201305系分上午真题
第 1 题
UML用系统视图描述系统的组织结构。其中,( )对系统的物理代码的文件和构件进行建模。
- (A) 构件视图
- (B) 物理视图
- (C) 实现视图
- (D) 部署视图
答案与解析
- 试题难度:一般
- 知识点:需求工程>UML
- 试题答案:[['C']]
- 试题解析:UML对系统架构的定义是系统的组织结构,包括系统分解的组成部分,以及它们的关联性、交互机制和指导原则等提供系统设计的信息。具体来说,就是指以下5个系统视图:(1)逻辑视图。逻辑视图也称为设计视图,它表示了设计模型中在架构方面具有重要意义的部分,即类、子系统、包和用例实现的子集。(2)进程视图。进程视图是可执行线程和进程作为活动类的建模,它是逻辑视图的一次执行实例,描述了并发与同步结构。(3)实现视图。实现视图对组成基于系统的物理代码的文件和构件进行建模。(4)部署视图。部署视图把构件部署到一组物理节点上,表示软件到硬件的映射和分布结构。(5)用例视图。用例视图是最基本的需求分析模型。另外,UML还允许在一定的阶段隐藏模型的某些元素、遗漏某些元素,以及不保证模型的完整性,但模型逐步地要达到完整和一致。
第 2 题
在数据库设计的需求分析、概念结构设计、逻辑结构设计和物理结构设计的四个阶段中,基本E-R图是( );数据库逻辑结构设计阶段的主要工作步骤依次为( )。
- (A) 需求分析阶段形成的文档,并作为概念结构设计阶段的设计依据
- (B) 逻辑结构设计阶段形成的文档,并作为概念结构设计阶段的设计依据
- (C) 概念结构设计阶段形成的文档,并作为逻辑结构设计阶段的设计依据
- (D) 概念结构设计阶段形成的文档,并作为物理设计阶段的设计依据
- (A) 关系规范化→转换为数据模型→模式优化→设计用户模式
- (B) 转换为数据模型→关系规范化→模式优化→设计用户模式
- (C) 模式优化→设计用户模式→关系规范化→转换为数据模型
- (D) 设计用户模式→模式优化→关系规范化→转换为数据模型
答案与解析
- 试题难度:一般
- 知识点:数据库系统>ER模型
- 试题答案:[[C],[B]]
- 试题解析:
本题考查数据库的分析与设计过程,每个阶段结束的时候都有相应的产出物,如图所示。
从图可以看出,ER图是概念结构设计阶段的产出物。数据库逻辑结构设计阶段的任务是将ER图转成数据模式(如:关系模式),然后通过规范化将其结构调整好,并做相应的优化,最后是形成用户模式。
第 3 题
UML中的事物也称为建模元素,( )在模型中属于静态的部分,代表概念上或物理上的元素。这些元素中,( )定义了交互操作。
- (A) 分组事物
- (B) 结构事物
- (C) 行为事物
- (D) 物理事物
- (A) 节点
- (B) 活动类
- (C) 接口
- (D) 协作
答案与解析
- 试题难度:一般
- 知识点:需求工程>UML
- 试题答案:[['B'],['D']]
- 试题解析:
UML中的事物也称为建模元素,包括结构事物(structural things)、行为事物(behavioral things,动作事物)、分组事物(grouping things)和注释事物(annotational things,注解事物)。这些事物是UML模型中最基本的OO构造块。
(1)结构事物。结构事物在模型中属于最静态的部分,代表概念上或物理上的元素。UML有七种结构事物,分别是类、接口、协作、用例、活动类、构件和节点。类是描述具有相同属性、方法、关系和语义的对象的集合,一个类实现一个或多个接口;接口是指类或构件提供特定服务的一组操作的集合,接口描述了类或构件的对外的可见的动作;协作定义了交互的操作,是一些角色和其他事物一起工作,提供一些合作的动作,这些动作比事物的总和要大;用例是描述一系列的动作,产生有价值的结果。在模型中用例通常用来组织行为事物。用例是通过协作来实现的;活动类的对象有一个或多个进程或线程。活动类和类很相似,只是它的对象代表的事物的行为和其他事物是同时存在的;构件是物理上或可替换的系统部分,它实现了一个接口集合;节点是一个物理元素,它在运行时存在,代表一个可计算的资源,通常占用一些内存和具有处理能力。一个构件集合一般来说位于一个节点,但有可能从一个节点转到另一个节点。(2)行为事物:行为事物是UML 模型中的动态部分,代表时间和空间上的动作。UML有两种主要的行为事物。第一种是交互(内部活动),交互是由一组对象之间在特定上下文中,为达到特定目的而进行的一系列消息交换而组成的动作。交互中组成动作的对象的每个操作都要详细列出,包括消息、动作次序(消息产生的动作)、连接(对象之间的连接);第二种是状态机,状态机由一系列对象的状态组成。(3)分组事物。分组事物是UML 模型中组织的部分,可以把它们看成是个盒子,模型可以在其中进行分解。UML只有一种分组事物,称为包。包是一种将有组织的元素分组的机制。与构件不同的是,包纯粹是一种概念上的事物,只存在于开发阶段,而构件可以存在于系统运行阶段。(4)注释事物。注释事物是UML模型的解释部分。
第 4 题
第 5 题
下图为DARPA提出的公共入侵检测框架示意图,该系统由4个模块组成。其中模块①~④分别是( )。

- (A) 事件产生器、事件数据库、事件分析器、响应单元
- (B) 事件分析器、事件产生器、响应单元、事件数据库
- (C) 事件数据库、响应单元、事件产生器、事件分析器
- (D) 响应单元、事件分析器、事件数据库、事件产生器
答案与解析
- 试题难度:容易
- 知识点:信息安全>入侵检测
- 试题答案:[['D']]
- 试题解析:
公共入侵检测框架示意图如下所示:
所以题目中①~④分别应为:响应单元、事件分析器、事件数据库、事件产生器。
第 6 题
利用报文摘要算法生成报文摘要的目的是( )。
- (A) 验证通信对方的身份,防止假冒
- (B) 对传输数据进行加密,防止数据被窃听
- (C) 防止发送方否认发送过的数据
- (D) 防止发送的报文被篡改
答案与解析
- 试题难度:容易
- 知识点:信息安全>信息摘要与数字签名
- 试题答案:[[D]]
- 试题解析:
报文摘要是使用单向哈希函数算法,将任意长度的报文经计算得出的固定位输出。所谓单向是指该算法是不可逆的找出具有同一报文摘要的两个不同报文是很困难的。正是因为报文摘要具备此特性,所以我们在传报文的过程中,会产生报文摘要,把摘要通过不同方式传送给对方,对方接收到报文与报文摘要后可以通过摘要对报文进行验证,以确定报文是否被篡改。所以报文摘要是一种保护数据完整性的手段,他可以防止发送的报文被篡改。
第 7 题
以下关于利用三重DES进行加密的说法,( )是正确的。
- (A) 三重DES的密钥长度是56位
- (B) 三重DES使用三个不同的密钥进行三次加密
- (C) 三重DES的安全性高于DES
- (D) 三重DES的加密速度比DES加密速度快
答案与解析
- 试题难度:容易
- 知识点:信息安全>对称加密与非对称加密
- 试题答案:[[C]]
- 试题解析:
DES是一种迭代的分组密码,明文和密文都是64位,使用一个56位的密钥以及附加的8位奇偶校验位。攻击DES的主要技术是穷举法,由于DES的密钥长度较短,为了提高安全性,就出现了使用112位密钥对数据进行三次加密的算法(3DES),即用两个56位的密钥K1和K2,发送方用K1加密,K2解密,再使用K1加密;接收方则使用K1解密,K2加密,再使用K1解密,其效果相当于将密钥长度加倍。
从上述描述可知三重DES的密钥是112位,而非56位;在加密过程中是使用2个不同的密钥进行三次加密,而非3个;三重DES由于加密次数多,所以安全性比DES高,而加密速度比DES慢。
第 8 题
在面向对象系统中,有两个类存在整体与部分的关系,如果部分可能同时属于多个整体,则两者之间的关系称为( );如果部分和整体具有统一的生命周期,则两者之间的关系称为( )。
- (A) 聚合关系
- (B) 依赖关系
- (C) 泛化关系
- (D) 组合关系
- (A) 聚合关系
- (B) 依赖关系
- (C) 泛化关系
- (D) 组合关系
答案与解析
- 试题难度:一般
- 知识点:需求工程>UML
- 试题答案:[['A'],['D']]
- 试题解析:
在面向对象系统中,类之间的整体与部分关系可分为:聚合关系和组合关系两种类型。
(1)聚合关系。其含义是“部分”可能同时属于多个“整体”,“部分”与“整体”的生命周期可以不相同。例如,汽车和车轮就是聚合关系,车子坏了,车轮还可以用;车轮坏了,可以再换一个。
(2)组合聚集。与聚合关系的区别在于,组合关系中的“部分”只能属于一个“整体”,“部分”与“整体”的生命周期相同,“部分”随着“整体”的创建而创建,也随着“整体”的消亡而消亡。例如,一个公司包含多个部门,它们之间的关系就是组合关系。公司一旦倒闭,也就无所谓部门了。
第 9 题
支持电子邮件加密服务的标准或技术是( )。
>- (A) PGP >- (B) PKI >- (C) SET >- (D) Kerberos **答案与解析** - 试题难度:一般 - 知识点:信息安全>网络安全协议 - 试题答案:[[A]] - 试题解析:PGP是一个基于RSA的邮件加密软件,可以用它对邮件保密以防止非授权者阅读,它还能对邮件加上数字签名,从而使收信人可以确信邮件发送者。PGP的基本原理是,先用对称密钥加密传送的信息,再将该对称加密密钥以接收方的公钥加密,组成数字信封,并将此密钥交给公正的第三方保管;然后,将此数字信封传送给接收方。接收方必须先以自己的私钥将数字信封拆封,以获得对称解密密钥,再以该对称解密密钥解出真正的信息,兼顾方便与效率。
第 13 题
某计算机系统采用4级流水线结构执行命令,设每条指令的执行由取指令(2Δt)、分析指令(1Δt)、取操作数(3Δt)、运算并保存结果(2Δt)组成(注:括号中是指令执行周期)。并分别用4个子部件完成,该流水线的最大吞吐率为( );若连续向流水线输入5条指令,则该流水线的加速比为( )。
- (A) 1
- (B)
- (C)
- (D)
- (A) 1∶1
- (B) 2∶1
- (C) 8∶3
- (D) 3∶8
答案与解析
- 试题难度:一般
- 知识点:计算机组成与体系结构>流水线技术
- 试题答案:[['C'],['B']]
- 试题解析:
本题考查流水线的相关计算。
流水线最大吞吐率计算公式为:
其中K代表流水线级数,n为指令数,t为流水线周期。所以本题流水的最大吞吐率为
。
流水线加速比计算公式为:
其中
是不采用流水线的执行时间,
是采用流水线的执行时间。
在本题中,
第 14 题
CPU访问存储器时,被访问数据倾向于聚集在一个较小的连续区域中,若一个存储单元已被访问,则其邻近的存储单元有可能还要被访问,该特性被称为( )。
- (A) 指令局部性
- (B) 数据局部性
- (C) 时间局部性
- (D) 空间局部性
答案与解析
- 试题难度:容易
- 知识点:计算机组成与体系结构>局部性原理
- 试题答案:[['D']]
- 试题解析:
本题考查局部性原理。
程序局部性包括时间局部性和空间局部性,时间局部性是指程序中的某条指令一旦执行,不久以后该指令可能再次执行。产生时间局部性的典型原因是由于程序中存在着大量的循环操作;空间局部性是指一旦程序访问了某个存储单元,不久以后,其附近的存储单元也将被访问,即程序在一段时间内所访问的地址可能集中在一定的范围内,其典型情况是程序顺序执行。
第 15 题
计算机系统中主机与外设间的输入输出控制方式有多种,其中占用主机CPU时间最多的是( )方式。
- (A) 通道
- (B) DMA
- (C) 中断
- (D) 程序查询
答案与解析
- 试题难度:一般
- 知识点:操作系统>输入输出管理
- 试题答案:[['D']]
- 试题解析:
在计算机中,输入输出控制方式主要有5种,分别是程序查询方式(程序控制方式)、程序中断方式、DMA工作方式、通道方式、I/O处理机。这5种方式占用主机CPU时间按多到少排序为:程序查询方式(程序控制方式)、程序中断方式、DMA工作方式、通道方式、I/O处理机。
第 16 题
RISC(精简指令系统计算机)的技术思想是当代计算机设计的基础技术之一,( )不是RISC的特点。
- (A) 指令长度固定,指令种类尽量少
- (B) 增加寄存器数目,以减少访存次数
- (C) 寻址方式丰富,指令功能尽可能强
- (D) 用硬布线电路实现指令解码,以尽快对指令译码
答案与解析
- 试题难度:容易
- 知识点:计算机组成与体系结构>CISC与RISC
- 试题答案:[[C]]
- 试题解析:
RISC与CISC是常见的两种指令系统。
RISC的特点是:指令数量少,使用频率接近,定长格式,大部分为单周期指令,操作寄存器,只有Load/Store操作内存;寻址方式少;并增加了通用寄存器;硬布线逻辑控制为主;适合采用流水线。
CISC的特点是:指令数量多,使用频率差别大,可变长格式;寻址方式多;常常采用微程序控制技术(微码);且研制周期长。
第 17 题
企业应用集成是当前很多企业都需要面对的一个复杂问题,集成过程中通常需要根据企业的实际情况选择合适的集成方案。某企业要求采用较低的成本,暴露现有应用系统的功能,集成内部的多个应用系统,并对外提供复杂多变的业务逻辑,针对上述要求,( )是较为合适的集成方式。
- (A) 界面集成
- (B) 数据集成
- (C) API集成
- (D) 流程集成
答案与解析
- 试题难度:一般
- 知识点:企业信息化战略与实施>企业应用集成
- 试题答案:[['D']]
- 试题解析:本题主要考查企业应用集成相关知识的灵活掌握。企业应用集成需要根据企业的实际情况选择合适的集成方案。根据题干要求企业需要采用较低的成本,暴露现有应用系统的功能,并对外提供业务逻辑。考虑到要对外,用流程集成比较合适。
第 18 题
产品数据管理(PDM)主要管理所有与产品相关的信息与过程,( )不属于子产品数据管理的核心功能。
- (A) 数据库和文档管理
- (B) 产品库存控制管理
- (C) 产品结构与配置管理
- (D) 生命周期管理与流程管理
答案与解析
- 试题难度:一般
- 知识点:企业信息化战略与实施>企业信息系统
- 试题答案:[['B']]
- 试题解析:
目前,全球范围商品化的PDM系统有不下100种。这些PDM产品虽然有许多差异,但一般来说,大多具有以下一些主要功能:
(1)数据库和文档管理。PDM系统的数据库和文档管理提供了对分布式异构数据的存储、检索和管理功能。在PDM系统中,数据的访问对用户来说是完全透明的,用户无需关心数据存放的具体位置,以及自己得到的是否是最新版本,这些工作均由PDM系统来完成。某些PDM系统还具有对传统的以非电子化形式存储的数据进行管理。
(2)产品结构与配置管理。用户可以通过PDM系统提供的图形化界面来对产品结构进行查看和编辑。在PDM系统中,零部件按照它们之间的装配关系被组织起来,用户可以将各产品定义数据与零部件关联起来,最终形成对产品结构的完整描述,传统的BOM可以利用PDM自动生成。PDM系统通过有效性和配置规则来对系统化产品进行管理,配置规则是由事先定义的配置参数经过逻辑组合而成。用户可以通过选择各配置变量的取值和设定具体的时间及序列数来得到同一产品的不同配置。(3)生命周期管理和流程管理。PDM系统的生命周期管理模块管理着产品数据的动态定义过程,其中包括宏观过程(产品生命周期)和各种微观过程(例如,图纸的审批流程等)。对产品生命周期的管理包括保留和跟踪产品从概念设计、产品开发、生产制造直到停止生产的整个过程中的所有历史记录,以及定义产品从一个状态转换到另一个状态时必须经过的处理步骤。管理员可以通过对产品数据的各个基本处理步骤的组合来构造产品设计或更改流程。(4)集成开发接口。由于各企业和情况千差万别,用户的要求也是多种多样的,没有哪一种PDM系统可以适应所有企业的情况,这就要求PDM系统必须具有强大的客户化能力和二次开发工具包,PDM实施人员或用户可以利用这些工具包来进行针对企业具体情况的定制开发。
第 19 题
企业门户是企业优化业务模式的重要手段,按照实际应用领域特点,企业门户可以划分为多种类型,其中( )注重信息的单向传递,面向特定的使用人群,缺乏用户与企业之间的互动;( )以业务流程为核心,将业务流程中的功能模块通过门户集成在一起。
- (A) 企业网站
- (B) 企业信息门户
- (C) 企业知识门户
- (D) 企业应用门户
- (A) 企业网站
- (B) 企业信息门户
- (C) 企业知识门户
- (D) 企业应用门户
答案与解析
- 试题难度:一般
- 知识点:企业信息化战略与实施>企业门户
- 试题答案:[['A'],['D']]
- 试题解析:
按照实际应用领域,EP可以划分为四类,分别是企业网站、企业信息门户、企业知识门户和企业应用门户。
(1)企业网站。随着互联网的兴起,企业纷纷建立自己的网站,供用户或企业员工浏览。这些网站往往功能简单,注重信息的单向传送,忽视用户与企业间、用户相互之间的信息互动。这些网站面向特定的使用人群,为企业服务,因此,可以被看作是EP发展的雏形。(2)企业信息门户。企业信息门户(Enterprise Information Portal, EIP)是指在Internet环境下,把各种应用系统、数据资源和互联网资源统一集成到EP之下,根据每个用户使用特点和角色的不同,形成个性化的应用界面,并通过对事件和消息的处理传输把用户有机地联系在一起。EIP不仅仅局限于建立一个企业网站,提供一些企业和产品/服务的信息,更重要的是要求企业能实现多业务系统的集成,能对客户的各种要求做出快速响应,并且能对整个供应链进行统一管理。企业员工、合作伙伴、客户、供应商都可以通过EIP非常方便地获取自己所需的信息。对访问者来说,EIP提供了一个单一的访问入口,所有访问者都可以通过这个入口获得个性化的信息和服务,可以快速了解企业的相关信息;对企业来说,EIP既是一个展示企业的窗口,也可以无缝地集成企业的业务内容、商务活动、社区等,动态地发布存储在企业内部和外部的各种信息,同时还可以支持网上的虚拟社区,访问者可以相互讨论和交换信息。(3)企业知识门户。企业知识门户(Enterprise Knowledge Portal, EKP)是企业员工日常工作所涉及相关主题内容的“总店”。企业员工可以通过EKP方便地了解当天的最新消息、工作内容、完成这些工作所需的知识等。通过EKP,任何员工都可以实时地与工作团队中的其他成员取得联系,寻找到能够提供帮助的专家或者快速地连接到相关的门户。不难看出,EKP的使用对象是企业员工,它的建立和使用可以大大提高企业范围内的知识共享,并由此提高企业员工的工作效率。当然,EKP还应该具有信息搜集、整理、提炼的功能,可以对已有的知识进行分类,建立企业知识库并随时更新知识库的内容。目前,一些咨询和服务型企业已经开始建立企业知识门户。(4)企业应用门户。企业应用门户(Enterprise Application Portal, EAP)实际上是对企业业务流程的集成。它以业务流程和企业应用为核心,把业务流程中功能不同的应用模块通过门户技术集成在一起。从某种意义上说,可以把EAP看成是企业信息系统的集成界面。企业员工和合作伙伴可以通过EAP访问相应的应用系统,实现移动办公、进行网上交易等。
第 20 题
商业智能系统主要包括数据预处理、建立数据仓库、数据分析和数据展现4个主要阶段,其中( )是处理海量数据的基础;数据分析是体现系统智能的关键,一般采用( )和数据挖掘技术。
- (A) 数据预处理
- (B) 建立数据仓库
- (C) 数据分析
- (D) 数据展现
- (A) 联机分析处理
- (B) 联机事务处理
- (C) 脱机分析处理
- (D) 脱机事务处理
答案与解析
- 试题难度:容易
- 知识点:数据库系统>数据仓库与数据挖掘
- 试题答案:[['B'],['A']]
- 试题解析:
BI系统主要包括数据预处理、建立数据仓库、数据分析和数据展现四个主要阶段。
数据预处理是整合企业原始数据的第一步,它包括数据的抽取(Extraction)、转换(Transformation)和加载(Load)三个过程(ETL过程);建立数据仓库则是处理海量数据的基础;数据分析是体现系统智能的关键,一般采用联机分析处理(OLAP)和数据挖掘两大技术。联机分析处理不仅进行数据汇总/聚集,同时还提供切片、切块、下钻、上卷和旋转等数据分析功能,用户可以方便地对海量数据进行多维分析。数据挖掘的目标则是挖掘数据背后隐藏的知识,通过关联分析、聚类和分类等方法建立分析模型,预测企业未来发展趋势和将要面临的问题;在海量数据和分析手段增多的情况下,数据展现则主要保障系统分析结果的可视化。
第 21 题
系统规划是信息系统生命周期的第一个阶段,其任务是对企业的环境、目标及现有系统的状况进行初步调查,根据企业目标和发展战略,确定信息系统的发展战略,对建设新系统的需求做出分析和预测,同时考虑建设新系统所受的各种约束,研究建设新系统的必要性和可能性。根据需要与可能,给出拟建系统的备选方案。对这些方案进行可行性分析,写出可行性研究报告。可行性研究报告审议通过后,将新系统建设方案及实施计划编写成系统设计任务书。
第 22 题
以下关于系统调查时所画的系统组织结构图的叙述,错误的是( )。
- (A) 组织结构图中,需要根据系统功能将组织结构重新划分
- (B) 根据系统分析的范围,组织结构图只要描述与系统有关的部分
- (C) 组织结构图中需要标明行政隶属关系
- (D) 组织结构图中需要标明信息、物质、资金的流动关系
答案与解析
- 试题难度:一般
- 知识点:企业信息化战略与实施>系统建模
- 试题答案:[[A]]
- 试题解析:
组织结构是一个企业内部部门的划分及其相互之间的关系。每个企业都有自己的组织结构图,它将企业分成若干部分,标明行政隶属关系。组织结构图是一种类树结构,树的分枝是根据上下级和行政隶属关系绘制的。
作为系统调查所画出的组织结构图,为了更好地表示部门间的业务联系,有必要补充其他关系,与普通的组织结构图存在以下区别:(1)除标明部门之间的领导与被领导的关系外,还要标明信息、物质、资金的流动关系。(2)图中各部门、各种关系的详细程度以突出重点为标准,即那些与系统目标明显关系不大的部分,可以简略或省去。
第 23 题
企业业务流程包含3个要素,分别是实体、对象和( )。企业业务流程建模是业务流程分析的重要步骤,某公司开发的信息系统具有并行、异步、分布式和随机性等特征,这种情况下,( )建模方法比较合适。
- (A) 操作
- (B) 数据
- (C) 活动
- (D) 处理
- (A) 标杆瞄准
- (B) IDEF
- (C) DEMO
- (D) Petri网
答案与解析
- 试题难度:一般
- 知识点:企业信息化战略与实施>系统建模
- 试题答案:[['C'],['D']]
- 试题解析:
企业业务流程包含三个要素,分别是实体、对象和活动。业务流程发生在实体之间,它们可以是企业间的、功能间的,也可以是人与人之间的;业务流程的功能就是对对象进行操作,这些对象既可以是物理的(例如,订单等),也可以是逻辑的(例如,信息等);业务流程涉及管理活动和业务操作活动。
Petri网作为一种从流程的角度出发描述和分析复杂系统的模型工具,适用于多种系统的图形化、数学化建模工具,为描述和研究具有并行、异步、分布式和随机性等特征的信息系统提供了强有力的手段。所以这种建模方法最符合题目要求。
第 24 题
详细调查的目标是获取企业业务处理的方法,深入了解系统的处理流程,确定用户需求。详细调查强调科学合理,根据欲获取信息的不同,调查方法也各不相同。若想获取用户对系统的想法和建议等定性特征,则( )方法比较合适;若想获取系统某些较为复杂的流程和操作过程,则( )方法比较合适。
- (A) 抽样调查
- (B) 阅读历史文档
- (C) 开调查会
- (D) 现场观摩
- (A) 抽样调查
- (B) 阅读历史文档
- (C) 开调查会
- (D) 现场观摩
答案与解析
- 试题难度:容易
- 知识点:需求工程>需求获取
- 试题答案:[['C'],['D']]
- 试题解析:
本题考查需求的获取手段,备选答案均为需求获取手段,但各有特色。
若想获取用户对系统的想法和建议等定性特征,则开调查会方法比较合适,因为开调查会的方式会强调需求分析人员与用户之间的交互,在交互过程中可以获取用户对系统的想法和建议。若想获取系统某些较为复杂的流程和操作过程,则现场观摩方法比较合适。俗话说,“百闻不如一见”,对于一些较为复杂的流程和操作而言,是比较难以用语言和文字进行表达的,对于这种情况,可以采用到客户的工作现场,一边观察,一边听客户讲解,从而更直观的了解客户需求。
第 25 题
以下关于需求获取方法的叙述中,正确的是( )。
- (A) 问卷调查可以在短时间内,以低廉的价格从大量的回答中收集数据
- (B) 用户访谈是最为灵活、成本最低的一种需求获取方法
- (C) 抽样能够提高需求获取效率,且不会受到系统分析师的主观因素影响
- (D) 用户访谈的成功与否与系统分析师的人际沟通能力无关
答案与解析
- 试题难度:一般
- 知识点:需求工程>需求获取
- 试题答案:[['A']]
- 试题解析:
用户访谈一般是一对一的形式进行,由于对单一用户需要花费很长的时间来做访谈,所以他是一种成本较高的需求获取方法,所以B选择不正确。在访谈过程中系统分析师的人际沟通能力非常重要,如沟通能力不强,可能出现花费了大量时间,但未得到有效需求的情况,所以D选项也不正确。
与用户访谈相比,问卷调查可以在短时间内,以低廉的代价从大量的回答中收集数据;问卷调查允许回答者匿名填写,大多数用户可能会提供真实信息;问卷调查的结果比较好整理和统计。问卷调查最大的不足就是缺乏灵活性。所以A选项正确。抽样能够提高需求获取效率,但抽样往往是由系统分析师来抽的,所以会受到他的主观因素影响,故C选项也不正确。
第 26 题
数据动态分析中,( )属于数据随机变动属性,( )属于数据固定个体变动属性。
- (A) 库存余额
- (B) 客户基础资料
- (C) 会计科目
- (D) 产品月销售量
- (A) 库存余额
- (B) 客户基础资料
- (C) 会计科目
- (D) 产品月销售量
答案与解析
- 试题难度:一般
- 知识点:需求工程>其它
- 试题答案:[['D'],['A']]
- 试题解析:
数据的动态特性有三种,分别是固定值属性、固定个体变动属性和随机变动属性。
具有固定值属性的数据,其值一般不随时间而改变。例如,生产活动中的物料主数据、客户基础资料、会计科目等。固定值数据一般比较稳定,可以提前准备。但是,由于客观环境是在不断变化的,因此,稳定也是相对的,要定期维护,保持其准确性。
具有固定个体变动属性的数据项,对总体来说具有相对固定的个体集,但是对于个体来说其值是变动的。例如,销售管理中的订单数量,购买商品的客户名称基本上是固定的,但每个客户每次订购商品的数量都在变化。固定个体变动属性的数据一旦建立,就要随时维护,例如,库存余额、车间在制品余额、总账余额、未结销售订单和未结采购订单等。具有随机变动属性的数据项,其个体是随机出现的,其值也是变动的。例如,销售管理系统中的产品月累计销售量,并非每月每个产品都有销售量,可能某个产品在某个月无销售量。随机变动属性的数据是根据用户对管理工作的需要,由系统按照一定的逻辑程序,经过运算形成的。它是一种经过加工处理的信息,供管理人员掌握经营生产状况,进行分析和决策。
第 27 题
RUP中的软件过程在时间上分解为4个顺序的阶段:初始阶段、细化阶段、构建阶段和移交阶段。架构的确定与建立是在( )完成的。
- (A) 初始阶段
- (B) 细化阶段
- (C) 构建阶段
- (D) 移交阶段
答案与解析
- 试题难度:一般
- 知识点:软件工程>开发模型
- 试题答案:[['B']]
- 试题解析:
RUP中4个阶段的功能为:
初始阶段的任务是为系统建立业务模型并确定项目的边界。在初始阶段,必须识别所有与系统交互的外部实体,定义系统与外部实体交互的特性。在这个阶段中,所关注的是整个项目的业务和需求方面的主要风险。
细化阶段的任务是分析问题领域,建立完善的架构,淘汰项目中最高风险的元素。在细化阶段,必须在理解整个系统的基础上,对架构做出决策,包括其范围、主要功能和诸如性能等非功能需求,同时为项目建立支持环境。
在构建阶段,要开发所有剩余的构件和应用程序功能,把这些构件集成为产品,并进行详细测试。从某种意义上说,构建阶段是一个制造过程,其重点放在管理资源及控制操作,以优化成本、进度和质量。构建阶段的主要任务是通过优化资源和避免不必要的报废和返工,使开发成本降到最低;完成所有所需功能的分析、开发和测试,快速完成可用的版本;确定软件、场地和用户是否已经为部署软件作好准备。
当基线已经足够完善,可以安装到最终用户实际环境中时,则进入交付阶段。交付阶段的重点是确保软件对最终用户是可用的。交付阶段的主要任务是进行β测试,制作产品发布版本;对最终用户支持文档定稿;按用户的需求确认新系统;培训用户和维护人员;获得用户对当前版本的反馈,基于反馈调整产品,例如,进行调试、性能或可用性的增强等。
第 28 题
用于增加对象功能的设计模式是( );用于限制对象访问的设计模式是( )。
- (A) Adapter
- (B) Decorator
- (C) Delegation
- (D) Proxy
- (A) Adapter
- (B) Decorator
- (C) Delegation
- (D) Proxy
答案与解析
- 试题难度:一般
- 知识点:系统设计>设计模式
- 试题答案:[['B'],['D']]
- 试题解析:
本题考查常见设计模式的功能,备选答案中除Delegation,其他均为经典设计模式。
适配器(adapter)模式。适配器模式将一个接口转换成客户希望的另一个接口,从而使接口不兼容的那些类可以一起工作。适配器模式既可以作为类结构型模式,也可以作为对象结构型模式。在类适配器模式中,通过使用一个具体类将适配者适配到目标接口中;在对象适配器模式中,一个适配器可以将多个不同的适配者适配到同一个目标。
装饰(decorator)模式。装饰模式是一种对象结构型模式,可动态地给一个对象增加一些额外的职责,就增加对象功能来说,装饰模式比生成子类实现更为灵活。通过装饰模式,可以在不影响其他对象的情况下,以动态、透明的方式给单个对象添加职责;当需要动态地给一个对象增加功能,这些功能可以再动态地被撤销时可使用装饰模式;当不能采用生成子类的方法进行扩充时也可使用装饰模式。
代理(proxy)模式。代理模式是一种对象结构型模式,可为某个对象提供一个代理,并由代理对象控制对原对象的引用。代理模式能够协调调用者和被调用者,能够在一定程度上降低系统的耦合度,其缺点是请求的处理速度会变慢,并且实现代理模式需要额外的工作。
第 29 题
下列关于敏捷方法的叙述,错误的是( )。
- (A) 敏捷方法强调可工作的软件胜过大量的文档
- (B) 敏捷方法强调软件过程与工具胜过个体和交互
- (C) 敏捷方法强调尽早提交有价值的软件
- (D) 敏捷方法强调小版本发布
答案与解析
- 试题难度:容易
- 知识点:软件工程>开发模型
- 试题答案:[['B']]
- 试题解析:
敏捷方法是从20世纪90年代开始逐渐引起广泛关注的一些新型软件开发方法,以应对快速变化的需求。虽然它们的具体名称、理念、过程、术语都不尽相同,但相对于“非敏捷”而言,它们更强调开发团队与用户之间的紧密协作、面对面的沟通、频繁交付新的软件版本、紧凑而自我组织型的团队等,也更注重人的作用。
敏捷方法强调,让客户满意和软件尽早增量发布;小而高度自主的项目团队;非正式的方法;最小化软件工程工作产品以及整体精简开发。产生这种情况的原因是,在绝大多数软件开发过程中,提前预测哪些需求是稳定的和哪些需求会变化非常困难;对于软件项目构建来说,设计和实现是交错的;从指定计划的角度来看,分析、设计、实现和测试并不容易预测;可执行原型和部分实现的可运行系统是了解用户需求和反馈的有效媒介。
从以上描述可以看出,敏捷方法会更强调个体和交互,而不是软件过程。
第 30 题
以下关于依赖倒置原则的叙述中,正确的是( )。
- (A) 要针对实现编程,而不是针对接口编程
- (B) 在程序中尽量使用具体类进行编程,而少使用抽象层类
- (C) 在程序代码中传递参数时或在组合关系中,尽量引用层次高的抽象层类
- (D) 软件实体应对扩展开放而对修改关闭
答案与解析
- 试题难度:一般
- 知识点:系统设计>面向对象设计原则
- 试题答案:[[C]]
- 试题解析:
依赖倒置原则强调:要针对接口编程,而不是针对实现编程;在程序中尽量使用抽象层类进行编程,而少使用具体类。所以选项A与B不正确。而选项D描述本身无误,但对应的原则是开放-封闭原则,与依赖倒置原则无关,也不正确。
第 31 题
在数据库系统中,为了保证数据库的( ),通常由DBA使用DBMS提供的授权功能为不同用户授权。
- (A) 可靠性
- (B) 安全性
- (C) 一致性
- (D) 完整性
答案与解析
- 试题难度:容易
- 知识点:数据库系统>其它
- 试题答案:[[B]]
- 试题解析:
在数据库中DBA是拥有最高权限的管理员,他可以根据不同用户的数据需求,给予不同的访问授权,这样能有效的控制用户只能访问自己权限以内的数据,从而保障整个数据库的安全性。
第 32 题
给定关系模式科室K(科室号,科室名,负责人,科室电话)、医生Y(医生号,医生名,性别,科室号,联系电话,家庭地址)和患者B(病历号,患者名,性别,医保号,联系方式),并且1个科室有多名医生,1名医生属于1个科室;1名医生可以为多个患者诊疗,1个患者也可以找多名医生诊疗。
科室与医生之间的“所属”联系类型、医生与患者之间的“诊疗”联系类型分别为( );其中( )。下列查询“肝胆科”医生的医生名、联系电话及家庭住址的关系代数表达式中,查询效率最高的是( )。
- (A) 1∶1、n∶m
- (B) n∶m、1∶1
- (C) n∶m、1∶n
- (D) 1∶n、n∶m
- (A) “诊疗”联系需要转换为一个独立的关系,并将医生号和患者名作为主键
- (B) “诊疗”联系需要转换为一个独立的关系,并将医生号和病历号作为主键
- (C) “所属”联系需要转换为一个独立的关系,并将医生号和科室名作为主键
- (D) “所属”联系需要转换为一个独立的关系,并将医生号和科室号作为主键
- (A)
- (B)
- (C)
- (D)
答案与解析
- 试题难度:一般
- 知识点:数据库系统>规范化理论
- 试题答案:[['D'],['B'],['C']]
- 试题解析:
本题考查规范化与关系代数相关知识。
由于1个科室有多名医生,1名医生属于1个科室,所以科室与医生的对应联系类型为:1∶n;1名医生可以为多个患者诊疗,1个患者也可以找多名医生诊疗,所以医生与患者的对应联系类型为:n∶m。
在将联系转成关系模式时,1∶1和1∶n的联系都可以不单独转成关系模式,而m∶n联系必须单独转成一个关系模式。这就决定了:医生与患者之间的“诊疗”联系需要单独转成一个关系模式,这个关系模式以医生Y与患者B两个关系模式的主键组合作为主键,即医生号和病历号作为主键。
最后一空为关系代数表达式查询问题,备选答案中,能达到题目效果的是B与C。相对而言C的效率比B高。
C选项中,先将K与Y做自然连接,得到的结果属性包括:科室号,科室名,负责人,科室电话,医生号,医生名,性别,联系电话,家庭地址。然后做选择操作,将科室名为“肝胆科”的医生记录选出,最后做投影操作,将结果集的属性限制为:医生名、联系电话及家庭住址。
第 33 题
若某文件系统的目录结构如下图所示,假设用户要访问文件f.java,且当前工作目录为Program,则该文件的全文件名为( ),绝对路径和相对路径分别为( )。

- (A) f.java
- (B) Java-prog\f.java
- (C) Program\Java-prog\f.java
- (D) \Program\Java-prog\f.java
- (A) Program\Java-prog\和\Java-prog
- (B) \Java-prog\和Program\Java-prog\
- (C) \Program\Java-prog\和Java-prog\
- (D) Java-prog\和\Program\Java-prog\
答案与解析
- 试题难度:一般
- 知识点:操作系统>绝对路径与相对路径
- 试题答案:[['D'],['C']]
- 试题解析:
本题考查文件系统的相关内容。由于文件名包括:驱动器号、路径、主文件名、扩展名。所以全文件名为:\Program\Java-prog\f.java。文件的绝对路径为:\Program\Java-prog\,相对路径是从当前位置开始计的路径,所以不需要写当前目录以及当前目录更上层的路径,即Java-prog\。
第 34 题
进程P1、P2、P3、P4、P5的前趋关系图如下所示:

若用PV操作控制这5个进程的同步与互斥,程序如下:

程序中空a和空b处应分别为( ),空c和空d处应分别为( );空e和空f处应分别为( )。
- (A) V(S1)和V(S2)V(S3)
- (B) P(S1)和V(S2)V(S3)
- (C) P(S1)和P(S2)V(S3)
- (D) P(S1)和P(S2)P(S3)
- (A) V(S2)V(S4)和V(S5)
- (B) P(S2) V(S4)和V(S5)
- (C) P(S2)P(S4)和V(S5)
- (D) P(S2)V(S4)和P(S5)
- (A) V(S3)和V(S4)V(S6)
- (B) P(S3)和V(S4)V(S6)
- (C) P(S3)和P(S4)V(S6)
- (D) P(S3)和V(S4)P(S6)
答案与解析
- 试题难度:容易
- 知识点:操作系统>信号量与PV操作
- 试题答案:[['B'],['C'],['B']]
- 试题解析:
本题是一个前趋图转PV操作的问题。解答该题的关键在于了解PV操作中的信号量在前趋图的具体什么位置起作用,一旦弄清楚该问题,整个试题的解答就非常容易了。信号量其实是作用于进程之间,每个箭线都对应着一个信号量,当一个信号量的箭头指向一个进程时,说明该进程进行前需要对此信号量做P操作,而一个箭头从一个进程引出时,说明此进程完成时,需要对该信号量做V操作。如图所示。
从图分析,可以得知完整的process P1 - process P5为:
第 35 题
假设磁盘块与缓冲区大小相同,每个盘块读入缓冲区的时间为100us,缓冲区送至用户区的时间是60us,系统对每个磁盘块数据的处理时间为50us。若用户需要将大小为10个磁盘块的File1文件逐块从磁盘读入缓冲区,并送用户区进行处理,那么采用单缓冲需要花费的时间为( )us;采用双缓冲需要花费的时间为( )us。
- (A) 1000
- (B) 1110
- (C) 1650
- (D) 2100
- (A) 1000
- (B) 1110
- (C) 1650
- (D) 2100
答案与解析
- 试题难度:一般
- 知识点:计算机组成与体系结构>磁盘存储
- 试题答案:[['C'],['B']]
- 试题解析:
本题考查的是操作系统中文件读取方面的知识。但在解题过程中,我们可以发现需要用到计算机组成原理中的流水线知识。因为进行处理时,每个数据要经过3个步骤:读入缓冲区、送用户区、处理。这三个步骤中,有两个步骤是需要用到缓冲区的,这两个步骤执行时,缓冲区都不可以开始下一个磁盘区的处理工作,所以三个步骤可合并为两个:读入缓冲区并送用户区、处理。此时,可应用流水线的方式来提升效率。所以用户将大小为10个磁盘块的File1文件逐块从磁盘读入缓冲区,并送用户区进行处理,采用单缓冲时需要花费的时间为:
(100+60+50)+(10-1)×(100+60)=1650us若增加一个缓冲区,情况如图所示。
从图可知,使用双缓冲区时,从磁盘向缓冲区中传送数据的工作可通过两个缓冲区持续交替进行,所以计算方式为:100×10+60+50=1110us
第 36 题
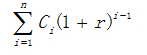
设某信息系统明年初建成后预计在第i(i=1、2、…n)年将能获得经济效益Ci元,则该系统总的经济效益可以估计为( )元,其中r是贴现率(利率)。
- (A)
- (B)
- (C)
- (D)
答案与解析
- 试题难度:一般
- 知识点:系统规划>成本效益分析
- 试题答案:[['D']]
- 试题解析:
本题要求求出信息系统各年累计经济效益现值之和。
由于贴现率是r,第i年能获得的经济效益为Ci元。所以第i年的收益现值为:
由于i=1…n,所以各年累积和为:

第 37 题
根据近几个月的数据统计,某车次火车到站晚点时间t(分钟)的概率分布密度函数可用函数f(t)=k(10-t)2(0≤t≤10)来描述,因此可以计算出其中的待定系数k=( ),晚点超过5分钟的概率为( )。
- (A) 0.003
- (B) 0.03
- (C) 0.3
- (D) 3
- (A) 1/32
- (B) 1/16
- (C) 1/8
- (D) 1/4
答案与解析
- 试题难度:一般
- 知识点:数学与经济管理>其它
- 试题答案:[['A'],['C']]
- 试题解析:
本题考查概率论相关知识。
题目已给出概率分布密度函数,同时也给出了t的取值范围,所以可通过积分操作求得概率,对t从0到10进行积分,可以得到全概率空间100%,即1。所以有:
通过解此方程,可以求得k=0.003。接下来的问题是求晚点超过5分钟的概率,即求t从5到10这个区间的概率。该概率可用以下公式求得。
计算结果为:1/8。
第 38 题
某乡规划了村村通公路网建设方案连接其所属6个村,每两个村之间至多只有一条公路相连,各条公路互不重叠。因此,各村所连接的公路条数形成一个6数序列。以下4个序列中,除( )外都是不可能的。
- (A) 5,4,3,3,2,2
- (B) 5,5,4,3,2,1
- (C) 5,4,4,3,1,1
- (D) 5,4,4,3,2,2
答案与解析
- 试题难度:一般
- 知识点:数学与经济管理>其它
- 试题答案:[['D']]
- 试题解析:
本题是一个图论的问题。
每一个村庄所连接的公路条数就是这个村庄结点的度。在一个图中,所有结点度之和应为偶数(因为任意一条边会产生2度),所以首先可以排除A选项。
对B、C、D三个选项进行分析时,需要有一定的图论基础知识。题目要求分析选项中的序列是否可能存在,其实是问大家,这样的度的序列是否能构成合法的图。由于结点很多,我们不能很快识别出图的合法性。但可以考虑将问题简化,简化时的依据为“如果某图是一个合法的图,那么我们去除图中的结点,并将与该结点相连的所有线去除,仍应得到一个合法的图。”
以B选项为例,分析过程如表所示。表1-1 B选项分析过程</div>
接下来使用同样的方法分析C选项,分析过程如表所示。</div><div><p style="text-align: center;">表1-2 C选项分析过程</p><div style="text-align: center;"><img src="../images/shiti/2021-04/799/3L5SE326tW.png" style="max-width:100%;"><br></div></div>D选项分析过程如表所示。<br><div style="text-align: center;">表1-3 D选项分析过程</div></div></div><p style="text-align: center;"><img src="../images/shiti/2021-04/189/sRruEGemZ1.png" style="max-width:100%;"><br></p>
第 39 题
本题是一个决策表+期望货币价值问题。根据题意可列出以下决策表:

第 40 题
已知有6个村A~F,相互间的道路距离(单位:里)如下图所示。计划在其中某村建一所学校。据统计,各村希望来上学的学生人数分别为:50、40、60、20、70、90。为使全体学生上学所走的总距离最短,学校应建在( )村。

- (A) A
- (B) B
- (C) E
- (D) F
答案与解析
- 试题难度:一般
- 知识点:数学与经济管理>最短路径
- 试题答案:[['A']]
- 试题解析:
选建在A村:B:40×4=160;C:60×2=120;D:20×9=180;E:70×1=70;F:90×5=450。
合计:160+120+180+70+450=980。
选建在B村:A:50×4=200;C:60×6=360;D:20×5=100;E:70×5=350;F:90×1=90。
合计:200+360+100+350+90=1100。
选建在E村:A:50×1=50;B:40×5=200;C:60×2=120;D:20×9=180;F:90×5=450。
合计:50+200+120+180+450=1000。
选建在F村:A:50×5=250;B:40×1=40;C:60×7=420;D:20×4=80;E:70×5=350。
合计:250+40+420+80+350=1140。
第 41 题
两学生分别在笔直的高速公路A、B两处对车流进行记录。设A和B相距d米,车1和车2先后匀速行驶依次经过了A、B处,车1经过A、B处的时间分别为T1A和T1B,车2经过A、B处的时间分别为T2A和T2B,则当车2经过B处时,与车1的距离为( )米。
- (A)
- (B)
- (C)
- (D)
答案与解析
- 试题难度:一般
- 知识点:数学与经济管理>其它
- 试题答案:[['A']]
- 试题解析:
根据题目的意思,得以画出图,看图更利于理解。
目前从题目可以看出,车1和车2是同时经过A点的(否则两车在B点的相隔距离是无法确定的),所以
T1A 与
T2A 是相等的。假设车1比车2的速度慢。则情况如图所示。</div>

我们要求的,便是x的长度。
设车1的速度为S1,车2的速度为S2,
。
由于 
所以:
由于 T1A=T2A ,所以公式可变换为:

此时,分析的是车1比车2慢的情况,若将车1比车2快的情况也考虑进来,只需要将公式中的
取绝对值即可。所以本题应选A。
第 42 题
某台计算机的CPU主频为1.8GHz,如果2个时钟周期组成1个机器周期,平均3个机器周期可完成1条指令,则该计算机的指令平均执行速度为( )MIPS。
- (A) 300
- (B) 600
- (C) 900
- (D) 1800
答案与解析
- 试题难度:容易
- 知识点:系统配置与性能评价>性能指标
- 试题答案:[['A']]
- 试题解析:
2个时钟周期组成1个机器周期,平均3个机器周期可完成1条指令,则完成1条指令需要3×2=6个时钟周期。CPU主频为1.8GHz,所以指令平均执行速度为:1.8G/6=300M。
第 43 题
以下关于系统性能评估方法的描述,错误的是( )。
- (A) 指令执行速度法常用每秒百万次指令运算(MIPS)评估系统性能
- (B) 基准程序法主要针对CPU(有时包括主存)的性能,但没有考虑I/O结构、操作系统、编译程序的效率等对系统性能的影响
- (C) 等效指令速度法评估系统性能时需要计算各类指令在程序中所占的比例
- (D) 综合理论性能法(CPT)采用每秒百万次理论运算(MTOPS)评估系统性能
答案与解析
- 试题难度:一般
- 知识点:系统配置与性能评价>性能评价方法
- 试题答案:[['B']]
- 试题解析:
本题考查计算机系统的性能评估方法。
1、指令执行速度法
在计算机发展的初期,曾用加法指令的运算速度来衡量计算机的速度。因为加法指令的运算速度大体上可反映出乘法、除法等其他算术运算的速度,而且逻辑运算、转移指令等简单指令的执行时间往往设计成与加法指令相同,因此,加法指令的运算速度有一定代表性。表示机器运算速度的单位是MIPS(每秒执行指令百万条)。2、等效指令速度法等效指令速度法也称为吉普森混合法(Gibson mix)或混合比例计算法,是通过各类指令在程序中所占的比例(Wi)进行计算得到的。若各类指令的执行时间为ti,则等效指令的执行时间为:
其中,n为指令类型数。对某些程序来说,采用等效指令速度法可能严重偏离实际,尤其是对CISC系统,因为某些指令的执行时间是不固定的,数据的长度、cache的命中率、流水线的效率等都会影响计算机的运算速度。3、综合理论性能法CTP是美国政府为限制较高性能计算机出口所设置的运算部件综合性能估算方法。CTP用MTOPS(Million Theoretical Operations Per Second,每秒百万次理论运算)表示。CTP的估算方法是,首先算出处理部件每个计算单元(例如,定点加法单元、定点乘法单元、浮点加法单元、浮点乘法单元等)的有效计算率,再按不同字长加以调整,得出该计算单元的理论性能,所有组成该处理部件的计算单元的理论性能之和即为CTP。4、基准程序法基准程序法是针对老一代的系统性能评估方法提出的改进方案,老一代的方法,如时钟频率法、指令执行速度法、等效指令速度法、数据处理速率法存在一个通病,即主要针对CPU(有时包括主存)的性能进行评估,但未考虑I/O结构、操作系统、编译程序的效率等对系统性能的影响,所以这些方法的评估结果是片面的。而基准程序法评价较为全面。所以本题B选项描述不正确。
第 44 题
以下编码方法中,不属于熵编码( )。
- (A) 算术编码
- (B) 霍夫曼编码
- (C) 变换编码
- (D) 香农-范诺编码
答案与解析
- 试题难度:一般
- 知识点:多媒体基础>数据压缩技术
- 试题答案:[['C']]
- 试题解析:
压缩技术主要分两大类型:一类是无损压缩编码法(Lossless compression coding),也称冗余压缩法或熵编码法;另一类是有损压缩编码法(Loss compression coding),也称为熵压缩法。
熵编码即编码过程中按熵原理不丢失任何信息的编码。信息熵为信源的平均信息量(不确定性的度量)。常见的熵编码有:香农(Shannon)编码、哈夫曼(Huffman)编码和算术编码(Arithmetic coding)。在视频编码中,熵编码把一系列用来表示视频序列的元素符号转变为一个用来传输或是存储的压缩码流。输入的符号可能包括量化后的变换系数,运动向量,头信息(宏块头,图像头,序列的头等)以及附加信息(对于正确解码来说重要的标记位信息)。变换编码是一种有损的压缩方式,属于熵压缩法。
第 45 题
1996年10月,运动图像专家组开始着手一项新的研究课题来解决多媒体内容描述的问题,即多媒体内容描述接口(简称MPEG-7)。MPEG-7将扩大现今在识别内容方面存在的能力限制,将包括更多的数据类型。换言之,MPEG-7将规定用于描述各种类型的多媒体信息的一组标准描述符集、描述符的结构和反映它们之间关系的描述图。MPEG-7也将标准化描述定义语言(DDL),用它来定义新的描述图。
第 46 题
主机host1对host2进行域名查询的过程如下图所示,下列说法中正确的是( )。

- (A) 根域名服务器采用迭代查询,中介域名服务器采用递归查询
- (B) 根域名服务器采用递归查询,中介域名服务器采用迭代查询
- (C) 根域名服务器和中介域名服务器均采用迭代查询
- (D) 根域名服务器和中介域名服务器均采用递归查询
答案与解析
- 试题难度:一般
- 知识点:计算机网络>TCP/IP协议族
- 试题答案:[['A']]
- 试题解析:
本题考查的是网络中DNS的相关知识,在DNS运行的过程中,常常涉及到两种类型的查询:迭代查询和递归查询。
迭代查询的基本思想是:A服务器问B服务器:“host2的IP是多少?”,B服务器回答:“C服务器管这方面的事务,你问问他吧!”,此时A服务器根据B提供的线索找到C服务器,并问他“host2的IP是多少?”,C服务器回答“D服务器管这方面的事务,你问问他吧!”。依据这样的流程,一步步得到host2的地址,是迭代查询方式。
递归查询的基本思想是:A服务器问B服务器:“host2的IP是多少?”,B服务器发现自己也不知道,但他知道,这个事情在C服务器管辖范围内,所以B服务器直接找到C服务器问“host2的IP是多少?”,C服务器发现自己也不清楚具体情况,但他辖区内的D服务器应该知道,此时他问D服务器“host2的IP是多少?”,当得到答案后,一层一层回复上去,直到A服务器。这种方式,就是递归查询。
第 47 题
一家连锁店需要设计一种编址方案来支持全国各个店面销售网络,店面有300家左右,每个店面一个子网,每个子网中的终端最多50台,该连锁店从ISP处得到一个B类地址,应该采用的子网掩码是( )。
- (A) 255.255.255.128
- (B) 255.255.252.0
- (C) 255.255.248.0
- (D) 255.255.255.224
答案与解析
- 试题难度:一般
- 知识点:计算机网络>子网划分
- 试题答案:[['A']]
- 试题解析:
本题考查网络中子网划分,将备选答案中的各个选项进行分析,情况如下:
A选项的子网掩码为:255.255.255.128,其效果是将一个B类地址,分为512(29)个网络,每个子网可容纳126(27-2)台主机。B选项的子网掩码为:255.255.252.0,其效果是将一个B类地址,分为64(26)个网络,每个子网可容纳1022(210-2)台主机。C选项的子网掩码为:255.255.248.0,其效果是将一个B类地址,分为32(25)个网络,每个子网可容纳2046(211-2)台主机。D选项的子网掩码为:255.255.255.224,其效果是将一个B类地址,分为2048(211)个网络,每个子网可容纳30(25-2)台主机。从分析结果可以得知,仅有A选项在子网数量,和每个子网可容纳主机数两方面均满足题目要求。
第 48 题
网络系统设计过程中,物理网络设计阶段的任务是( )。
- (A) 分析现有网络和新网络的各类资源分布,掌握网络所处的状态
- (B) 依据逻辑网络设计的要求,确定设备的具体物理分布和运行环境
- (C) 根据需求规范和通信规范,实施资源分配和安全规划
- (D) 理解网络应该具有的功能和性能,最终设计出符合用户需求的网络
答案与解析
- 试题难度:容易
- 知识点:计算机网络>网络规划与设计
- 试题答案:[[B]]
- 试题解析:
网络设计分逻辑结构设计与物理结构设计两大部分:
网络逻辑结构设计是体现网络设计核心思想的关键阶段,在这一阶段根据需求规范和通信规范,选择一种比较适宜的网络逻辑结构,并基于该逻辑结构实施后续的资源分配规划、安全规划等内容。
网络物理结构设计是对逻辑网络设计的物理实现,通过对设备的具体物理分布、运行环境等的确定,确保网络的物理连接符合逻辑连接的要求。在这一阶段,网络设计者需要确定具体的软硬件、连接设备、布线和服务。
第 49 题
网络拓扑设计是计算机网络建设的第一步。它对网络的影响主要表现在( )。
①网络性能
②系统可靠性
③出口带宽
④网络协议
- (A) ①、②
- (B) ①、②、③
- (C) ③、④
- (D) ①、②、④
答案与解析
- 试题难度:一般
- 知识点:计算机网络>其它
- 试题答案:[[D]]
- 试题解析:
网络拓扑设计是一种逻辑层面的网络设计,该设计将影响网络性能、系统可靠性、网络协议,但不会影响出口带宽。
网络拓扑设计对网络性能的影响表现为:拓扑结构设置不当,会导致数据层层转发,增加时延,所以性能有影响。
网络拓扑设计对系统可靠性的影响表现为:环形拓扑由于消除了单点故障,所以可靠性高于星型拓扑。
网络拓扑设计对网络协议的影响表现为:不同的拓扑结构将会采取不同的网络协议。
第 50 题
在异步通信中,每个字符包含1个起始位、7位数据位、1位奇偶位和2位终止位,每秒钟传送100个字符,则有效数据速率为( )。
- (A) 100b/s
- (B) 700b/s
- (C) 800b/s
- (D) 1000b/s
答案与解析
- 试题难度:一般
- 知识点:计算机网络>其它
- 试题答案:[['B']]
- 试题解析:
题目给出每秒钟传送100个字符,因此每秒传输的位有100×(1+7+1+2)=1100位,但这些位并非都是有效数据,起始位与终止位用于控制发送与接收,而奇偶位用于校验数据的正确性,所以真正有效数据速率只有700b/s。
第 51 题
关于网桥和交换机,下面的描述中正确的是( )。
- (A) 网桥端口数少,因而比交换机转发更快
- (B) 网桥转发广播帧,而交换机不转发广播帧
- (C) 交换机是一种多端口网桥
- (D) 交换机端口多,因而扩大可冲突域的大小
答案与解析
- 试题难度:一般
- 知识点:计算机网络>开放系统互连参考模型
- 试题答案:[[C]]
- 试题解析:
本题属于纯概念题,交换机又被称为多端口网桥。
第 52 题
下列关于DHCP的说法中,错误的是( )。
- (A) Windows操作系统中,默认租约期是8天
- (B) 客户机通常选择最先响应的DHCP服务器提供的地址
- (C) 客户机可以跨网段申请DHCP服务器提供的IP地址
- (D) 客户机一直使用DHCP服务器分配给它的IP地址,直至租约期结束才开始联系更新租约
答案与解析
- 试题难度:一般
- 知识点:计算机网络>TCP/IP协议族
- 试题答案:[['D']]
- 试题解析:
题目中的描述都是关于DHCP的,其中“客户机一直使用DHCP服务器分配给它的IP地址,直至租约期结束才开始联系更新租约”说法有误,因为DHCP租约期过半时,客户端将和它的DHCP服务器联系更新租约。
第 53 题
Feasibility should be measured throughout the life cycle of system development. The scope and complexity of an apparently feasible project can change after the initial problems and opportunities are fully analyzed of after the system has been designed. Thus,a project that is feasible at one point may become infeasible later . The first feasibility analysis is conducted during the( ). The( )represents a major feasibility analysis activity since it charts one of many possible implementations as the target for systems design. ( )is a measure of how well the solution will work in the organization. It is also a measure of how people feel about the system. When it is determined in the later stages of the system life cycle,( )is often performed with a working prototype of the proposed system. This is a test of the system's user interfaces and is measured in how easy they are to learn and to use and how they support the desired productivity levels of the users. Economic feasibility has been defined as a cost-benefit analysis.The( )technique is a simple and popular method for determining if and when an investment will pay for itself.
- (A) problem analysis phase
- (B) preliminary investigation phase
- (C) requirements analysis phase
- (D) decision analysis phase
- (A) problem analysis phase
- (B) preliminary investigation phase
- (C) requirements analysis phase
- (D) decision analysis phase
- (A) Operational feasibility
- (B) Technical feasibility
- (C) Schedule feasibility
- (D) Economic feasibility
- (A) performance analysis
- (B) control analysis
- (C) usability analysis
- (D) interface analysis
- (A) payback analysis
- (B) return-on-investment analysis
- (C) present value
- (D) time value of money
答案与解析
- 试题难度:一般
- 知识点:专业英语>专业英语
- 试题答案:[['B'],['D'],['A'],['C'],['A']]
- 试题解析:
可行性的判定贯穿于系统开发的生命周期。一个明显可行的项目,在全面分析了初始问题和机会或系统设计后,其范围和复杂性会发生变化。因此某一时刻可行的项目在此后可能会变得不可行。第一次可行性分析在初始调研阶段进行。由于要绘制多个可能的实现方案之一作为系统设计的目标,决策分析阶段表示一个主要的可行性分析活动。操作可行性是对解决方案在企业中工作效果的度量,它也是衡量人们对于系统的感受。当它在系统生命周期后面的阶段被确定后,经常会用一个建议系统的工作原型进行可用性分析。这是对系统用户界面的一种测试,它通过系统如何易于学习和使用及系统如何支持用户所期望的生产力水平进行衡量。偿还分析技术是一种简单流行的方法用于确定是否及何时将收回成本。














