201805系分上午真题
第 1 题
面向对象分析中,对象是类的实例。对象的构成成分包含了( )、属性和方法(或操作)。
- (A) 标识
- (B) 消息
- (C) 规则
- (D) 结构
答案与解析
- 试题难度:一般
- 知识点:需求工程>面向对象基本概念
- 试题答案:[['A']]
- 试题解析:本题考查的是面向对象的基本概念:对象的三要素为:属性(数据)、方法(操作)、对象ID(标识)。
第 2 题
UML2.0所包含的图中,( )描述由模型本身分解而成的组织单元,以及它们之间的依赖关系。
- (A) 组合结构图
- (B) 包图
- (C) 部署图
- (D) 构件图
答案与解析
- 试题难度:一般
- 知识点:需求工程>UML
- 试题答案:[['B']]
- 试题解析:本题考查的是UML图的相关知识:UML 2.0包括14种图,分别列举如下:
(1)类图(class diagram)。类图描述一组类、接口、协作和它们之间的关系。在OO系统的建模中,最常见的图就是类图。类图给出了系统的静态设计视图,活动类的类图给出了系统的静态进程视图。
(2)对象图(object diagram)。对象图描述一组对象及它们之间的关系。对象图描述了在类图中所建立的事物实例的静态快照。和类图一样,这些图给出系统的静态设计视图或静态进程视图,但它们是从真实案例或原型案例的角度建立的。
(3)构件图(component diagram)。构件图描述一个封装的类和它的接口、端口,以及由内嵌的构件和连接件构成的内部结构。构件图用于表示系统的静态设计实现视图。对于由小的部件构建大的系统来说,构件图是很重要的。构件图是类图的变体。
(4)组合结构图(composite structure diagram)。组合结构图描述结构化类(例如,构件或类)的内部结构,包括结构化类与系统其余部分的交互点。组合结构图用于画出结构化类的内部内容。
(5)用例图(use case diagram)。用例图描述一组用例、参与者及它们之间的关系。用例图给出系统的静态用例视图。这些图在对系统的行为进行组织和建模时是非常重要的。
(6)顺序图(sequence diagram,序列图)。顺序图是一种交互图(interaction diagram),交互图展现了一种交互,它由一组对象或参与者以及它们之间可能发送的消息构成。交互图专注于系统的动态视图。顺序图是强调消息的时间次序的交互图。
(7)通信图(communication diagram)。通信图也是一种交互图,它强调收发消息的对象或参与者的结构组织。顺序图和通信图表达了类似的基本概念,但它们所强调的概念不同,顺序图强调的是时序,通信图强调的是对象之间的组织结构(关系)。在UML 1.X版本中,通信图称为协作图(collaboration diagram)。
(8)定时图(timing diagram,计时图)。定时图也是一种交互图,它强调消息跨越不同对象或参与者的实际时间,而不仅仅只是关心消息的相对顺序。
(9)状态图(state diagram)。状态图描述一个状态机,它由状态、转移、事件和活动组成。状态图给出了对象的动态视图。它对于接口、类或协作的行为建模尤为重要,而且它强调事件导致的对象行为,这非常有助于对反应式系统建模。
(10)活动图(activity diagram)。活动图将进程或其他计算结构展示为计算内部一步步的控制流和数据流。活动图专注于系统的动态视图。它对系统的功能建模和业务流程建模特别重要,并强调对象间的控制流程。
(11)部署图(deployment diagram)。部署图描述对运行时的处理节点及在其中生存的构件的配置。部署图给出了架构的静态部署视图,通常一个节点包含一个或多个部署图。
(12)制品图(artifact diagram)。制品图描述计算机中一个系统的物理结构。制品包括文件、数据库和类似的物理比特集合。制品图通常与部署图一起使用。制品也给出了它们实现的类和构件。
(13)包图(package diagram)。包图描述由模型本身分解而成的组织单元,以及它们之间的依赖关系。
(14)交互概览图(interaction overview diagram)。交互概览图是活动图和顺序图的混合物。
第 3 题
UML的结构包括构造块、规则和公共机制三个部分。在基本构造块中,( )能够表示多个相互关联的事物的集合;规则是构造块如何放在一起的规定, 包括了( );公共机制中,( )是关于事物语义的细节描述。
- (A) 用例描述
- (B) 活动
- (C) 图
- (D) 关系
- (A) 命名、范围、可见性和一致性
- (B) 范围、可见性、一致性和完整性
- (C) 命名、可见性、一致性和执行
- (D) 命名、范围、可见性、完整性和执行
- (A) 规格说明
- (B) 事物标识
- (C) 类与对象
- (D) 扩展机制
答案与解析
- 试题难度:一般
- 知识点:需求工程>UML
- 试题答案:[['C'],['D'],['A']]
- 试题解析:本题考查UML的相关知识。从总体上来看,UML的结构包括构造块、规则和公共机制三个部分。
(1)构造块。UML有三种基本的构造块,分别是事物(thing)、关系(relationship)和图(diagram)。事物是UML的重要组成部分,关系把事物紧密联系在一起,图是多个相互关联的事物的集合。
(2)公共机制。公共机制是指达到特定目标的公共UML方法,主要包括规格说明(详细说明)、修饰、公共分类(通用划分)和扩展机制四种。规格说明是事物语义的细节描述,它是模型真正的核心;UML为每个事物设置了一个简单的记号,还可以通过修饰来表达更多的信息;UML包括两组公共分类,分别是类与对象(类表示概念,而对象表示具体的实体)、接口与实现(接口用来定义契约,而实现就是具体的内容);扩展机制包括约束(扩展了UML构造块的语义,允许增加新的规则或修改现有的规则)、构造型(扩展UML的词汇,用于定义新的构造块)和标记值(扩展了UML构造块的特性,允许创建新的特殊信息来扩展事物的规格说明)。
(3)规则。规则是构造块如何放在一起的规定,包括为构造块命名;给一个名字以特定含义的语境,即范围;怎样使用或看见名字,即可见性;事物如何正确、一致地相互联系,即完整性;运行或模拟动态模型的含义是什么,即执行。
第 4 题
DES是一种( ),其密钥长度为56位,3DES是利用DES的加密方式,对明文进行3次加密,以提高加密强度,其密钥长度是 ( )位。
- (A) 共享密钥
- (B) 公开密钥
- (C) 报文摘要
- (D) 访问控制
- (A) 56
- (B) 112
- (C) 128
- (D) 168
答案与解析
- 试题难度:一般
- 知识点:信息安全>对称加密与非对称加密
- 试题答案:[['A'],['B']]
- 试题解析:本题考查信息安全中的对称加密算法。对称加密算法中,由于加密解密都使用同样的密钥,所以密钥需要进行共享,故也被称共享密钥算法。
三重DES加密是使用2个DES密钥,进行多次操作来完成的,所以其密钥长度是:56×2=112位。
第 5 题
下列算法中,用于数字签名中摘要的是( )。
- (A) RSA
- (B) IDEA
- (C) RC4
- (D) MD5
答案与解析
- 试题难度:一般
- 知识点:信息安全>信息摘要与数字签名
- 试题答案:[['D']]
- 试题解析:本题考查的是信息安全中的摘要算法。RSA是非对称加密算法;MD5属于信息摘要算法;IDEA与RC4属于对称加密算法。
第 6 题
以下用于在网络应用层和传输层之间提供加密方案的协议是( )。
- (A) PGP
- (B) SSL
- (C) IPSec
- (D) DES
答案与解析
- 试题难度:一般
- 知识点:信息安全>网络安全协议
- 试题答案:[['B']]
- 试题解析:本题考查信息安全中的安全协议工作层次,选项中,仅有SSL是从传输层工作到应用层。PGP工作于应用层,IPSec工作于网络层。
第 7 题
孙某在书店租到一张带有注册商标的应用软件光盘,擅自复制后在网络进行传播,其行为是侵犯( )行为。
- (A) 商标权
- (B) 软件著作权
- (C) 注册商标专用权
- (D) 署名权
答案与解析
- 试题难度:一般
- 知识点:法律法规与标准化>侵权判断
- 试题答案:[['B']]
- 试题解析:本题考查的是知识产权中软件著作权问题。题目给出了大量的误导信息,让考生认为在考商标权,而事实并非如此。商标权是指自己生产制造出来的产品,非法使用他人的商标。本题中问题在于复制了软件光盘,随意传播,把软件非法传播出去,对原著作权人造成侵害。
第 8 题
在著作权法中,计算机软件著作权保护的对象是( )。
- (A) 计算机程序及其开发文档
- (B) 硬件设备驱动程序
- (C) 设备和操作系统软件
- (D) 源程序代码和底层环境
答案与解析
- 试题难度:容易
- 知识点:法律法规与标准化>保护范围与对象
- 试题答案:[['A']]
- 试题解析:本题考查知识产权中的软件著作权保护对象。软件著作权的保护对象是计算机程序及其文档,而权利人可能是软件开发者,也可能是软件开发者所在的公司(职务作品的情况)。
第 9 题
著作权中,( )的保护期不受限制。
- (A) 发表权
- (B) 发行权
- (C) 署名权
- (D) 展览权
答案与解析
- 试题难度:容易
- 知识点:法律法规与标准化>保护期限
- 试题答案:[['C']]
- 试题解析:本题考查知识产权中的著作权的保护期限。在著作权中:
“署名权、修改权、保护作品完整权”的保护是没有时间限制的。
“发表权、使用权和获得报酬权”的保护时限为:作者终生及其死亡后的50年(第50年的12月31日)。
第 10 题
以下关于计算机软件著作权的叙述,错误的是( )。
- (A) 软件著作权人可以许可他人行使其软件著作权,并有权获得报酬
- (B) 软件著作权人可以全部或者部分转让其软件著作权,并有权获得报酬
- (C) 为了学习和研究软件内含的设计思想和原理,通过安装、显示、传输或者存储软件等方式使用软件的,可以不经软件著作权人许可,不向其支付报酬
- (D) 软件著作权属于自然人的,该自然人死亡后,在软件著作权的保护期内,软件著作权的继承人可以继承各项软件著作权
答案与解析
- 试题难度:一般
- 知识点:法律法规与标准化>侵权判断
- 试题答案:[['D']]
- 试题解析:本题考查知识产权中的软件著作权。软件著作权属于自然人时,该自然人死亡后,在软件著作权的保护期内,软件著作权的继承人可以继承部分软件著作权,但像署名权这类权利是不能继承的。
第 11 题
以下关于CPU和GPU的叙述中,错误的是( )。
- (A) CPU适合于需要处理各种不同的数据类型、大量的分支跳转及中断等场合
- (B) CPU利用较高的主频、高速缓存(Cache)和分支预测等技术来执行指令
- (C) GPU采用MISD(Multiple Instruction Single Data)并行计算架构
- (D) GPU的特点是比CPU包含更多的计算单元和更简单的控制单元
答案与解析
- 试题难度:一般
- 知识点:计算机组成与体系结构>Flynn分类法
- 试题答案:[['C']]
- 试题解析:本题看似是考查CPU与GPU的差异,但事实上是考的Flynn分类法。GPU是一种高性能的图形处理器,一般采用的是SIMD架构。
第 12 题
计算机系统是一个硬件和软件综合体,位于硬联逻辑层上面的微程序是用微指令编写的。以下叙述中,正确的是( )。
- (A) 微程序一般由硬件执行
- (B) 微程序一般是由操作系统来调度和执行
- (C) 微程序一般用高级语言构造的编译器翻译后来执行
- (D) 微程序一般用高级语言构造的解释器件来解释执行
答案与解析
- 试题难度:一般
- 知识点:计算机组成与体系结构>CISC与RISC
- 试题答案:[['A']]
- 试题解析:计算机系统是一个硬件和软件的综合体,可以把它看作是按功能划分的多级层次结构,如图所示。这种结构的划分,有利于正确理解计算机系统的工作过程,明确软件、硬件在系统中的地位和作用。

图 计算机系统的多级层次结构
(1)硬联逻辑级。这是计算机的内核,由门、触发器等逻辑电路组成。
(2)微程序级。这一级的机器语言是微指令集,程序员用微指令编写的微程序一般直接由硬件执行。
(3)传统机器级。这一级的机器语言是该机的指令集,程序员用机器指令编写的程序可以由微程序进行解释。
(4)操作系统级。从操作系统的基本功能来看,一方面它要直接管理传统机器中的软硬件资源,另一方面它又是传统机器的延伸。
(5)汇编语言级。这一级的机器语言是汇编语言,完成汇编语言翻译的程序称为汇编程序。
(6)高级语言级。这一级的机器语言就是各种高级语言,通常用编译程序来完成高级语言翻译的工作。
(7)应用语言级。这一级是为了使计算机满足某种用途而专门设计的,因此,这一级的机器语言就是各种面向问题的应用语言。
第 13 题
计算机系统中,( )方式是根据所访问的内容来决定要访问的存储单元,常用在( )存储器中。
- (A) 顺序存取
- (B) 直接存取
- (C) 随机存取
- (D) 相联存取
- (A) DRAM
- (B) Cache
- (C) EEPROM
- (D) CD-ROM
答案与解析
- 试题难度:一般
- 知识点:计算机组成与体系结构>多级存储结构
- 试题答案:[['D'],['B']]
- 试题解析:本题考查组成原理中的相联存储基本概念。按内容存取,是相联存储的最基本特点,Cache是一种非常经典的相联存储器。
第 14 题
RISC指令系统的特点包括( )。
①指令数量少②寻址方式多
③指令格式种类少
④指令长度固定
>- (A) ①②③ >- (B) ①②④ >- (C) ①③④ >- (D) ②③④ **答案与解析** - 试题难度:容易 - 知识点:计算机组成与体系结构>CISC与RISC - 试题答案:[['C']] - 试题解析:

第 15 题
在企业信息系统中,客户关系管理系统将客户看作是企业的一项重要资产,其关键内容是( ),供应链管理系统是企业通过改善上、下游供应链关系,整合和优化企业的 ( );产品数据管理系统可以帮助企业实现对与企业产品相关的( )进行集成和管理;知识管理系统是对企业有价值的信息进行管理,其中,( )使知识能在企业内传播和分享,使得知识产生有效的流动。
- (A) 客户价值管理
- (B) 市场营销
- (C) 客户资料库
- (D) 客户服务
- (A) 信息流、物流和资金流
- (B) 商务流、物流和资金流
- (C) 信息流、商务流和信用流
- (D) 商务流、物流和人员流
- (A) 配置、文档和辅助设计文件
- (B) 数据、开发过程以及使用者
- (C) 产品数据、产品结构和配置
- (D) 工作流、产品视图和客户
- (A) 知识生成工具
- (B) 知识编码工具
- (C) 知识转移工具
- (D) 知识发布工具
答案与解析
- 试题难度:一般
- 知识点:企业信息化战略与实施>企业信息化与电子商务
- 试题答案:[['D'],['A'],['B'],['C']]
- 试题解析:客户关系管理(Customer Relationship Management, CRM)将客户看作是企业的一项重要资产,客户关怀是CRM的中心,其目的是与客户建立长期和有效的业务关系,在与客户的每一个“接触点”上都更加接近客户、了解客户,最大限度地增加利润。CRM的核心是客户价值管理,它将客户价值分为既成价值、潜在价值和模型价值,通过“一对一”营销原则,满足不同价值客户的个性化需求,提高客户忠诚度和保有率,实现客户价值持续贡献,从而全面提升企业盈利能力。客户服务是CRM的关键内容,是能否形成并保留大量忠诚客户的关键。
CRM的功能包括四个方面:
客户服务:客户服务是CRM的关键内容。
供应链管理(Supply Chain Management,SCM)是一种集成的管理思想和方法,它执行供应链中从供应商到最终用户的物流的计划和控制等职能。从单一的企业角度来看,是指企业通过改善上、下游供应链关系,整合和优化供应链中的信息流、物流和资金流,以获得企业的竞争优势。
市场营销:包括商机产生、商机获取和管理、商业活动管理和电话营销等。
共享的客户资料库:它把市场营销和客户服务连接起来。
分析能力:CRM的一个重要方面在于它具有使客户价值最大化的分析能力。
产品数据管理(Product Data Management,PDM)是一门用来管理所有与产品相关信息(包括零件信息、配置、文档、计算机辅助设计文件、结构、权限信息等)和所有与产品相关过程(包括过程定义和管理)的技术。PDM系统是一种软件框架,利用这个框架可以帮助企业实现对与企业产品相关的数据、开发过程以及使用者进行集成与管理,可以实现对设计、制造和生产过程中需要的大量数据进行跟踪和支持。
通常,可以把知识管理工具分为知识生成工具、知识编码工具和知识转移工具三大类。
(1)知识生成工具。知识的生成包括产生新的想法、发现新的商业模式、发明新的生产流程,以及对原有知识的重新合成。不同方式的知识产生模式有不同的工具对其进行支持。知识生成工具包括知识获取、知识合成和知识创新三大功能。目前,利用具有初步人工智能功能的搜索引擎和知识挖掘工具进行知识的自动获取,可以将相关的词句组合起来,帮助人们将分散的创新观点进行合成。但是,目前实现知识的创新还十分困难,只能利用一些工具实现辅助性的知识创新。
(2)知识编码工具。知识编码是通过标准的形式表现知识,使知识能够方便地被共享和交流。知识编码工具的作用就在于将知识有效地存储并且以简明的方式呈现给使用者,使知识更容易被其他人使用。知识编码的困难在于,知识几乎不能以离散的形式予以表现。知识不断地积累,不断地改变,以至于人们很难对其进行清晰的区分。因此,对知识进行审核和分类是十分困难的。
(3)知识转移工具。知识转移工具最终就是要使知识能在企业内传播和分享。知识的价值在于流动和使用。在知识流动的过程中存在许多障碍,使知识不能毫无阻力地任意流动。这些障碍可分成三类,分别是时间差异、空间差异和社会差异。知识转移工具可以根据各种障碍的特点,在一定程度上帮助人们消除障碍,使知识得到更有效的流动。
第 16 题
商业智能系统主要包括数据预处理、建立数据仓库、数据分析和数据展现四个主要阶段。其中,数据预处理主要包括( );建立数据仓库是处理海量数据的基础;数据分析一般采用( )来实现;数据展现则主要是保障系统分析结果的可视化。
- (A) 联机分析处理(OLAP)
- (B) 联机事务处理(OLTP)
- (C) 抽取、转换和加载(ETL)
- (D) 数据聚集和汇总(DCS)
- (A) 数据仓库和智能分析
- (B) 数据抽取和报表分析
- (C) 联机分析处理和数据挖掘
- (D) 业务集成和知识形成与转化
答案与解析
- 试题难度:容易
- 知识点:企业信息化战略与实施>企业信息化与电子商务
- 试题答案:[['C'],['C']]
- 试题解析:BI系统主要包括数据预处理、建立数据仓库、数据分析和数据展现四个主要阶段。数据预处理是整合企业原始数据的第一步,它包括数据的抽取(Extraction)、转换(Transformation)和加载(Load)三个过程(ETL过程)。建立数据仓库则是处理海量数据的基础。数据分析是体现系统智能的关键,一般采用OLAP和数据挖掘两大技术。OLAP不仅进行数据汇总/聚集,同时还提供切片、切块、下钻、上卷和旋转等数据分析功能,用户可以方便地对海量数据进行多维分析;数据挖掘的目标则是挖掘数据背后隐藏的知识,通过关联分析、聚类和分类等方法建立分析模型,预测企业未来发展趋势和将要面临的问题。在海量数据和分析手段增多的情况下,数据展现则主要保障系统分析结果的可视化。
第 17 题
业务流程分析的目的是了解各个业务流程的过程,明确各个部门之间的业务关系和每个业务处理的意义。在业务流程分析方法中,( )能够找出或设计出那些能够使客户满意,实现客户价值最大化; ( )能够对供应链上的所有环节进行有效管理,实现对企业的动态控制和各种资源的集成和优化。
- (A) 客户关系分析法
- (B) 价值链分析法
- (C) 供应链分析法
- (D) 基于ERP的分析法
- (A) 客户关系分析法
- (B) 价值链分析法
- (C) 供应链分析法
- (D) 基于ERP的分析法
答案与解析
- 试题难度:一般
- 知识点:企业信息化战略与实施>企业信息化与电子商务
- 试题答案:[['B'],['D']]
- 试题解析:业务流程分析的主要方法有价值链分析法、客户关系分析法、供应链分析法、基于ERP的分析法和业务流程重组等。(1)价值链分析法。价值链分析法找出或设计出那些能够使顾客满意,实现顾客价值最大化的业务流程。价值链就是一个创造价值的工作流程,在这一总流程基础上,可把企业具体的活动细分为生产指挥流程、计划决策流程、营销流程、信息搜集与控制流程、资金筹措流程等。其中有些业务流程特别重要,对形成企业核心竞争力起着关键作用,这样的业务流程称为基本业务流程,对应于价值链中的基本活动;其他业务流程是对企业的基本经营活动提供支持和服务,称为辅助业务流程,对应于价值链中的辅助活动。
(2)客户关系分析法。客户关系分析法就是把CRM用在业务流程的分析上。CRM的目标是建立真正以客户为导向的组织结构,以最佳的价值定位瞄准最具吸引力的客户,最大化地提高运营效率,建立有效的合作伙伴关系。从CRM的角度分析业务流程,企业的业务流程应当是以客户与企业的关系,以及客户行为为依据的,而不是传统的按照企业内部管理来实施的。
(3)供应链分析法。供应链分析法是从企业供应链的角度分析企业的业务流程,它源于SCM。供应链是指用一个整体的网络用来传送产品和服务,从原材料开始一直到最终客户(消费者),它凭借一个设计好的信息流、物流和资金流来完成。供应链分析法主要从企业内部供应链和外部供应链两个角度来分析企业的业务流程,分析哪些流程处于供应链的核心环节。
(4)基于ERP的分析法。ERP的基本思想是将企业的业务流程看作是一个紧密联接的供应链,将供应商和企业内部的采购、生产、销售,以及客户紧密联系起来,对供应链上的所有环节进行有效管理,实现对企业的动态控制和各种资源的集成和优化,从而提升企业基础管理水平,追求企业资源的合理、高效利用。
(5)业务流程重组。通过重新审视企业的价值链,从功能成本的比较分析中,确定企业在哪些环节具有比较优势。在此基础上,以顾客满意为出发点进行价值链的分解与整合,改造原有的业务流程,实现业务流程的最优化。
第 18 题
系统设计是根据系统分析的结果,完成系统的构建过程。其中,( )是为各个具体任务选择适当的技术手段和处理流程; ( )的主要任务是将系统的功能需求分配给软件模块,确定每个模块的功能和调用关系,形成软件的( )。
- (A) 详细设计
- (B) 架构设计
- (C) 概要结构设计
- (D) 功能设计
- (A) 详细设计
- (B) 架构设计
- (C) 概要结构设计
- (D) 模块设计
- (A) 用例图
- (B) 模块结构图
- (C) 系统部署图
- (D) 类图
答案与解析
- 试题难度:一般
- 知识点:系统设计>结构化设计
- 试题答案:[['A'],['C'],['B']]
- 试题解析:系统设计的主要内容包括概要设计和详细设计。概要设计又称为系统总体结构设计,它是系统开发过程中很关键的一步,其主要任务是将系统的功能需求分配给软件模块,确定每个模块的功能和调用关系,形成软件的模块结构图,即系统结构图。在概要设计中,将系统开发的总任务分解成许多个基本的、具体的任务,为每个具体任务选择适当的技术手段和处理方法的过程称为详细设计。根据任务的不同,详细设计又可分为多种,例如,网络设计、代码设计、输入/输出设计、处理流程设计、数据存储设计、用户界面设计、安全性和可靠性设计等。
第 19 题
界面是系统与用户交互的最直接的层面。Theo Mandel博士在界面设计中,提出了著名的人机交互“黄金三原则”,包括保持界面一致、减轻用户的记忆负担和( )。
- (A) 遵循用户认知理解
- (B) 降低用户培训成本
- (C) 置于用户控制之下
- (D) 注意资源协调方式
答案与解析
- 试题难度:一般
- 知识点:系统设计>人机界面设计
- 试题答案:[['C']]
- 试题解析:人机交互“黄金三原则”包括:置于用户控制之下、减少用户的记忆负担、保持界面的一致性。
第 20 题
系统模块结构设计中,一个模块应具备的要素包括输入和输出、处理功能、( )和( )。
- (A) 外部数据
- (B) 内部数据
- (C) 链接数据
- (D) 数据格式
- (A) 程序结构
- (B) 模块结构
- (C) 程序代码
- (D) 资源链接
答案与解析
- 试题难度:一般
- 知识点:系统设计>结构化设计
- 试题答案:[['B'],['C']]
- 试题解析:一个模块应具备以下四个要素:(1)输入和输出。模块的输入来源和输出去向都是同一个调用者,即一个模块从调用者那儿取得输入,进行加工后再把输出返回调用者。
(2)处理功能。指模块把输入转换成输出所做的工作。
(3)内部数据。指仅供该模块本身引用的数据。
(4)程序代码。指用来实现模块功能的程序。前两个要素是模块的外部特性,即反映了模块的外貌;后两个要素是模块的内部特性。在结构化设计中,主要考虑的是模块的外部特性,其内部特性只做必要了解,具体的实现将在系统实施阶段完成。
第 21 题
类封装了信息和行为,是面向对象的重要组成部分。在系统设计过程中,类可以划分为不同种类。身份验证通常属于( ),用户通常属于( )。
- (A) 控制类
- (B) 实体类
- (C) 边界类
- (D) 接口类
- (A) 控制类
- (B) 实体类
- (C) 边界类
- (D) 接口类
答案与解析
- 试题难度:容易
- 知识点:需求工程>面向对象基本概念
- 试题答案:[['A'],['B']]
- 试题解析:在系统设计过程中,类可以分为三种类型,分别是实体类、边界类和控制类。1.实体类
实体类映射需求中的每个实体,实体类保存需要存储在永久存储体中的信息,例如,在线教育平台系统可以提取出学员类和课程类,它们都属于实体类。实体类通常都是永久性的,它们所具有的属性和关系是长期需要的,有时甚至在系统的整个生存期都需要。
实体类是对用户来说最有意义的类,通常采用业务领域术语命名,一般来说是一个名词,在用例模型向领域模型的转化中,一个参与者一般对应于实体类。通常可以从SRS中的那些与数据库表(需要持久存储)对应的名词着手来找寻实体类。通常情况下,实体类一定有属性,但不一定有操作。
2.控制类
控制类是用于控制用例工作的类,一般是由动宾结构的短语(“动词+名词”或“名词+动词”)转化来的名词,例如,用例“身份验证”可以对应于一个控制类“身份验证器”,它提供了与身份验证相关的所有操作。控制类用于对一个或几个用例所特有的控制行为进行建模,控制对象(控制类的实例)通常控制其他对象,因此,它们的行为具有协调性。
控制类将用例的特有行为进行封装,控制对象的行为与特定用例的实现密切相关,当系统执行用例的时候,就产生了一个控制对象,控制对象经常在其对应的用例执行完毕后消亡。通常情况下,控制类没有属性,但一定有方法。
3.边界类
边界类用于封装在用例内、外流动的信息或数据流。边界类位于系统与外界的交接处,包括所有窗体、报表、打印机和扫描仪等硬件的接口,以及与其他系统的接口。要寻找和定义边界类,可以检查用例模型,每个参与者和用例交互至少要有一个边界类,边界类使参与者能与系统交互。边界类是一种用于对系统外部环境与其内部运作之间的交互进行建模的类。常见的边界类有窗口、通信协议、打印机接口、传感器和终端等。实际上,在系统设计时,产生的报表都可以作为边界类来处理。
第 22 题
在现代化管理中,信息论已成为与系统论、控制论等相并列的现代科学主要方法论之一。信息具有多种基本属性,其中( )是信息的中心价值;( )决定了需要正确滤去不重要的信息、失真的信息,抽象出有用的信息;信息是数据加工的结果,体现了信息具有( )。
- (A) 分享性
- (B) 真伪性
- (C) 滞后性
- (D) 不完全性
- (A) 分享性
- (B) 真伪性
- (C) 滞后性
- (D) 不完全性
- (A) 分享性
- (B) 扩压性
- (C) 滞后性
- (D) 层次性
答案与解析
- 试题难度:一般
- 知识点:企业信息化战略与实施>信息与信息化的概念
- 试题答案:[['B'],['D'],['C']]
- 试题解析:信息具有如下基本属性:真伪性:真实是信息的中心价值,不真实的信息价值可能为负。
层次性:信息一般和管理层一样,可以分为战略层、策略层和执行层3个层次。
不完全性:客观事实的全部信息是不可能得到的。我们需要正确滤去不重要的信息、失真的信息,抽象出有用的信息。
滞后性:信息是数据加工的结果,因此信息必然落后于数据,加工需要时间。
扩压性:信息和实物不同,它可以扩散也可以压缩。
分享性:信息可以分享,这和物质不同,并且信息分享具有非零和性。
第 23 题
美国著名的卡内基梅隆大学软件工程学研究所针对软件工程的工程管理能力与水平进行了充分研究,提出了5级管理能力的模式,包括临时凑合阶段、简单模仿阶段、完成定义阶段、( )和( )。
- (A) 细化定义阶段
- (B) 标准化阶段
- (C) 管理阶段
- (D) 规格化阶段
- (A) 细化定义阶段
- (B) 管理阶段
- (C) 最佳化阶段
- (D) 规格化阶段
答案与解析
- 试题难度:一般
- 知识点:项目管理>软件质量管理
- 试题答案:[['C'],['C']]
- 试题解析:SEI 的 5 级管理能力模式如下:(1)临时凑合阶段:工作无正式计划,作业进度经常被更改,任务计划、预算、功能、质量都不可预测, 开发机构的整体组织非常混乱。系统的性能、水平依个人能力而定。
(2)简单模仿阶段:开发方开始采用基本的项目管理方法与原理;项目从规划到运行都有明确的计划; 这些计划是通过模仿以前成功的项目开发的例子制定的,有可能通过模仿在本次开发中成功。
(3)完成定义阶段:与项目有关的整体机构的作业进度规格化、标准化,由此达到持续稳定的技术水平与管理能力。这种工程进度管理能力要求把与开发项目有关的活动、作用和责任充分告知所有的开发者, 并使之充分理解。
(4)管理阶段:这是理想的项目管理阶段。表现在开发者的工程管理能力不断强化,通过可靠的组织与 计划保障,能及早发现可能影响系统功能与性能的缺陷,使系统的性能与可靠性不断改进与提高。
(5)最佳化阶段:这一阶段是理想的项目管理阶段。其特点表现在开发者的工程管理能力不断强化,通过可靠的组织与计划保障,能及早发现项目中可能影响系统功能与性能的缺陷,系统的关键指标在工程的实施过程中得到全面保证与提高。
第 24 题
数据库的产品很多,尽管它们支持的数据模型不同,使用不同的数据库语言,而且数据的存储结构也各不相同,但体系结构基本上都具有相同的特征,采用“三级模式和两级映像”,如下图所示,图中①、②、③分别表示数据库系统中( ),图中④、⑤、⑥分别表示数据库系统中( )。

>- (A) 物理层、逻辑层、视图层 >- (B) 逻辑层、物理层、视图层 >- (C) 视图层、物理层、逻辑层 >- (D) 视图层、逻辑层、物理层 >- (A) 外模式/内模式映射、外模式/内模式映射、概念模式/内模式映射 >- (B) 外模式/概念模式映射、外模式/概念模式映射、概念模式/内模式映射 >- (C) 概念模式/内模式映射、概念模式/内模式映射、外模式/内模式映射 >- (D) 外模式/内模式映射、外模式/内模式映射、概念模式/外模式映射 **答案与解析** - 试题难度:容易 - 知识点:数据库系统>数据库模式 - 试题答案:[['D'],['B']] - 试题解析:
### 第 25 题
典型的事务服务器系统包括多个在共享内存中访问数据的进程,其中( )监控其它进程,一旦进程失败,它将为该失败进程执行恢复动作,并重启该进程。
- (A) 检查点进程
- (B) 数据库写进程
- (C) 进程监控进程
- (D) 锁管理器进程
答案与解析
- 试题难度:一般
- 知识点:数据库系统>并发控制
- 试题答案:[['C']]
- 试题解析:事务服务器包括多个在共享内存中访问数据的进程:服务器进程:接收用户查询(事务)、执行查询并返回结果的进程。
锁管理器进程:包括锁授予、释放锁和死锁检测。
数据库写进程:有一个或多个进程用来将修改过的缓冲块输出到基于连续方式的磁盘中。
日志写进程:该进程将日志记录从日志记录缓冲区输出到稳定存储器上。
检查点进程:定期执行检查点操作。
进程监控进程:监控其他进程。一旦有进程失败,它将为失败进程执行恢复动作。
第 26 题
给定关系模式R<U,F>,其中U为属性集,F是U上的一组函数依赖,那么Armstrong公理系统的增广律是指( )。
- (A) 若X→Y,X→Z,则X→YZ为F所蕴涵
- (B) 若X→Y,WY→Z,则XW→Z为F所蕴涵
- (C) 若X→Y,Y→Z为F所蕴涵,则X→Z为F所蕴涵
- (D) 若X→Y为F所蕴涵,且Z⊆U,则XZ→YZ为F所蕴涵
答案与解析
- 试题难度:一般
- 知识点:数据库系统>规范化理论
- 试题答案:[['D']]
- 试题解析:关系模式R <U,F >来说有以下的推理规则:A1.自反律(Reflexivity):若Y⊆X⊆U,则X →Y成立。
A2.增广律(Augmentation):若Z⊆U且X→Y,则XZ→YZ成立。
A3.传递律(Transitivity):若X→Y且Y→Z,则X→Z成立。
第 27 题
某集团公司下属有多个超市,假设公司高管需要从时间、地区和商品种类三个维度来分析某电器商品销售数据,那么应采用( )来完成。
- (A) 数据挖掘
- (B) OLAP
- (C) OLTP
- (D) ETL
答案与解析
- 试题难度:一般
- 知识点:数据库系统>数据仓库与数据挖掘
- 试题答案:[['B']]
- 试题解析:依据题目说明的情况,该做法是进行多维数据分析,而多维数据分析是OLAP的典型应用。数据挖掘一般用于挖掘数据之间的联系,得到一些人类所未知的数据规律。
第 28 题
若某企业信息系统的应用人员分为三类:录入、处理和查询,那么用户权限管理的方案适合采用( )。
- (A) 针对所有人员建立用户名并授权
- (B) 建立用户角色并授权
- (C) 建立每类人员的视图并授权给每个人
- (D) 对关系进行分解,每类人员对应一组关系
答案与解析
- 试题难度:一般
- 知识点:数据库系统>其它
- 试题答案:[['B']]
- 试题解析:由于系统的应用人员可明确分为三类,所以按不同角色赋予权限,再给用户分配相应角色的机制最为适合。
第 29 题
采用微内核结构的操作系统设计的基本思想是内核只完成操作系统最基本的功能并在核心态下运行,其他功能运行在用户态,其结构图如下所示。图中空(a)、(b)、(c)和(d)应分别选择如下所示①~④中的哪一项?( )。
①核心态 ②用户态 ③文件和存储器服务器 ④进程调度及进程间通信

- (A) ①、②、③和④
- (B) ④、③、②和①
- (C) ③、④、②和①
- (D) ③、①、④和②
答案与解析
- 试题难度:容易
- 知识点:操作系统>微内核操作系统
- 试题答案:[['C']]
- 试题解析:

第 30 题
在支持多线程的操作系统中,假设进程P创建了若干个线程,那么( )是不能被其他线程共享的。
- (A) 该进程的代码段
- (B) 该进程中打开的文件
- (C) 该进程的全局变量
- (D) 该进程中线程的栈指针
答案与解析
- 试题难度:容易
- 知识点:操作系统>进程的状态
- 试题答案:[['D']]
- 试题解析:同一进程间的线程共享的资源包括:1、堆:由于堆是在进程空间中开辟出来的,所以它是理所当然地被共享的。
2、全局变量:它是与具体某一函数无关的,所以也与特定线程无关;因此也是共享的。
3、静态变量:虽然对于局部变量来说,它在代码中是“放”在某一函数中的,但是其存放位置和全局变量一样,存于堆中开辟的.bss和.data段,是共享的。
4、文件等公用资源:使用这些公共资源的线程必须同步。Win32 提供了几种同步资源的方式,包括信号、临界区、事件和互斥体。
独享的资源有:
1、栈:每个线程中的栈都是由线程自身独享的。
2、寄存器:每个线程执行指令时,都要用到寄存器,线程间的寄存器并不共享。
第 31 题
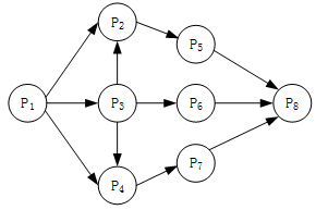
前趋图是一个有向无环图,记为:→={(Pi,Pj)|Pi完成时间先于Pj开始时间}。假设系统中进程P={P1,P2, P3, P4, P5,P6, P7,P8},且进程的前趋图如下:

那么,该前驱图可记为( )。
>- (A)
>- (B)
>- (C)
>- (D)
**答案与解析**
- 试题难度:容易
- 知识点:操作系统>前趋图
- 试题答案:[['B']]
- 试题解析:本题逻辑很简单,只要按照题目的要求,将图中的每一条箭线都用约定的形式表达即可。A选项中|(P5,P6)有误,C选项与D选项中(P3,P5)有误。
第 32 题
假设磁盘块与缓冲区大小相同,每个盘块读入缓冲区的时间为16us,由缓冲区送至用户区的时间是5us,在用户区内系统对每块数据的处理时间为1us。若用户需要将大小为10个磁盘块的Doc1文件逐块从磁盘读入缓冲区,并送至用户区进行处理,那么采用单缓冲区需要花费的时间为( )us;采用双缓冲区需要花费的时间为( )us。
- (A) 160
- (B) 161
- (C) 166
- (D) 211
- (A) 160
- (B) 161
- (C) 166
- (D) 211
答案与解析
- 试题难度:一般
- 知识点:计算机组成与体系结构>磁盘存储
- 试题答案:[['D'],['C']]
- 试题解析:本题可转换为流水线的题来解答。当采用单缓冲区时,由于将盘块读入缓冲区与将数据从缓冲区转到用户区,都要用到同一个缓冲区,所以只能把这两步作为流水线的一个段。所以计算方式为:
16+5+1+(10-1)(16+5)=211us。
当采用双缓冲区时,读入缓冲区与将数据从缓冲区转到用户区可以作为流水线的两个段,所以计算方式为:
16+5+1+(10-1)16=166us。
第 33 题
某系统磁盘数据块的大小为1024KB,系统磁盘管理采用索引文件结构,每个索引指针占用4个字节。一个索引文件的索引节点有8个直接块地址、1个一级间接块地址、1个二级间接块地址和1个三级间接块地址。假设索引节点已经在内存中,那么访问该文件偏移地址9089字节的数据需要再访问( )次磁盘。
- (A) 1
- (B) 2
- (C) 3
- (D) 4
答案与解析
- 试题难度:一般
- 知识点:操作系统>索引文件
- 试题答案:[['A']]
- 试题解析:由于一个磁盘数据块的大小为:1024KB,索引文件一共有8个直接块地址,所以直接索引范围达到8192KB。文件偏移地址为9089字节,这个位置属于直接索引,故需要访问1次磁盘。
第 34 题
某系统采用请求页式存储管理方案,假设某进程有6个页面,系统给该进程分配了4个存储块,其页面变换表如下表所示,表中的状态位等于1和0分别表示页面在内存或不在内存。当该进程访问的第4号页面不在内存时,应该淘汰表中页面号为( )的页面。

>- (A) 1 >- (B) 2 >- (C) 3 >- (D) 5 **答案与解析** - 试题难度:一般 - 知识点:操作系统>段页式存储 - 试题答案:[['C']] - 试题解析:
本题考查页式存储,在页式存储中,需要淘汰页面时,一般淘汰访问位为0的页面。因为这类页面长时间未被访问,根据局部性原理,这类页面再次被访问的概率较小,应优先淘汰。
第 35 题
某厂拥有三种资源A、B、C,生产甲、乙两种产品。生产每吨产品需要消耗的资源、可以获得的利润见下表。目前,该厂拥有资源A、资源B和资源C分別为12吨、7吨和12吨。根据上述说明,适当安排甲、乙两种产品的生产量,就能获得最大总利润( )。如果生产计划只受资源A和C的约束,资源B很容易从市场上以每吨0.5百万元购得,则该厂宜再购买( )资源B,以获得最大的总利润。

>- (A) 16百万元 >- (B) 18百万元 >- (C) 19百万元 >- (D) 20百万元 >- (A) 1吨 >- (B) 2吨 >- (C) 3吨 >- (D) 4吨 **答案与解析** - 试题难度:一般 - 知识点:数学与经济管理>线性规划 - 试题答案:[['C'],['A']] - 试题解析:
本题是一个线性规划方面的问题。
设产品甲生产x吨,产品乙生产y吨:式1:2x+y<=12
式2:x+y<=7
式3:x+2y<=12
对式1与式2求解,得:
x<=5,y<=2,这是一个合法解。
对式1与式3求解,得:
x<=4,y<=4,代入式2,不成立,所以这不是合法解。
对式2与式3求解,得:
x<=2,y<=5,这是一个合法解。
将两组合法解分别代入利润方程有:
当x<=5,y<=2 时,最大利润为:
5×3+2×2=19
当x<=2,y<=5 时,最大利润为:
2×3+5×2=16
所以应选择x=5,y=2,得到最大利润为:19。
若生产计划只受资源A和C的约束,资源B很容易获得,所以问题将转变为:
式1:2x+y<=12
式3:x+2y<=12
式1:2x+y<=12
式3:x+2y<=12
此时,解出x<=4,y<=4。这意味着,如果B资源有8吨,就能达到最优方案,所以再购买1吨资源B即可。
第 36 题
设三个煤场A、B、C分别能供应煤12、14、10万吨,三个工厂X、Y、Z分别需要煤11、12、13万吨,从各煤场到各工厂运煤的单价(百元/吨)见下表方框内的数字。只要选择最优的运输方案,总的运输成本就能降到( )百万元。

>- (A) 83 >- (B) 91 >- (C) 113 >- (D) 153 **答案与解析** - 试题难度:一般 - 知识点:数学与经济管理>预测与决策 - 试题答案:[['A']] - 试题解析:
最优的运输方案为:
X厂:煤场B供1万吨,煤场C供10万吨;Y厂:煤场A供12万吨;
Z厂:煤场B供13万吨。
总运输成本=2+30+12+3*13=83。
### 第 37 题
某项目有A~H八个作业,各作业所需时间(单位:周)以及紧前作业如下表:

该项目的工期为( )周。如果作业C拖延3周完成,则该项目的工期( )。
- (A) 12
- (B) 13
- (C) 14
- (D) 15
- (A) 不变
- (B) 拖延1周
- (C) 拖延2周
- (D) 拖延3周
答案与解析
- 试题难度:一般
- 知识点:项目管理>时间管理
- 试题答案:[['B'],['C']]
- 试题解析:本题应先绘制出活动网络图,然后从图中找出最长路径,最长路径为:ADFH,长度为13,所以总工期13周。当作业C拖延3周后,关键路径发生改变,变为:ACEH,长度为15,所以总工期从13周,延长至15周,一共拖延2周。
第 38 题
下表记录了六个结点A、B、C、D、E、F之间的路径方向和距离。从A到F的最短距离是( )。

>- (A) 38 >- (B) 40 >- (C) 44 >- (D) 46 **答案与解析** - 试题难度:容易 - 知识点:数学与经济管理>最短路径 - 试题答案:[['A']] - 试题解析:
从A到F的最短路径是:A-C-F,总长度为38。
方法是,先求出从A到B的最短路径长度,然后求A到C的最短路径长度,依此类推。### 第 39 题
某小区有七栋楼房①~⑦(见下图),各楼房之间可修燃气管道路线的长度(单位:百米)已标记在连线旁。为修建连通各个楼房的燃气管道,该小区内部煤气管道的总长度至少为( )百米。

>- (A) 23 >- (B) 25 >- (C) 27 >- (D) 29 **答案与解析** - 试题难度:容易 - 知识点:数学与经济管理>最小生成树 - 试题答案:[['A']] - 试题解析:
本题为最小生成树问题。
从图中选取最小的六条边,并确保这6条边不形成环路即可。即:2+3+3+4+5+6=23。
### 第 40 题
信息系统的性能评价指标是客观评价信息系统性能的依据,其中,( )是指系统在单位时间内处理请求的数量。
- (A) 系统响应时间
- (B) 吞吐量
- (C) 资源利用率
- (D) 并发用户数
答案与解析
- 试题难度:容易
- 知识点:系统配置与性能评价>性能指标
- 试题答案:[['B']]
- 试题解析:吞吐量是指对网络、设备、端口、虚电路或其他设施,单位时间内成功地传送数据的数量(以比特、字节、分组等测量)。
第 41 题
运用互联网技术,在系统性能评价中通常用平均无故障时间(MTBF)和平均故障修复时间(MTTR)分别表示计算机系统的可靠性和可用性,下列( )表示系统具有高可靠性和高可用性。
- (A) MTBF小,MTTR小
- (B) MTBF大,MTTR小
- (C) MTBF大,MTTR大
- (D) MTBF小,MTTR大
答案与解析
- 试题难度:容易
- 知识点:系统可靠性分析与设计>系统可靠性分析
- 试题答案:[['B']]
- 试题解析:MTBF:平均无故障时间,也就是平均运行多久不出故障,这个时间越大,可用性越好。MTTR:平均故障修复时间,也就是每次故障需要多长时间恢复为正常状态,这个时间越小越好。
第 42 题
MPEG-7是ISO制定的( )标准。
- (A) 多媒体视频压缩编码
- (B) 多媒体音频压缩编码
- (C) 多媒体音、视频压缩编码
- (D) 多媒体内容描述接口
答案与解析
- 试题难度:一般
- 知识点:多媒体基础>常见多媒体标准
- 试题答案:[['D']]
- 试题解析:MPEG-7标准被称为“多媒体内容描述接口”,MPEG-7规定一个用于描述各种不同类型多媒体信息的描述符的标准集合,其目标是支持多种音频和视觉的描述,支持数据管理的灵活性、数据资源的全球化和互操作性等。它标准化了描述子、描述结构、描述定义语言等。
第 43 题
彩色视频信号数字化的过程中, 利用图像子采样技术通过降低对( )的采样频率,以达到减少编码数据量的目的。
- (A) 色度信号
- (B) 饱和度信号
- (C) 同步信号
- (D) 亮度信号
答案与解析
- 试题难度:一般
- 知识点:多媒体基础>多媒体技术基本概念
- 试题答案:[['A']]
- 试题解析:颜色是由亮度和色度共同表示的,色度是不包括亮度在内的颜色的性质,它反映的是颜色的色调和饱和度。在进行数据的采样与压缩时,由于人眼睛能识别的颜色的种类,远小于颜色固有的种类。所以会从这个维度出发,将人类看不出差异的颜色使用同样的颜色保存,这能有限的减少编码数据量。
第 44 题
主机host1对host2进行域名查询的过程如下图所示,下列说法中正确的是( )。

>- (A) 本地域名服务器采用迭代算法 >- (B) 中介域名服务器采用迭代算法 >- (C) 根域名服务器采用递归算法 >- (D) 授权域名服务器采用何种算法不确定 **答案与解析** - 试题难度:一般 - 知识点:计算机网络>TCP/IP协议族 - 试题答案:[['D']] - 试题解析:
本题中:
本地域名服务器采用的是递归算法;根域名服务器采用的是迭代算法;中介域名服务器采用的是递归算法。而授权域名服务器不能确定是哪种算法,所以应选D。### 第 45 题
某公司网络的地址是192.168.192.0/20,要把该网络分成32个子网,则对应的子网掩码应该是( ),每个子网可分配的主机地址数是( )。
- (A) 255.255.252.0
- (B) 255.255.254.0
- (C) 255.255.255.0
- (D) 255.255.255.128
- (A) 62
- (B) 126
- (C) 254
- (D) 510
答案与解析
- 试题难度:一般
- 知识点:计算机网络>子网划分
- 试题答案:[['D'],['B']]
- 试题解析:题目中,原网络地址是192.168.192.0/20,即IP地址前20位是网络号。目前要将此网络分成32个子网,则需要取5位主机号充当网络号,即前25位为网络号。此时的子网掩码应是前25位为1,后7位为0的地址,即:255.255.255.128。每个子网可分配的主机地址数为:2^7-2=126。
注:每个子网中,主机号为全0或全1的地址不能使用,所以要减2。
第 46 题
以下关于网络布线子系统的说法中,错误的是( )。
水平子系统是实现信息插座和管理子系统(跳线架)间的连接,而非计算机设备与各管理子系统间的连接。
第 47 题
在层次化园区网络设计中,( )是汇聚层的功能。
- (A) 高速数据传输
- (B) 出口路由
- (C) 广播域的定义
- (D) MAC地址过滤
答案与解析
- 试题难度:一般
- 知识点:计算机网络>网络规划与设计
- 试题答案:[['C']]
- 试题解析:为了能够更好地分析与设计复杂的大型互连网络,在计算机网络设计中,主要采用分层(分级)设计模型,它类似于软件工程中的结构化设计。在分层设计中,引入了三个关键层的概念,分别是核心层、汇聚层和接入层。通常将网络中直接面向用户连接或访问网络的部分称为接入层,将位于接入层和核心层之间的部分称为分布层或汇聚层。接入层的目的是允许终端用户连接到网络,因此,接入层交换机具有低成本和高端口密度特性。
汇聚层是核心层和接入层的分界面,完成网络访问策略控制、数据包处理、过滤、寻址,以及其他数据处理的任务。汇聚层交换机是多台接入层交换机的汇聚点,它必须能够处理来自接入层设备的所有通信量,并提供到核心层的上行链路,因此,汇聚层交换机与接入层交换机比较,需要更高的性能,更少的接口和更高的交换速率。
网络主干部分称为核心层,核心层的主要目的在于通过高速转发通信,提供优化、可靠的骨干传输结构,因此,核心层交换机应拥有更高的可靠性,性能和吞吐量。核心层为网络提供了骨干组件或高速交换组件,在纯粹的分层设计中,核心层只完成数据交换的特殊任务。需要根据网络需求的地理距离、信息流量和数据负载的轻重来选择核心层技术,常用的技术包括ATM、100Base-Fx和千兆以太网等。在主干网中,考虑到高可用性的需求,通常会使用双星(树)结构,即采用两台同样的交换机,与汇聚层交换机分别连接,并使用链路聚合技术实现双机互联。核心层:主要是高速数据交换,实现高速数据传输、出口路由,常用冗余机制。
接入层:主要是针对用户端,实现用户接入、计费管理、MAC地址认证、MAC地址过滤、收集用户信息,可以使用集线器代替交换机。
汇聚层 :网络访问策略控制、数据包处理和过滤、策略路由、广播域定义 、寻址。
第 48 题
假如有3块80T的硬盘,采用RAID5的容量是( )。
RAID采用的是N+1模式,即:一共有N+1个盘,则会用N个盘的容量存数据,1个盘的容量存校验信息。所以3块80T的盘,只有160T用于存数据,还有80T用于存校验信息,故能用的真实容量为160T。
网络安全体系设计可从物理线路安全、网络安全、系统安全、应用安全等方面来进行,其中,数据库容灾属于( )。
- (A) 物理线路安全和网络安全
- (B) 应用安全和网络安全
- (C) 系统安全和网络安全
- (D) 系统安全和应用安全
答案与解析
- 试题难度:容易
- 知识点:信息安全>其它
- 试题答案:[['D']]
- 试题解析:数据库容灾应属于系统安全和应用安全,因为一方面数据库管理系统属于系统软件,另一方面数据库中存储的是应用级的数据。
第 50 题
During the systems analysis phase, greater user involvement usually results in better communication, faster development times, and more satisfied users.There are three common team-based approaches that encourage system users to participate actively in various development tasks.1)( ) is a popular fact-finding technique that brings users into the development process as active participants. The end product of the approach is a requirements model.2)( ) is a team-based technique that speeds up information systems development and produces a functioning information system. The approach consists of several phases. The ( ) combines elements of the systems planning and systems analysis phases of the SDLC.Users, managers, and IT staff members discuss and agree on business needs, project scope, constraints, and system requirements. During ( ), users interact with systems analysts and develop models and prototypes that represent all system processes, outputs, and inputs.3)( ) attempt to develop a system incrementally by building a series of prototypes and constantly adjusting them to user requirements.
- (A) Questionnaires
- (B) Joint application development
- (C) Interviews
- (D) Prototyping
- (A) Object-oriented development
- (B) Model-driven development
- (C) Rapid application development
- (D) Commercial Application package
- (A) requirements planning phase
- (B) business process modeling
- (C) business process improvement
- (D) scope definition phase
- (A) physical architecture design
- (B) object design
- (C) prototypes design
- (D) user design phase
- (A) Agile methods
- (B) The FAST framework
- (C) Reverse Engineering
- (D) Reengineering
答案与解析
- 试题难度:一般
- 知识点:专业英语>专业英语
- 试题答案:[['B'],['C'],['A'],['D'],['A']]
- 试题解析:在系统分析阶段,更多的用户参与通常会有更好的沟通,更快的开发时间和更满意的用户。有三种常见的基于团队的方法可以鼓励系统用户积极参与各种开发任务。
是一种流行的实况调查技术,将用户作为积极参与者带入开发流程。这种方法的最终产品是需求模型。
是一种基于团队的技术,可加速信息系统开发并生成功能正常的信息系统。这种方法是由多个阶段组成的。
结合了SDLC的系统规划和系统分析阶段的元素。 用户,管理人员和IT员工讨论并商定业务需求,项目范围,约束和系统要求。
在(第四空)阶段,用户与系统分析员进行交互,并开发代表所有系统过程,输出和输入的模型和原型。
试图通过构建一系列原型并不断调整它们以满足用户需求来逐步开发系统。
第一空:问卷调查、联合应用开发、访谈、原型
第二空:面向对象的开发、模型驱动的开发、快速应用开发、商业应用程序包
第三空:需求计划阶段、业务流程建模、业务流程改进、范围定义阶段
第四空:物理架构设计、对象设计、原型设计、用户设计阶段
第五空:敏捷方法、框架、逆向工程、再造工程