,22
答案与解析
- 试题难度:一般
- 知识点:数据结构和算法>堆排序
- 试题答案:[['C']]
- 试题解析:
本题考查数据结构与算法的基础知识。对于C选项,其k1>k2,但k3<k6,因此不满足堆的条件。
第 37 题
对象、类、继承和消息传递是面向对象的4个核心概念。其中对象是封装( )的整体。
- (A) 命名空间
- (B) 要完成任务
- (C) 一组数据
- (D) 数据和行为
答案与解析
- 试题难度:容易
- 知识点:面向对象基础知识>面向对象的其他概念
- 试题答案:[['D']]
- 试题解析:本题考查面向对象的基本概念。可参考《程序员教程(第四版)》第254页。在面向对象的系统中,对象是基本的运行时实体,它既包括数据(属性),也包括作用于数据的操作(行为)。所以,一个对象把属性和行为封装为一个整体。
第 38 题
UML由三个要素构成:UML的基本构造块、支配这些构造块如何放置在一起的规则、用于整个语言的公共机制。UML的词汇表包含三种构造块:事物、关系和图。类、接口、构件属于( )构造块。泛化和聚集等是( )。将多边形与三角形、四边形分别设计为类,多边形类与三角形之间是( )关系。
- (A) 事物
- (B) 关系
- (C) 规则
- (D) 图
- (A) 事物
- (B) 关系
- (C) 规则
- (D) 图
- (A) 关联
- (B) 依赖
- (C) 聚集
- (D) 泛化
答案与解析
- 试题难度:一般
- 知识点:面向对象基础知识>UML——关系
- 试题答案:[[A],[B],[D]]
- 试题解析:本题考察UML基础知识。UML有3种基本的构造块:事物、关系和图。
事物是对模型中最具有代表性的成分的抽象,包括结构事物,如类(Class)、接口(Interface)、协作(Collaboration)、用例(UseCase)、主动类(ActiveClass)、组件(Component)和节点(Node);行为事物,如交互(Interaction)、态机(Statemachine)、分组事物(包,Package)、注释事物(注解,Note)。
关系用来把事物结合在一起,包括依赖、关联、泛化和实现关系。
第 39 题
创建型设计模式抽象了实例化过程,有助于系统开发者将对象的创建、组合和表示方式进行抽象。以下( )模式是创建型模式。
- (A) 组合(Composite)
- (B) 装饰器(Decorator)
- (C) 代理(Proxy)
- (D) 单例(Singleton)
答案与解析
- 试题难度:一般
- 知识点:面向对象基础知识>设计模式
- 试题答案:[['D']]
- 试题解析:此题考查设计模式基础概念,需要搞清楚各个设计模式的特点与不同,设计模式共有结构型,创建型,行为型三大类,里面又各自包含了多种具体详细模式,ABC是结构型,D是创建型。
第 40 题
以下流程图中,至少设计( )—个测试用例可以分别满足语句覆盖和路径覆盖。

- (A) 1和2
- (B) 1和4
- (C) 2和2
- (D) 2和4
答案与解析
- 试题难度:一般
- 知识点:软件工程>软件测试——测试用例
- 试题答案:[['B']]
- 试题解析:本题考查软件测试的基础知识。
白盒测试的方法包括一系列的逻辑覆盖,主要的覆盖标准有语句覆盖、判定覆盖、条件覆盖、条件/判定覆盖、条件组合覆盖、修正的条件/判定覆盖和路径覆盖等。
(1)语句覆盖。语句覆盖是指选择足够多的测试用例,使得运行这些测试用例时,被测程序的每个语句至少执行一次。很显然,语句覆盖是一种很弱的覆盖标准。
(2)判定覆盖。判定覆盖也称为分支覆盖,它是指不仅每个语句至少执行一次,而且每个判定的每种可能的结果(分支)都至少执行一次。判定覆盖比语句覆盖强,但对程序逻辑的覆盖程度仍然不高。
(3)条件覆盖。条件覆盖是指不仅每个语句至少执行一次,而且使判定表达式中的每个条件都取得各种可能的结果。条件覆盖不一定包含判定覆盖,判定覆盖也不一定包含条件覆盖。
(4)路径覆盖。路径覆盖是指选取足够的测试用例,使得程序的每条可能执行到的路径都至少经过一次(如果程序中有环路,则要求每条环路路径至少经过一次)。路径覆盖实际上考虑了程序中各种判定结果的所有可能组合,因此是一种较强的覆盖标准。但路径覆盖并未考虑判定中的条件结果的组合,并不能代替条件覆盖和条件组合覆盖。
第 41 题
某一资格考试系统的需求为:管理办公室发布考试资格条件,考生报名,系统对考试资格审查,并给出资格审查信息;对符合资格条件的考生,管理办公室给出试题,考生答题,管理办公室给出答案,系统自动判卷,并将考试结果发给考生。根据该需求绘制数据流图,则( )是外部实体,( )是加工。
- (A) 考生
- (B) 试题
- (C) 资格审查
- (D) 考试资格条件
- (A) 考生
- (B) 试题
- (C) 资格审查
- (D) 考试资格条件
答案与解析
- 试题难度:一般
- 知识点:数据库基础知识>数据流图
- 试题答案:[['A'],['C']]
- 试题解析:本题考察数据流图的基础知识。在DFD中,通常会出现4种基本符号,分别是数据流、加工、数据存储和外部实体(数据源及数据终点)。数据流是具有名字和流向的数据,在DFD中用标有名字的箭头表示。加工是对数据流的变换,一般用圆圈表示。数据存储是可访问的存储信息,一般用直线段表示。外部实体是位于被建模的系统之外的信息生产者或消费者,是不能由计算机处理的成分,它们分别表明数据处理过程的数据来源及数据去向,用标有名字的方框表示。
第 42 题
由于设计缺陷和编码缺陷对已经运行的软件系统进行修改,此行为属于( )维护。
- (A) 改正性
- (B) 适应性
- (C) 完善性
- (D) 预防性
答案与解析
- 试题难度:一般
- 知识点:软件工程>软件运行与维护
- 试题答案:[[A]]
- 试题解析:软件维护有如下类型:
(1)更正性维护,是指在使用过程中发现了隐蔽的错误后,为了诊断和改正这些隐蔽错误而修改软件的活动,该类维护一般占总维护工作量的17-21%;
(2)适应性维护,是指为了适应变化了的环境而修改软件的活动,该类维护一般占总维护工作量的18-25%;
(3)完善性维护,是指为了扩充或完善原有软件的功能或性能而修改软件的活动,该类维护一般占总维护工作量的60%;
(4)预防性维护,是指为了提高软件的可维护性和可靠性、为未来的进一步改进打下基础而修改软件的活动,该类维护一般占总维护工作量的5%。
第 43 题
IT企业对专业程序员的素质要求中,不包括( )。
- (A) 能千方百计缩短程序提高运行效率
- (B) 与企业文化高度契合
- (C) 参与软件项目开发并解决所遇到的问题
- (D) 诚信、聪明、肯干
答案与解析
- 试题难度:一般
- 知识点:软件工程>程序员职业素养
- 试题答案:[['A']]
- 试题解析:本题考查程序员的能力要求。千方百计缩短程序是没有必要的,关键是程序运行正常,没有错误,其次才是性能要求。
第 44 题
以下关于软件开发相关的叙述中,不正确的是( )。
- (A) 专业程序员应将复杂的问题分解为若干个相对简单的易于编程的问题
- (B) 移动互联网时代的软件开发人员应注重用户界面设计,提高用户体验
- (C) 软件测试时应对所有可能导致软件运行出错的情况都进行详尽的测试
- (D) 软件设计者应有敏锐的产品感觉,不因枝节而影响产品的迭代和上线。
答案与解析
- 试题难度:一般
- 知识点:软件工程>软件测试
- 试题答案:[["C"]]
- 试题解析:本题考查对软件测试原则的理解。
软件测试的目的是发现软件的错误,验证软件是否满足用户需求,并通过分析软件错误产生的原因,以帮助发现当前开发工作所采用的软件过程的缺陷,以便进行软件过程改进。通过软件测试不可能完全消除错误,完全测试是不可能的,因为不可能穷举软件的所有测试路径、输入与输出。因此软件测试对所有可能导致软件运行出错的情况都进行详尽的测试是不可能的。</span></p></div>
第 45 题
软件文档的作用不包括( )。
- (A) 有利于提高软件开发的可见度
- (B) 有利于软件维护和用户使用
- (C) 有利于总结经验和实现可重用
- (D) 有利于各企业之间交流技术
答案与解析
- 试题难度:一般
- 知识点:软件工程>软件工程概述
- 试题答案:[['D']]
- 试题解析:
在软件的生产过程中,总是伴随着大量的信息要记录、要使用。因此,软件文档在产品的开发生产过程中起着重要的作用。
1)提高软件开发过程的能见度。把开发过程中发生的事件以某种可阅读的形式记录在文档中。管理人员可把这些记载下来的材料作为检查软件开发进度和开发质量的依据,实现对软件开发的工程管理。
2)提高开发效率。软件文档的编制,使得开发人员对各个阶段的工作都进行周密思考、全盘权衡、从而减少返工。并且可在开发早期发现错误和不一致性,便于及时加以纠正。
3)作为开发人员在一定阶段的工作成果和结束标志。
4)记录开发过程中的有关信息,便于协调以后的软件、开发、使用和维护。
5)提供对软件的运行、维护和培训的有关信息,便于管理人员、开发人员、操作人员、用户之间的协作、交流和了解。使软件开发活动更科学、更有成效。
6)便于潜在用户了解软件的功能、性能等各项指标,为他们选购符合自己需要的软件提供依据。
第 46 题
某公司的程序员小王写了一些提升编程能力的经验,其中( )并不恰当。
- (A) 只参加最适合提升自己技术能力的项目
- (B) 根据项目特点选择合适的开发环境和工具,抓紧学习
- (C) 重视培养自己的沟通能力,包括撰写文档的能力
- (D) 参加网络上的编程论坛,善于向高手学习
答案与解析
- 试题难度:容易
- 知识点:软件工程>程序员职业素养
- 试题答案:[['A']]
- 试题解析:程序员也应配合公司需要参与到其他的项目。
第 47 题
数据字典存放的是( )。
- (A) 数据库管理系统软件
- (B) 数据定义语言DDL
- (C) 数据库应用程序
- (D) 各类数据描述的集合
答案与解析
- 试题难度:一般
- 知识点:数据库基础知识>数据库系统
- 试题答案:[[D]]
- 试题解析:数据字典是用来定义数据流图中各个成分的具体含义,它以一种准确的、无二义性的说明方法为系统的分析、设计及维护提供了有关元素一致的定义和详细的描述。
数据字典是指对数据的数据项、数据结构、数据流、数据存储、处理逻辑、外部实体等进行定义和描述,其目的是对数据流程图中的各个元素做出详细的说明,使用数据字典为简单的建模项目。简而言之,数据字典是描述数据的信息集合,是对系统中使用的所有数据元素的定义的集合。
第 48 题
在数据库设计过程中,关系规范化属于( )。
- (A) 概念结构设计
- (B) 逻辑结构设计
- (C) 物理设计
- (D) 数据库实施
答案与解析
- 试题难度:一般
- 知识点:数据库基础知识>数据库系统
- 试题答案:[[B]]
- 试题解析:数据字典是用来定义数据流图中各个成分的具体含义,它以一种准确的、无二义性的说明方法为系统的分析、设计及维护提供了有关元素一致的定义和详细的描述。
数据库设计可以分为需求分析阶段、概念结构设计、逻辑结构设计和物理结构设计等阶段。
需求分析阶段:分析用户的需求,包括数据、功能和性能需求;
概念结构设计:在分析阶段,已经得到了系统的数据流程图和数据字典,现在要结合数据规范化的理论,用一种数据模型将用户的数据需求明确地表示出来。概念数据模型是面向问题的模型,反映了用户的现实工作环境,是与数据库的具体实现技术无关的。建立系统概念数据模型的过程叫做概念结构设计。
逻辑结构设计:根据已经建立的概念数据模型,以及所采用的某个数据库管理系统软件的数据模型特性,按照一定的转换规则,把概念模型转换为这个数据库管理系统所能够接受的逻辑数据模型。不同的数据库管理系统提供了不同的逻辑数据模型,如层次模型、网状模型、关系模型等。物理结构设计:为一个确定的逻辑数据模型选择一个最适合应用要求的物理结构的过程,就叫做数据库的物理结构设计。
数据库在物理设备上的存储结构和存取方法称为数据库的物理数据模型。
第 49 题
设有一个关系emp-sales(部门号,部门名,商品编号,销售数),查询各部门至少销售了5种商品或者部门总销售数大于2000的部门号、部门名及平均销售数的SQL语句如下:
SELECT部门号,部门名,AVG(销售数)AS平均销售数
FROM emp-sales
GROUP BY ( )
HAVING ( ) OR ( );
- (A) 部门号
- (B) 部门名
- (C) 商品编号
- (D) 销售数
- (A) COUNT(商品编号)>5
- (B) COUNT(商品编号)>=5
- (C) COUNT(DISTINCT部门号)>=5
- (D) COUNT(DISTINCT部门号)>5
- (A) SUM(销售数)>2000
- (B) SUM(销售数)>=2000
- (C) SUM(‘销售数’)>2000
- (D) SUM(‘销售数’)>=2000
答案与解析
- 试题难度:一般
- 知识点:数据库基础知识>SQL语言——查找
- 试题答案:[['A'],['B'],['A']]
- 试题解析:本题考查数据库SQL基础知识。要查询各部门至少销售了5种商品或者部门总销售数大于2000的部门号、部门名及平均销售数的SQL语句为:
SELECT部门号,部门名,AVG(销售数)AS平均销售数
FROM emp-sales
GROUP BY部门号
HAVING COUNT(商品编号)>=5 OR SUM(销售数)>2000
第 50 题
事务有多种性质,“当多个事务并发执行时,任何一个事务的更新操作直到其成功提交前的整个过程,对其他事务都是不可见的。”这一性质属于事务的( )性质。
- (A) 原子性
- (B) 一致性
- (C) 隔离性
- (D) 持久性
答案与解析
- 试题难度:容易
- 知识点:数据库基础知识>数据库控制
- 试题答案:[[C]]
- 试题解析:原子性:事务是原子的,要么做,要么都不做。
一致性:事务执行的结果必须保证数据库从一个一致性状态变到另一个一致性状态。
隔离性:事务相互隔离。当多个事务并发执行时,任一事务的更新操作直到其成功提交的整个过程,对其它事物都是不可见的。
持久性:一旦事务成功提交,即使数据库崩溃,其对数据库的更新操作也永久有效。
串行调度:多个事务依次串行执行,且只有当一个事务的所有操作都执行完后才执行另一个事务的所有操作。
可串行化保证了事务并行调度时,相互不破坏,同时保证了数据从一个一致性状态到另一个一致性状态。
第 51 题
某二进制数字串共有15位,其中的数字1共有四个连续子串,从左到右依次有1、5、3、2位,各子串之间都至少有1个数字0。例如,101111101110011、100111110111011都是这种二进制数字串。因此可推断,该种数字串中一定是1的位共有( )位。
- (A) 7
- (B) 8
- (C) 9
- (D) 1 1
答案与解析
- 试题难度:较难
- 知识点:计算机系统基础知识>进制的表示
- 试题答案:[['A']]
- 试题解析:本题考查初等数学基础知识。 A0_B0_C0_D 总共15位,ABCD四部分+间隔的3个0共14位,还剩1个0插空共五种情况分别写出。
把所有的情况都列出来,可以看出第4-7位、10-11位、14位上面永远是1,所以总共是7个。选择A选项。
第 52 题
假设某公司生产的某种商品的销售量N是价格P的函数:N=7500-50P,10<P<150;成本C是销售量N的函数:C=25000+40N;销售每件商品需要交税10元。据此,每件商品定价P=( )元能使公司获得最大利润。
- (A) 50
- (B) 80
- (C) 100
- (D) 120
答案与解析
- 试题难度:一般
- 知识点:数据结构和算法>其他计算题
- 试题答案:[['C']]
- 试题解析:本题考查初等数学基础知识。N是销售量,P是销售价格。
利润=总收入-总成本-总税收
=销售量销售价格-成本C-销售量单件税收=NP-C-10N=NP-(25000+40N)-10N=N(P-50)-25000=(7500-50P)(P-50)-25000=50(150-P)(P-50)-25000
根据高中所学知识,要求y=(150-P)*(P-50)越大收益越大。
根据y=0得到:曲线y与x轴的两交点为50,150,该曲线为向下的抛物线,最大值在P=(50+150)/2=100时得到。
第 53 题
某机构为了解云计算的驱动力,对我国一批企业进行了问卷调查(题型为多选题),选择A“优化现有IT效率和效力”的企业占86%,选择B“降低IT成本”的企业占79%,选择C“灾难恢复及保持业务连续性”的企业占80%。据此可推算出,至少有( )的企业同时选择了这三项。
- (A) 45%
- (B) 54%
- (C) 66%
- (D) 79%
答案与解析
- 试题难度:一般
- 知识点:数据结构和算法>其他计算题
- 试题答案:[['A']]
- 试题解析:本题考查初等数学基础知识。本题求至少有多少企业选择了这三项,那么要想使得选择三项的企业数最少,则选择两项的企业数最多。即:没有选择A的企业均选择了B和C选项,没有选择B的企业均选择了A和C选项,没有选择C的企业均选择了B和A选项,则最多有(100%-86%)+(100%-79%)+(100%-80%)=55%,则至少有45%的企业同时选择了这三项。
第 54 题
HTML页面的“<title>主页</title>”代码应写在( )标记内。
- (A) <body></body>
- (B) <head></head>
- (C) <font></font>
- (D) <frame></frame>
答案与解析
- 试题难度:一般
- 知识点:网络基础知识>浏览器相关知识
- 试题答案:[['B']]
- 试题解析:本题考查HTML的基础知识。 <title> 元素可定义文档的标题。浏览器会以特殊的方式来使用标题,并且通常把它放置在浏览器窗口的标题栏或状态栏上。同样,当把文档加入用户的链接列表或者收藏夹或书签列表时,标题将成为该文档链接的默认名称。
body 元素定义文档的主体。body 元素包含文档的所有内容(比如文本、超链接、图像、表格和列表等等。<head> 标签用于定义文档的头部,它是所有头部元素的容器。
<head> 中的元素可以引用脚本、指示浏览器在哪里找到样式表、提供元信息等等。文档的头部描述了文档的各种属性和信息,包括文档的标题、在 Web 中的位置以及和其他文档的关系等。绝大多数文档头部包含的数据都不会真正作为内容显示给读者。下面这些标签可用在 head 部分:<base>, <link>, <meta>, <script>, <style>, 以及 <title>。
<title> 定义文档的标题,它是 head 部分中唯一必需的元素。
第 55 题
有以下HTML代码,在浏览器中显示正确的是( ) 。
<table border="1">
<tr>
<th>Name</th>
<th colspan="2">Tel</th>
</tr>
<tr>
<td>Laura Welling</td>
<td>555 77 854</td>
<td>555 77 854</td>
</tr>
</table>
- (A)
- (B)
- (C)
- (D)
答案与解析
- 试题难度:一般
- 知识点:网络基础知识>浏览器相关知识
- 试题答案:[['A']]
- 试题解析:本题考查HTML的基础知识。
colspan =number 规定 col 元素应该横跨的列数。
<table> 标签定义 HTML 表格。简单的 HTML 表格由 table 元素以及一个或多个 tr、th 或 td 元素组成。tr 元素定义表格行,th 元素定义表头,td 元素定义表格单元。更复杂的 HTML 表格也可能包括 caption、col、colgroup、thead、tfoot 以及 tbody 元素。
border规定表格边框的宽度。
第 56 题
传输经过SSL加密的网页所采用的协议是( )。
- (A) HTTP
- (B) HTTPS
- (C) S-HTTP
- (D) HTTP-S
答案与解析
- 试题难度:一般
- 知识点:网络基础知识>网络安全
- 试题答案:[['B']]
- 试题解析:本题考查网络安全基础知识。HTTPS(全称:Hyper Text Transfer Protocol over Secure Socket Layer),是以安全为目标的HTTP通道,简单讲是HTTP的安全版。即HTTP下加入SSL层,HTTPS的安全基础是SSL,因此加密的详细内容就需要SSL。
第 57 题
动态主机配置协议(DHCP)的作用是( );DHCP客户机如果收不到服务器分配的IP地址,则会获得一个自动专用的IP地址(APIPA),如169.254.0.X。
- (A) 为客户机分配一个永久的IP地址
- (B) 为客户机分配一个暂时的IP地址
- (C) 检测客户机地址是否冲突
- (D) 建立IP地址与MAC地址的对应关系
答案与解析
- 试题难度:容易
- 知识点:网络基础知识>OSI和TCP/IP协议簇
- 试题答案:[['B']]
- 试题解析:本题考查网络基础知识。
DHCP(Dynamic Host Configuration Protocol,动态主机配置协议)通常被应用在大型的局域网络环境中,主要作用是集中的管理、分配IP地址,使网络环境中的主机动态的获得IP地址、Gateway地址、DNS服务器地址等信息,并能够提升地址的使用率。
本题中客户机获取了一个169.254.0.X的地址说明:客户端是动态从DHCP服务器上来获取IP地址失败后出现的一种情况。所以结合题干的意思来看本题应选择B。
第 58 题
SNMP属于OSI/RM的( )协议。
- (A) 管理层
- (B) 应用层
- (C) 传输层
- (D) 网络层
答案与解析
- 试题难度:一般
- 知识点:网络基础知识>OSI和TCP/IP协议簇
- 试题答案:[['B']]
- 试题解析:本题考查网络基础知识。
SNMP简单网络管理协议,简化了大型网络中设备的管理和数据的获取,效率高,得到非常广泛的应用,是目前最常用的网络管理协议。现已经有三个版本,其中V3版本增强了在安全上的控制。
七层协议对应关系如下:

第 59 题
The operation of removing an element from the stack is said to( )the stack.
- (A) pop
- (B) push
- (C) store
- (D) fetch
答案与解析
- 试题难度:一般
- 知识点:专业英语>数据结构和算法专业英语
- 试题答案:[[A]]
- 试题解析:从栈中删除一个元素的操作可以称为从栈中取出来。栈(stack)又名堆栈,它是一种运算受限的线性表。其限制是仅允许在表的一端进行插入和删除运算。这一端被称为栈顶,相对地,把另一端称为栈底。向一个栈插入新元素又称作进栈、入栈或压栈,它是把新元素放到栈顶元素的上面,使之成为新的栈顶元素;从一个栈删除元素又称作出栈或退栈,它是把栈顶元素删除掉,使其相邻的元素成为新的栈顶元素。pop stack表示出栈。
第 60 题
( )products often feature games with learning embedded into them.
- (A) Program
- (B) Database
- (C) Software
- (D) Multimedia
答案与解析
- 试题难度:一般
- 知识点:专业英语>计算机系统英语知识
- 试题答案:[[D]]
- 试题解析:多媒体产品通常会嵌入学习以使得游戏具有特色。
第 61 题
When an object receives a( ), methods contained within the object respond.
- (A) parameter
- (B) information
- (C) message
- (D) data
答案与解析
- 试题难度:一般
- 知识点:专业英语>软件工程专业英语知识
- 试题答案:[[C]]
- 试题解析:当一个对象接收到()时,其包含对象需要的响应。
A 参数
B 信息
C 消息
D 数据
在面向对象方法中,对象之间通过发送消息进行通信,当其发送给某个对象时, 包含要求接收对象去执行某些活动的信息。
第 62 题
Make( )copies of important files, and store them on separate locations to protect your information.
- (A) back
- (B) back-up
- (C) back-out
- (D) background
答案与解析
- 试题难度:一般
- 知识点:专业英语>计算机系统英语知识
- 试题答案:[[B]]
- 试题解析:()重要文件的副本,并存储在不同的位置以保护您的信息。
A后退
B.备份
C退出
D.背景
第 63 题
( )is a process that consumers go through to purchase products or services over the Internet.
- (A) E- learning
- (B) E-government
- (C) Online analysis
- (D) Online shopping
答案与解析
- 试题难度:一般
- 知识点:专业英语>网络专业英语知识
- 试题答案:[[D]]
- 试题解析:()是消费者通过互联网购买产品或服务的过程。
A 电子学习
B.电子政务
C.在线分析
D.网上购物







