201705系分上午真题
第 1 题
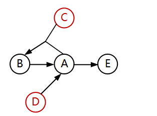
面向对象分析中,类与类之间的 “IS-A”关系的是一种( ),类与类之间的“IS-PART-OF”关系是一种( )。
- (A) 依赖关系
- (B) 关联关系
- (C) 泛化关系
- (D) 聚合关系
- (A) 依赖关系
- (B) 关联关系
- (C) 泛化关系
- (D) 聚合关系
答案与解析
- 试题难度:一般
- 知识点:需求工程>面向对象基本概念
- 试题答案:[['C'],['D']]
- 试题解析:
Is-a基于类继承或接口实现,Is-a是表达这句话的一种方式:“这个东西是那个东西的一种”。例如:野马是一种马。
has-a关系是基于用法(即引用)而不是继承。换句话说,如果类a中的代码具有对类b实例的引用,则“类a has-a类b”。例如:马有缰绳。
is part of是一种整体与部分的关系。整体与部分的关系有两种:聚合关系与组合关系。
第 2 题
- (A) 顺序图和协作图
- (B) 顺序图和状态图
- (C) 协作图和活动图
- (D) 状态图和活动图
- (A) 顺序图和协作图
- (B) 顺序图和状态图
- (C) 协作图和活动图
- (D) 状态图和活动图
答案与解析
- 试题难度:一般
- 知识点:需求工程>UML
- 试题答案:[['A'],['D']]
- 试题解析:本题考查UML图。多种UML图有其严格的分类,首先分为静态图和动态图。其中动态图又有一个细化的分类——交互图,交互图包括顺序图(序列图)与通信图(协作图)。
第 3 题
关于设计模式,下列说法正确的是( )。
- (A) 原型(Prototype)和模板方法 (Template Method)属于创建型模式
- (B) 组合(Composite)和代理 (Proxy)属于结构型模式
- (C) 桥接(Bridge)和状态(State)属于行为型模式
- (D) 外观(Facade)和中介(Mediator)属于创建型模式
答案与解析
- 试题难度:一般
- 知识点:系统设计>设计模式
- 试题答案:[['B']]
- 试题解析:本题考查设计模式的分类,设计模式分类情况如下所示:

第 4 题
- (A) 56
- (B) 112
- (C) 128
- (D) 168
答案与解析
- 试题难度:一般
- 知识点:信息安全>对称加密与非对称加密
- 试题答案:[['B']]
- 试题解析:本题考查信息安全中的对称加密算法。三重DES加密是使用2个DES密钥,进行多次操作来完成的,所以其密钥长度是:56×2=112位。
第 5 题
- (A) RSA
- (B) SHA-1
- (C) MD5
- (D) RC5
答案与解析
- 试题难度:一般
- 知识点:信息安全>对称加密与非对称加密
- 试题答案:[['D']]
- 试题解析:本题考查的是信息安全中的加密算法。其中:RSA是非对称加密算法;SHA-1与MD5属于信息摘要算法;RC-5属于对称加密算法。这些算法中SHA-1与MD5是不能用来加密数据的,而RSA由于效率问题,一般不直接用于明文加密,适合明文加密的,也就只有RC-5了。
第 6 题
- (A) A、B互换私钥
- (B) A、B互换公钥
- (C) I1、I2互换私钥
- (D) I1、I2互换公钥
答案与解析
- 试题难度:一般
- 知识点:信息安全>数字证书
- 试题答案:[['D']]
- 试题解析:本题考查的是信息安全中的CA认证。题目难度较高,但用排除法来分析不难得出结论。首先,在公钥体系中,交换私钥是无论什么情况下都绝对不允许发生的情况,所以A与C选项必然错误。余下的B与D,B选项的做法没意义,要AB互信,其信任基础是建立在CA之上的,如果仅交换AB的公钥并不能解决信任的问题。而I1与I2的公钥交换倒是可以做到互信,因为I1与I2的公钥正是验证CA签名的依据。所以本题应选D。
第 7 题
- (A) 128位
- (B) 160位
- (C) 256位
- (D) 512位
答案与解析
- 试题难度:一般
- 知识点:信息安全>信息摘要与数字签名
- 试题答案:[['B']]
- 试题解析:本题考查信息安全中的摘要算法,常用的消息摘要算法有MD5,SHA等,市场上广泛使用的MD5,SHA算法的散列值分别为128和160位,由于SHA通常采用的密钥长度较长,因此安全性高于MD5。
第 8 题
- (A) 项目组全体人员
- (B) 系统设计师
- (C) 项目负责人
- (D) 软件公司
答案与解析
- 试题难度:容易
- 知识点:法律法规与标准化>知识产权人确定
- 试题答案:[['D']]
- 试题解析:本题考查的是知识产权中著作权归属问题。由于应用软件是公司项目组开发的,这具备职务作品的典型特性,所以软件著作权人应为软件公司。
第 9 题
- (A) 软件开发思想与设计方案
- (B) 软件开发者
- (C) 计算机程序及其文档
- (D) 软件著作权权利人
答案与解析
- 试题难度:一般
- 知识点:法律法规与标准化>保护范围与对象
- 试题答案:[['C']]
- 试题解析:本题考查知识产权中的软件著作权。软件著作权的保护对象是计算机程序及其文档,而权利人可能是软件开发者,也可能是软件开发者所在的公司(职务作品的情况)。
第 10 题
- (A) 计算机程序代码
- (B) 计算机游戏的规则和方法
- (C) 计算机程序算法
- (D) 用于控制测试过程的程序
答案与解析
- 试题难度:一般
- 知识点:法律法规与标准化>保护范围与对象
- 试题答案:[['D']]
- 试题解析:专利法明确规定,智力活动的规则和方法不取得专利权。智力活动规则和方法是直接作用于人的思维,与产业生产中的技术活动不发生直接关系,并不是对自然规律的利用,不属于技术方案。通常,智力活动规则和方法是一些人为的规则,如管理规则、游戏规则、统计方法、分类方法和计算方法等。算法被认为是一种数学公式,反映的是自然法则和逻辑思维过程,属于智力活动规则和方法,不能受到专利法的保护。算法对于计算机软件而言极其重要,是计算机程序的基础,计算机软件总是离不开算法。因此,计算机软件本身属于智力活动规则和方法的范畴,不能够授予专利权。无论是源程序还是目标程序,它体现的是智力活动的规则和方法。因此仅以单纯的计算机程序为主题的发明创造是不能获得专利权的。
随着计算机技术的发展,不能授予专利权的智力活动规则和方法与能够授予专利权的方法之间的界线比较模糊了。例如,抽象出一种生产过程的数学模式,设计一种算法,通过予以运行用于控制该生产过程就能够获得专利保护。也就是说,智力活动规则和方法本身不被授予专利权,但进行智力活动的机器设备、装置或者根据智力活动规则和方法而设计制造的仪器、装置等都可以获得专利保护。即软件和硬件或者工业产品结合并表现为机器、装置或者为达到某种结果表现为方法时,软件可成为专利保护的对象。
第 11 题
- (A) 凤凰
- (B) 黄山
- (C) 同心
- (D) 湖南
答案与解析
- 试题难度:容易
- 知识点:法律法规与标准化>保护范围与对象
- 试题答案:[['D']]
- 试题解析:根据《中华人民共和国商标法》第十条规定:下列标志不得作为商标使用:
(一)同中华人民共和国的国家名称、国旗、国徽、国歌、军旗、军徽、军歌、勋章等相同或者近似的,以及同中央国家机关的名称、标志、所在地特定地点的名称或者标志性建筑物的名称、图形相同的;
(二)同外国的国家名称、国旗、国徽、军旗等相同或者近似的,但经该国政府同意的除外;
(三)同政府间国际组织的名称、旗帜、徽记等相同或者近似的,但经该组织同意或者不易误导公众的除外;
(四)与表明实施控制、予以保证的官方标志、检验印记相同或者近似的,但经授权的除外;
(五)同“红十字”、“红新月”的名称、标志相同或者近似的;
(六)带有民族歧视性的;
(七)带有欺骗性,容易使公众对商品的质量等特点或者产地产生误认的;
(八)有害于社会主义道德风尚或者有其他不良影响的。
县级以上行政区划的地名或者公众知晓的外国地名,不得作为商标。但是,地名具有其他含义或者作为集体商标、证明商标组成部分的除外;已经注册的使用地名的商标继续有效。
第 12 题
- (A) 1100010
- (B) 1011010
- (C) 1100011
- (D) 1011110
答案与解析
- 试题难度:一般
- 知识点:计算机组成与体系结构>校验码
- 试题答案:[['A']]
- 试题解析:本题考查的是CRC循环校验码的编码。编码流程为:
1、在原始信息位后加k个000,即1100000。
2、将1100000与生成多项式1011做模2除法,得到余数为010。
3、将原始信息位与余数连接起来得到:1100010。
第 13 题
- (A) 指令寄存器(IR)
- (B) 通用寄存器(GR)
- (C) 程序计数器(PC)
- (D) 状态寄存器(PSW)
答案与解析
- 试题难度:一般
- 知识点:计算机组成与体系结构>运算器与控制器
- 试题答案:[['C']]
- 试题解析:本题考查计算机组成原理的CPU寄存器。备选答案中的多种寄存器中PC负责记录要执行的指令地址。所以应把PC中的内容送到地址总线上。
第 14 题
- (A) 500×106
- (B) 490×106
- (C) 250×106
- (D) 167×106
答案与解析
- 试题难度:一般
- 知识点:计算机组成与体系结构>流水线技术
- 试题答案:[['B']]
- 试题解析:本题考查组成原理中的流水线技术。流水线执行100个任务所需要的时间为:
(2+1+1+1+1)+(100 - 1)2=204ns
所以每秒吞吐率为:(100/204)109=490*106
注意:1秒=109纳秒。
第 15 题
- (A) 只设置使用频度高的一些简单指令,不同指令执行时间差别很小
- (B) CPU 中设置大量寄存器,利用率低
- (C) 常采用执行速度更快的组合逻辑实现控制器
- (D) 指令长度不固定,指令格式和寻址方式多
答案与解析
- 试题难度:容易
- 知识点:计算机组成与体系结构>CISC与RISC
- 试题答案:[['D']]
- 试题解析:

第 16 题
- (A) 主存地址到Cache地址的变换由硬件完成,以提高速度
- (B) 主存地址到Cache地址的变换由软件完成,以提高灵活性
- (C) Cache 的命中率随其容量增大线性地提高
- (D) Cache 的内容在任意时刻与主存内容完全一致
答案与解析
- 试题难度:容易
- 知识点:计算机组成与体系结构>Cache
- 试题答案:[['A']]
- 试题解析:本题考查的是计算机组成原理中的Cache存储器。Cache与主存之间的映射采用的是硬件方式完成的,其目的是提高速度。
第 17 题
- (A) 用户访谈
- (B) 问卷调查
- (C) 联合需求计划
- (D) 采样
- (A) 用户访谈
- (B) 问卷调查
- (C) 联合需求计划
- (D) 采样
- (A) 用户访谈
- (B) 问卷调查
- (C) 联合需求计划
- (D) 采样
答案与解析
- 试题难度:一般
- 知识点:需求工程>需求获取
- 试题答案:[['A'],['D'],['C']]
- 试题解析:本题考查的是软件需求分析中的需求获取技术。用户访谈:用户访谈是最基本的一种需求获取手段,其形式包括结构化和非结构化两种。用户访谈是通过1对1(或1对2,1对3)的形式与用户面对面进行沟通,以获取用户需求。用户访谈具有良好的灵活性,有较宽广的应用范围。但是,也存在着许多困难,例如,用户经常较忙,难以安排时间;面谈时信息量大,记录较为困难;沟通需要很多技巧,同时需要系统分析师具有足够的领域知识等。另外,在访谈时,还可能会遇到一些对于企业来说比较机密和敏感的话题。因此,这看似简单的技术,也需要系统分析师具有丰富的经验和较强的沟通能力。
采样是指从种群中系统地选出有代表性的样本集的过程,通过认真研究所选出的样本集,可以从整体上揭示种群的有用信息。对于信息系统的开发而言,现有系统的文档(文件)就是采样种群。当开始对一个系统做需求分析时,查看现有系统的文档是对系统有初步了解的最好方法。但是,系统分析师应该查看哪些类型的文档,当文档的数据庞大,无法一一研究时,就需要使用采样技术选出有代表性的数据。
采样技术不仅可以用于收集数据,还可以用于采集访谈用户或者是采集观察用户。在对人员进行采样时,上面介绍的采样技术同样适用。通过采样技术,选择部分而不是选择种群的全部,不仅加快了数据收集的过程,而且提高了效率,从而降低了开发成本。另外,采样技术使用了数理统计原理,能减少数据收集的偏差。但是,由于采样技术基于统计学原理,样本规模的确定依赖于期望的可信度和已有的先验知识,很大程度上取决于系统分析师的主观因素,对系统分析师个人的经验和能力依赖性很强,要求系统分析师具有较高的水平和丰富的经验。
联合需求计划:为了提高需求获取的效率,越来越多的企业倾向于使用小组工作会议来代替大量独立的访谈。联合需求计划(Joint Requirement Planning,JRP)是一个通过高度组织的群体会议来分析企业内的问题并获取需求的过程,它是联合应用开发(Joint Application Development,JAD)的一部分。
第 18 题
- (A) 技术
- (B) 经济
- (C) 环境
- (D) 用户使用
- (A) 技术
- (B) 经济
- (C) 环境
- (D) 用户使用
答案与解析
- 试题难度:容易
- 知识点:系统规划>可行性分析
- 试题答案:[['B'],['D']]
- 试题解析:
可行性是指在企业当前的条件下,是否有必要建设新系统,以及建设新系统的工作是否具备必要的条件。也就是说,可行性包括必要性和可能性。参考国家标准《计算机软件文档编制规范》(GB/T 8567-2006),在信息系统建设项目中,可行性研究通常从经济可行性、技术可行性、法律可行性和用户使用可行性四个方面来进行分析,其中经济可行性通常被认为是项目的底线。
1..经济可行性
经济可行性也称为投资收益分析或成本效益分析,主要评估项目的建设成本、运行成本和项目建成后可能的经济收益。多数项目只有建设成本能控制在企业可接受的预算内的时候,项目才有可能被批准执行。而经济收益的考虑则非常广泛,可以分为直接收益和间接收益、有形收益和无形收益,还可以分为一次性收益和非一次性收益、可定量的收益和不可定量的收益等。
要注意的是,在系统开发初期,由于用户需求和候选系统方案还没有确定,成本不可能得到准确的估算。因此,此时的经济可行性分析只能大致估算系统的成本和收益,判断信息系统的建设是否值得。
2..技术可行性
技术可行性也称为技术风险分析,研究的对象是信息系统需要实现的功能和性能,以及技术能力约束。技术可行性主要通过考虑以下问题来进行论证:
(1)技术:现有的技术能力和信息技术的发展现状是否足以支持系统目标的实现。
(2)资源:现有的资源(例如,掌握技术的员工、企业的技术积累、构件库、软硬件条件等)是否足以支持项目的实施。
(3)目标:由于在可行性研究阶段,项目的目标是比较模糊的,因此技术可行性最好与项目功能、性能和约束的定义同时进行。在可行性研究阶段,调整项目目标和选择可行的技术体系都是可以的,而一旦项目进入开发阶段,任何调整都意味着更多的开销。
需要特别指出的是,技术可行性绝不仅仅是论证在技术手段上是否可实现,实际上包含了在当前资源条件下的技术可行性。例如,开发一个计算机操作系统对于美国微软公司来说,这是可行的,但对其他绝大多数企业来说,这都是不可行的。投资不足、时间不足、预设的开发目标技术难度过大、没有足够的技术积累、没有熟练的员工可用、没有足够的合作企业和外包资源积累等都是技术可行性的约束。实践证明,如果只考虑技术实现手段而忽视企业当前的资源条件和环境,从而对技术可行性分析得出过于乐观的结果,将会对后期的项目实施导致灾难性后果。
对于技术的选择,有的企业钟情于新技术,有的则喜欢使用成熟的技术。具体要根据项目的实际情况(例如,开发环境、开发人员的素质、系统的性能要求等)进行决策,但通常的建议是尽可能采用成熟的技术,慎重引入先进技术。IT业界流行的诙谐语“领先一步是先进,领先两步是先烈”讲的就是对技术的选择原则。
3. .法律可行性
法律可行性也称为社会可行性,具有比较广泛的内容,它需要从政策、法律、道德、制度等社会因素来论证信息系统建设的现实性。例如,所开发的系统与国家法律或政策等相抵触,在政府信息化的领域中使用了未被认可的加密算法,未经许可在产品中使用了其他企业的被保护的技术或构件等,这样的项目在法律可行性上就是行不通的。
4..用户使用可行性
用户使用可行性也称为执行可行性,是从信息系统用户的角度来评估系统的可行性,包括企业的行政管理和工作制度、使用人员的素质和培训要求等,可以细分为管理可行性和运行可行性。
(1)管理可行性。管理可行性是指从企业管理上分析系统建设可行性。主管领导不支持的项目一般会失败,中高层管理人员的抵触情绪很大,就有必要等一等,先积极做好思想工作,创造条件。另外,还要考虑管理方法是否科学,相应的管理制度改革的时机是否成熟,规章制度是否齐全等。
(2)运行可行性。运行可行性也称为操作可行性,是指分析和测定信息系统在确定环境中能够有效工作,并被用户方便使用的程度和能力。例如,ERP系统建成后的数据采集和数据质量问题,企业工作人员没有足够的IT技能等。这些问题虽然与系统本身无关,但如果不经评估,很可能会导致投入巨资建成的信息系统却毫无用处。运行可行性还需要评估系统的各种影响,包括对现有IT设施的影响、对用户组织机构的影响、对现有业务流程的影响、对地点的影响、对经费开支的影响等。如果某项影响会过多改变用户的现状,需要将这些因素作进一步的讨论并和用户沟通,提出建议的解决方法。否则,系统一旦建成甚至在建设过程中,就会受到用户的竭力反对,他们会抵制使用系统。
第 19 题
- (A) 仿真
- (B) 信息
- (C) 业务流程
- (D) 组织结构
- (A) 仿真
- (B) 信息
- (C) 业务流程
- (D) 组织结构
- (A) IDEF2
- (B) IDEF3
- (C) IDEF4
- (D) IDEF5
答案与解析
- 试题难度:一般
- 知识点:企业信息化战略与实施>系统建模
- 试题答案:[['C'],['B'],['C']]
- 试题解析:IDEF是一系列建模、分析和仿真方法的统称,从IDEF0到IDEF14(包括IDEF1X在内)共有16套方法,每套方法都是通过建模程序来获取某个特定类型的信息。它们分别是IDEF0(功能建模)、IDEF1(信息建模)、IDEF1X(数据建模)、IDEF2(仿真建模设计)、IDEF3(过程描述获取)、IDEF4(面向对象设计)、IDEF5(本体论描述获取)、IDEF6(设计原理获取)、IDEF7(信息系统审计)、IDEF8(用户界面建模)、IDEF9(场景驱动信息系统设计)、IDEF10(实施架构建模)、IDEF11(信息制品建模)、IDEF12(组织建模)、IDEF13(三模式映射设计)和IDEF14(网络规划)。IDEF0的建模特点使它可以用来描述企业的业务流程,它的阶梯层次可用来描述业务流程的阶梯结构特性。从高层次看,IDEF0的功能活动与业务流程相对应;而从低层次看,功能活动与流程的业务活动相对应。利用IEDF0的活动描述方式及活动之间的联系方式,可以很好地描述业务流程的架构。IDEF0模型形象、直观、易于理解和分析,但是,这种图形化的模型没有深刻揭示业务流程的内部结构特征和规律,而且当业务流程很复杂时,所对应的有向图就成为一个相互交叉、混乱的网络,不利于分析流程的特征。
第 20 题
- (A) 概要设计和详细设计
- (B) 架构设计和对象设计
- (C) 部署设计和用例设计
- (D) 功能设计和模块设计
- (A) 用例图
- (B) 模块结构图
- (C) 系统部署图
- (D) 类图
答案与解析
- 试题难度:容易
- 知识点:系统设计>结构化设计
- 试题答案:[['A'],['B']]
- 试题解析:系统设计的主要内容包括概要设计和详细设计。概要设计又称为系统总体结构设计,它是系统开发过程中很关键的一步,其主要任务是将系统的功能需求分配给软件模块,确定每个模块的功能和调用关系,形成软件的模块结构图,即系统结构图。在概要设计中,将系统开发的总任务分解成许多个基本的、具体的任务,为每个具体任务选择适当的技术手段和处理方法的过程称为详细设计。根据任务的不同,详细设计又可分为多种,例如,网络设计、代码设计、输入/输出设计、处理流程设计、数据存储设计、用户界面设计、安全性和可靠性设计等。
第 21 题
- (A) 遵循用户认知理解
- (B) 降低用户培训成本
- (C) 置于用户控制之下
- (D) 注意资源协调方式
答案与解析
- 试题难度:容易
- 知识点:系统设计>人机界面设计
- 试题答案:[['C']]
- 试题解析:人机交互“黄金三原则”包括:置于用户控制之下、减少用户的记忆负担、保持界面的一致性。
第 22 题
- (A) 工作流执行服务
- (B) 工作流引擎
- (C) 流程定义工具
- (D) 调用应用
- (A) 客户端应用
- (B) 工作流引擎
- (C) 流程定义工具
- (D) 管理监控工具
答案与解析
- 试题难度:一般
- 知识点:系统设计>处理流程设计
- 试题答案:[['A'],['C']]
- 试题解析:工作流参考模型(Workflow Reference Model, WRM)包含六个基本模块,分别是工作流执行服务、工作流引擎、流程定义工具、客户端应用、调用应用和管理监控工具。这六个模块被认为是WFMS最基本的组成部分,WRM同时也包括了这些模块之间的接口标准,包括接口一、接口二、接口三、接口四和接口五,如图1-1所示。
图1-1 工作流参考模型(1)工作流执行服务。工作流执行服务是WFMS的核心模块,它的功能包括创建和管理流程定义,创建、管理和执行流程实例。在执行上述功能的同时,应用程序可能会通过编程接口与工作流执行服务交互,一个工作流执行服务可能包含有多个分布式工作的工作流引擎。该模块还为每个用户维护一个活动列表,告诉用户当前必须处理的任务,可以通过电子邮件或者短消息的形式提醒用户任务的到达,例如,在开通课程流程中,当新的课程申请的到来时,可以提示上级主管。
(2)工作流引擎。工作流引擎是为流程实例提供运行环境,并解释执行流程实例的软件模块,即负责流程处理的软件模块。
(3)流程定义工具。流程定义工具是管理流程定义的工具,它可以通过图形方式把复杂的流程定义显示出来并加以操作,流程定义工具与工作流执行服务交互,一般该模块为设计人员提供图形化的用户界面。通过流程定义工具,设计人员可以创建新的流程或者改变现有流程,在流程定义时,可以指定各项活动的参与者的类型、活动之间的相互关系和传递规则等。
(4)客户端应用。客户端应用是通过请求的方式与工作流执行服务交互的应用,也就是说,是客户端应用调用工作流执行服务。客户端应用与工作流执行服务交互,它是面向最终用户的界面,可以将客户端应用设计为B/S架构或C/S架构。
(5)调用应用。调用应用是被工作流执行服务调用的应用,调用应用与工作流执行服务交互。为了协作完成一个流程实例的执行,不同的工作流执行服务之间进行交互,它通常是工作流所携带数据的处理程序,常用的是电子文档的处理程序,它们在工作流执行过程中被调用,并向最终用户展示数据,这些应用程序的信息包括名称、调用方式和参数等。例如,在OA系统中,可以调用相关的程序来直接查看Word文档或者Excel表格数据等。
(6)管理监控工具。管理监控工具主要指组织机构和参与者等数据的维护管理和流程执行情况的监控,管理监控工具与工作流执行服务交互。WFMS通过管理监控工具提供对流程实例的状态查询、挂起、恢复和销毁等操作,同时提供系统参数和系统运行情况统计等数据。用户可以通过图形或者图表的方式对系统数据进行汇总与统计,并可随时撤销一些不合理的流程实例。
第 23 题
- (A) 身份验证
- (B) 用户
- (C) 通信协议
- (D) 窗口
答案与解析
- 试题难度:容易
- 知识点:需求工程>面向对象基本概念
- 试题答案:[['A']]
- 试题解析:在系统设计过程中,类可以分为三种类型,分别是实体类、边界类和控制类。1.实体类
实体类映射需求中的每个实体,实体类保存需要存储在永久存储体中的信息,例如,在线教育平台系统可以提取出学员类和课程类,它们都属于实体类。实体类通常都是永久性的,它们所具有的属性和关系是长期需要的,有时甚至在系统的整个生存期都需要。
实体类是对用户来说最有意义的类,通常采用业务领域术语命名,一般来说是一个名词,在用例模型向领域模型的转化中,一个参与者一般对应于实体类。通常可以从SRS中的那些与数据库表(需要持久存储)对应的名词着手来找寻实体类。通常情况下,实体类一定有属性,但不一定有操作。
2.控制类
控制类是用于控制用例工作的类,一般是由动宾结构的短语(“动词+名词”或“名词+动词”)转化来的名词,例如,用例“身份验证”可以对应于一个控制类“身份验证器”,它提供了与身份验证相关的所有操作。控制类用于对一个或几个用例所特有的控制行为进行建模,控制对象(控制类的实例)通常控制其他对象,因此,它们的行为具有协调性。
控制类将用例的特有行为进行封装,控制对象的行为与特定用例的实现密切相关,当系统执行用例的时候,就产生了一个控制对象,控制对象经常在其对应的用例执行完毕后消亡。通常情况下,控制类没有属性,但一定有方法。
3.边界类
边界类用于封装在用例内、外流动的信息或数据流。边界类位于系统与外界的交接处,包括所有窗体、报表、打印机和扫描仪等硬件的接口,以及与其他系统的接口。要寻找和定义边界类,可以检查用例模型,每个参与者和用例交互至少要有一个边界类,边界类使参与者能与系统交互。边界类是一种用于对系统外部环境与其内部运作之间的交互进行建模的类。常见的边界类有窗口、通信协议、打印机接口、传感器和终端等。实际上,在系统设计时,产生的报表都可以作为边界类来处理。
第 24 题
- (A) 观察者模式实现了表示层和数据层的分离
- (B) 观察者模式定义了稳定的更新消息传递机制
- (C) 在观察者模式中,相同的数据层不可以有不同的表示层
- (D) 观察者模式定义了对象之间的一种一对多的依赖关系
答案与解析
- 试题难度:一般
- 知识点:系统设计>设计模式
- 试题答案:[['C']]
- 试题解析:观察者(observer)模式。观察者模式又称为发布-订阅模式、模型-视图模式、源-监听器模式或从属者(dependents)模式,是一种对象的行为型模式。它定义了对象之间的一种一对多的依赖关系,使得每当一个对象状态发生改变时,其相关依赖对象都得到通知并被自动更新。观察者模式的优点在于实现了表示层和数据层的分离,并定义了稳定的更新消息传递机制,类别清晰,抽象了更新接口,使得相同的数据层可以有各种不同的表示层。
第 25 题
- (A) 职责链模式
- (B) 命令模式
- (C) 迭代器模式
- (D) 解释器模式
答案与解析
- 试题难度:一般
- 知识点:系统设计>设计模式
- 试题答案:[['D']]
- 试题解析:本题考查设计模式的分类,设计模式分类情况如下所示:

从图的情况来看,属于类模式的很少,只有:创建型模式中的工厂方法;结构型模式中的适配器模式;行为型模式中的解释器模式与模板方法模式。
第 26 题
- (A) CRM与ERP很好地集成
- (B) 客户群维系
- (C) 商机管理
- (D) 客户服务与支持
答案与解析
- 试题难度:一般
- 知识点:企业信息化战略与实施>企业信息化与电子商务
- 试题答案:[['A']]
- 试题解析:CRM的根本要求就是与客户建立一种互相学习的关系,即从与客户的接触中了解他们在使用产品中遇到的问题,以及对产品的意见和建议,并帮助他们加以解决。在与客户互动的过程中,了解他们的姓名、通讯地址、个人喜好以及购买习惯,并在此基础上进行“一对一”的个性化服务,甚至拓展新的市场需求。例如,用户在订票中心预订了机票之后,CRM就会根据了解的信息,向用户提供唤醒服务或是出租车登记等增值服务。因此, CRM解决方案的核心思想就是通过跟客户的“接触”,搜集客户的意见、建议和要求,并通过数据挖掘和分析,提供完善的个性化服务。一般说来,CRM可由两部分构成,分别是触发中心和挖掘中心。前者指客户和CRM通过多种方式“触发”进行沟通;后者是指对CRM记录、交流、沟通的信息进行智能分析。由此可见,一个有效的CRM解决方案应该具备以下要素:
(1)畅通有效的客户交流渠道(触发中心)。在通信手段极为丰富的今天,能否支持各种触发手段与客户进行交流,是十分关键的。
(2)对所获信息进行有效分析(挖掘中心)。采用数据挖掘和商业智能等技术对收集的信息进行分析。
(3)CRM必须能与ERP很好地集成。作为企业管理的前台,CRM的市场营销和客户服务的信息必须能及时传达到后台的财务、生产等部门,这是企业能否有效运营的关键。
CRM的实现过程包含三个方面的工作。一是客户服务与支持,即通过控制服务品质以赢得顾客的忠诚度,例如,对客户快速准确的技术支持、对客户投诉的快速反应、对客户提供产品查询等;二是客户群维系,即通过与顾客的交流实现新的销售,例如,通过交流赢得失去的客户等;三是商机管理,即利用数据库开展销售,例如,利用现有客户数据库做新产品推广测试,通过电话或电子邮件促销调查,确定目标客户群等。
第 27 题
- (A) 制造商
- (B) 供应商
- (C) 配送中心
- (D) 视频会议
答案与解析
- 试题难度:容易
- 知识点:企业信息化战略与实施>企业信息化与电子商务
- 试题答案:[['D']]
- 试题解析:SCM是企业的有效性管理,表现了企业在战略和战术上对业务流程的优化。整合并优化了供应商、制造商、零售商的业务效率,使商品以正确的数量、正确的品质、在正确的地点、以正确的时间、最佳的成本进行生产和销售。SCM包括计划、采购、制造、配送、退货五大基本内容。(1)计划:这是SCM的策略性部分。企业需要有一个策略来管理所有的资源,以满足客户对产品的需求。好的计划是建立一系列的方法监控供应链,使它能够有效、低成本地为顾客递送高质量和高价值的产品或服务。
(2)采购:选择能为企业提供产品和服务的供应商,与供应商建立一套定价、配送和付款流程,并监控和改善管理。
(3)制造:安排生产、测试、打包和准备送货所需的活动,是供应链中测量内容最多的部分,包括质量水平、产品产量和工人的生产效率等的测量。
(4)配送:也称为物流,是调整用户的订单收据、建立仓库网络、派递送人员提货并送货到顾客手中、建立产品计价系统、接收付款。
(5)退货:这是供应链中的问题处理部分。建立网络接收客户退回的次品和多余产品,并在客户应用产品出问题时提供支持。
第 28 题
- (A) 主观洞察力和产品说明书
- (B) 科学原理和个人直觉
- (C) 企业文化和资料手册
- (D) 可以用规范方式表达的知识和可编码结构化的知识
答案与解析
- 试题难度:容易
- 知识点:企业信息化战略与实施>企业信息系统
- 试题答案:[['B']]
- 试题解析:知识可分为两类,分别是显性知识(explicit knowledge)与隐性知识(tacit knowledge)。凡是能以文字与数字来表达,而且以资料、科学法则、特定规格及手册等形式展现者皆属显性知识。这种知识随时都可在个人之间相互传送;隐性知识是相当个人化而富弹性的东西,因人而异,很难用公式或文字来加以说明,因而也就难以流传或与别人分享。个人主观的洞察力、直觉与预感等皆属隐性知识。隐性知识深植于个人的行动与经验之中,同时也储藏在一个人所抱持的理想与价值或所珍惜的情怀之中。

第 29 题
- (A) C2B
- (B) B2C
- (C) B2B
- (D) C2C
答案与解析
- 试题难度:容易
- 知识点:企业信息化战略与实施>企业信息化与电子商务
- 试题答案:[['A']]
- 试题解析:在题目所述的场景中独立咨询师属于个人,即C,而企业属于B,所以这种类型的电子商务应属于C2B。
第 30 题
- (A) 数据库子系统、模型库子系统、数据解析子系统和数据查询子系统
- (B) 数据库、数据字典、数据解析模块和数据查询模块
- (C) 数据库子系统、模型库子系统、决策算法子系统
- (D) 数据库子系统、模型库子系统、推理部分和用户接口子系统
答案与解析
- 试题难度:一般
- 知识点:企业信息化战略与实施>企业信息系统
- 试题答案:[['D']]
- 试题解析:决策支持系统(Decision Support System,DSS)是辅助决策者通过数据、模型和知识,以人机交互方式进行半结构化或非结构化决策的计算机应用系统。它是MIS向更高一级发展而产生的先进信息系统。它为决策者提供分析问题、建立模型、模拟决策过程和方案的环境,调用各种信息资源和分析工具,帮助决策者提高决策水平和质量。但是,DSS不可以代替决策者。DSS基本结构主要由四个部分组成,分别是数据库子系统、模型库子系统、推理部分和用户接口子系统,如图2所示。
图2 DSS基本结构
第 31 题
- (A) 设计局部视图→抽象数据→修改重构消除冗余→合并取消冲突
- (B) 设计局部视图→抽象数据→合并取消冲突→修改重构消除冗余
- (C) 抽象数据→设计局部视图→合并取消冲突→修改重构消除冗余
- (D) 抽象数据→设计局部视图→修改重构消除冗余→合并取消冲突
答案与解析
- 试题难度:一般
- 知识点:数据库系统>数据库设计阶段
- 试题答案:[['C']]
- 试题解析:本题考查的是数据库概念结构设计具体步骤。题目选项所展示的四个步骤中,有两个是我们熟知的:设计局部视图和合并取消冲突。所以解题的关键点,是分析清楚另外两个步骤到底是完成什么任务。从题目选项来看,无非是分析抽象数据与设计局部视图谁先谁后,以及合并取消冲突与修改重构消除冗余谁先谁后的问题。抽象数据是将实际数据的特征提取出来以便建立模型,所以抽象数据应在设计局部视图之前。
而修改重构消除冗余应在合并取消冲突之后,因为重构往往意味着在调优,调优是需要先有雏形的。
第 32 题
- (A) 只允许记录一个亲属的姓名、与员工的关系以及联系电话
- (B) 可以不作任何处理,因为该关系模式达到了 3NF
- (C) 增加多个家庭成员、关系及联系电话字段
- (D) 应该将家庭成员、关系及联系电话加上员工号设计成一个独立的模式
答案与解析
- 试题难度:容易
- 知识点:数据库系统>规范化理论
- 试题答案:[['D']]
- 试题解析:题目中员工允许有多个家庭成员,此时如果要把多个家庭成员都记录下来,必然造成表中数据的冗余。此时采用拆分表格的方式来处理是最理想的状态。
第 33 题
- (A) CD
- (B) ABD
- (C) ACD
- (D) ADE
- (A) 具有无损连接性,且保持函数依赖
- (B) 不具有无损连接性,但保持函数依赖
- (C) 具有无损连接性,但不保持函数依赖
- (D) 不具有无损连接性,也不保持函数依赖
答案与解析
- 试题难度:一般
- 知识点:数据库系统>规范化理论
- 试题答案:[['A'],['D']]
- 试题解析:根据题意可绘制出函数依赖图:

从图可以看出,入度为0的结点只有C与D,而两者的结合能遍历全图,所以CD为候选键。
用公式法判断是否为无损分解,由于R1∩R2=C,而原关系中没有C->*的函数依赖,所以可以断定,分解为有损分解。
判断是否保持函数依赖,由于函数依赖D->A未被保存下来,所以此分解不是保持函数依赖的分解。
第 34 题
关系运算,与该关系表达式等价的是( )。SELECT A1,A4 FROM R, S WHERE R. A2 <‘2017’( )
(注意:原选项有误,现已修正)
- (A)
- (B)
- (C)
- (D)
- (A)
- (B)
- (C)
- (D)
答案与解析
- 试题难度:一般
- 知识点:数据库系统>关系代数
- 试题答案:[['D'],['C']]
- 试题解析:本题前一空分析:A选项的关系代数表达式,错误之处在于选择的两个条件不应为“或”关系。
B选项的关系代数表达式,错误之处在于R与S仅做了笛卡尔积的操作,并没有把相同属性列做等值判断。应加上:2=4及3=5的选择条件才对。
C选项的关系代数表达式,与B选项有相同错误,同时投影列号还不正确。
后面一空,首先值得说明的是,选项中有一个共同的错误,即
“S.
A4 <’95’”</span> 应修改为“S.
A4 =’95’”。
选项中几个条件都是正确的,需要选择的,其实只是使用AND还是OR来进行连接。由于进行自然连接以及相关条件判断都是同时要成立的,所以必须都要用AND进行连接。
第 35 题
假设某文件系统的文件索引表有i-addr[0],i-addr[1] ,…, i-addr[7]共 8个地址项,每个地址项大小为 4 字节,其中 5 个地址项 (i-addr[0]~i-addr[4] )为直接地址索引,2个地址项 (i-addr[5]~i-addr[6])是一级间接地址索引,1个地址项 (i-addr[7] )是二级间接地址索引,磁盘索引块和磁盘数据块大小均为1KB。若要访问文件的逻辑块号分别为5和518,则系统应分别采用( )。
- (A) 直接地址索引和一级间接地址索引
- (B) 直接地址索引和二级间接地址索引
- (C) 一级间接地址索引和二级间接地址索引
- (D) 二级间接地址索引和一级间接地址索引
答案与解析
- 试题难度:一般
- 知识点:操作系统>索引文件
- 试题答案:[['C']]
- 试题解析:依题意,有5个地址项为直接地址索引,所以直接地址索引涉及到的逻辑块号为:0-4。2个地址项为一级间接索引,每个一级间接索引结点对应的逻辑块个数为:1KB/4B=256个。所以一级间接索引涉及到的逻辑块号为:5-516。
二级间接索引所对应的逻辑块号即为:517以上。
所以逻辑块号5与518分别对应:一级间接索引与二级间接索引。
第 36 题

- (A) 41
- (B) 71
- (C) 90
- (D) 123
- (A) 15
- (B) 18
- (C) 24
- (D) 54
答案与解析
- 试题难度:一般
- 知识点:操作系统>其它
- 试题答案:[['C'],['B']]
- 试题解析:本题通过画时空图求解。
不过本题求出的三个任务总时长应为:87,它与90最接近,所以选C。
CPU空闲时间为:18ms。
第 37 题

若用 PV 操作控制这6个进程的同步与互斥的程序如下,那么程序中的空①和空②处应分别为( ); 空③和空④处应分别为( );空⑤和空⑥处应分别为( )。

>- (A) V (S1) V (S2) 和 P (S2) >- (B) P (S1) P (S2) 和 V (S2) >- (C) V (S1) V (S2) 和 P (S1) >- (D) P (S1) P (S2) 和 V (S1) >- (A) V (S3) 和 V (S5) V (S6) >- (B) P (S3) 和 V (S5) V (S6) >- (C) V (S3) 和 P (S5) P (S6) >- (D) P (S3) 和 P (S5) P (S6) >- (A) P (S6) 和 P (S7) V (S8) >- (B) V (S6) 和 V (S7) V (S8) >- (C) P (S6) 和 P (S7) P (S8) >- (D) V (S7) 和 P (S7) P (S8) **答案与解析** - 试题难度:一般 - 知识点:操作系统>信号量与PV操作 - 试题答案:[['C'],['B'],['D']] - 试题解析:
- (A) 线性规划问题的可行解区一定存在
- (B) 如果可行解区存在,则一定有界
- (C) 如果可行解区存在但无界,则一定不存在最优解
- (D) 如果最优解存在,则一定会在可行解区的某个顶点处达到
答案与解析
- 试题难度:一般
- 知识点:数学与经济管理>线性规划
- 试题答案:[['D']]
- 试题解析:线性规划问题的求解结果可能出现以下几种情况:得到的最优解是唯一的,无穷多最优解(多重解),无界解(无最优解),无可行解。当求解结果出现后两种情况时,一般说明线性规划问题的数学模型有错误。无界解源于缺乏必要的约束条件,无可行解源于矛盾的约束条件。当线性规划问题的可行域非空时,它是有界或无界凸多边形。若线性规划问题存在最优解,它一定在可行域的某个顶点得到;若在两个顶点同时得到最优解,则它们连线上的任意一点都是最优解,即有无穷多最优解。
第 39 题
④调整并优化模型 ⑤解释输出的结论
>- (A) ①② >- (B) ①⑤ >- (C) ③④ >- (D) ④⑤ **答案与解析** - 试题难度:容易 - 知识点:数学与经济管理>数学建模 - 试题答案:[['B']] - 试题解析:

在工程实施了10周后,经理对进度进行了检查,结果是:作业A和B已经完成,作业D完成了30% ,作业E完成了 25% ,其他作业都还没有开始。
如果随后完全按原计划实施,则总工期将( )完成。
>- (A) 20 >- (B) 25 >- (C) 33 >- (D) 41 >- (A) 提前1周 >- (B) 推迟1周 >- (C) 推迟2周 >- (D) 推迟3周 **答案与解析** - 试题难度:一般 - 知识点:项目管理>时间管理 - 试题答案:[['A'],['B']] - 试题解析:

10周后作业A与作业B已经完成,作业D完成了30%,作业E完成了25%。说明D已完成3周的工作量,还需要7周完成,E完成了2周的工作量,还要6周完成。所以接下来DG的长度为11,EG长度为10。加上已完成部分的10周时间,一共为21周完成,所以工期将延误1周。
### 第 41 题

- (A) 120
- (B) 130
- (C) 140
- (D) 150
答案与解析
- 试题难度:一般
- 知识点:数学与经济管理>最短路径
- 试题答案:[['B']]
- 试题解析:本题实际上是求最短路径的问题。从起点到终点,有多条路径,把最短的一条求出来即可。该路径为:ABEGI,长度是:130。
第 42 题
- (A) 110
- (B) 120
- (C) 130
- (D) 140
答案与解析
- 试题难度:一般
- 知识点:数学与经济管理>预测与决策
- 试题答案:[['B']]
- 试题解析:

第 43 题
已知八口海上油井(编号从1#到 8#) 相互之间的距离(单位:海里)如下表所示,其中 1#油井离海岸最近为 5 海里。现从海岸开始铺设输油管道,经 1#油井将这些油井都连接起来,管道的总长度至少为( )海里(为便于计量和维修,管道只能在油井处分叉)。



- (A) 45
- (B) 50
- (C) 55
- (D) 60
答案与解析
- 试题难度:容易
- 知识点:数学与经济管理>动态规划
- 试题答案:[['C']]
- 试题解析:按题意,X、Y、Z三个分厂的最大需求是60吨,但A、B、C的供货总量为55吨。此时,总的供应量不可能超过55吨,接下来需要分析的,就是在运输过程中,有没有瓶颈,会不会导致运出的货物无法到达目的地的情况,经分析未发现此情况,所以最多原料供应量为55吨。
第 45 题
- (A) 可用性
- (B) 安全性
- (C) 健壮性
- (D) 可伸缩性
- (A) 可靠性
- (B) 资源利用率
- (C) 系统负载
- (D) 吞吐量
答案与解析
- 试题难度:容易
- 知识点:系统配置与性能评价>性能指标
- 试题答案:[['A'],['B']]
- 试题解析:计算机系统的性能一般包括两个大的方面。一个方面是它的可靠性或可用性,也就是计算机系统能正常工作的时间,其指标可以是能够持续工作的时间长度(例如,平均无故障时间),也可以是在一段时间内,能正常工作的时间所占的百分比;另一个方面是它的处理能力或效率,这又可分为三类指标,第一类指标是吞吐率(例如,系统在单位时间内能处理正常作业的个数),第二类指标是响应时间(从系统得到输入到给出输出之间的时间),第三类指标是资源利用率,即在给定的时间区间中,各种部件(包括硬设备和软件系统)被使用的时间与整个时间之比。当然,不同的系统对性能指标的描述有所不同,例如,计算机网络系统常用的性能评估指标为信道传输速率、信道吞吐量和容量、信道利用率、传输延迟、响应时间和负载能力等。
第 46 题
- (A) 真彩色
- (B) 伪彩色
- (C) 直接色
- (D) 矢量
答案与解析
- 试题难度:一般
- 知识点:多媒体基础>多媒体技术基本概念
- 试题答案:[['B']]
- 试题解析:伪彩色(Pseudo-color)图像的每个像素值实际上是一个索引值或代码,该代码值作为色彩查找表CLUT(Color Look-Up Table)中某一项的入口地址,根据该地址可查找出包含实际R、G、B的强度值。这种用查找映射的方法产生的色彩称为伪彩色。
第 47 题
JPG全名是JPEG,JPEG图片以 24 位颜色存储单个位图。JPEG 是与平台无关的格式,支持最高级别的压缩,不过,这种压缩是有损耗的。渐近式 JPEG 文件支持交错。
所以选项中只有MPG是视频文件格式。
MPEG是运动图像压缩算法的国际标准,现已被几乎所有的计算机平台支持。它包括MPEG-1,MPEG-2,MPEG-4等。MPEG-1被广泛地应用在VCD(video compact disk)的制作,绝大多数的VCD采用MPEG-1格式压缩。MPEG-2应用在DVD(Digital Video/Versatile Disk)的制作方面、HDTV(高清晰电视广播)和一些高要求的视频编辑、处理方面。MPEG格式视频的文件扩展名通常是MPEG或MPG。
### 第 48 题
- (A) 单模光纤的纤芯直径更细
- (B) 单模光纤采用 LED 作为光源
- (C) 多模光纤比单模光纤的传输距离近
- (D) 多模光纤中光波在光导纤维中以多种模式传播
答案与解析
- 试题难度:一般
- 知识点:计算机网络>其它
- 试题答案:[['B']]
- 试题解析:多模光纤一般采用LED光源,而单模光纤则采用极为昂贵的激光作为光源体。
第 49 题
- (A) 反向毒化
- (B) 乒乓反弹
- (C) 水平分割法
- (D) 垂直划分法
- (A) 支持 CIDR
- (B) 解决路由环路
- (C) 扩大最大跳步数
- (D) 不使用广播方式更新报文
答案与解析
- 试题难度:一般
- 知识点:计算机网络>其它
- 试题答案:[['C'],['B']]
- 试题解析:RIP协议存在的一个问题就是当网络出现故障的时候,要经过比较长的时间才能把信息传送到所有的路由器。在这个中间过程中,实际就是路由环路问题:当发生路由环路的时候,路由表会频繁的进行变化,从而导致路由表中的一条或者几条,都无法收敛,结果会使得网络处于瘫痪或半瘫痪状态。水平分隔:从一个方向学来的路由信息,不能再放入发回那个方向的路由更新包,并又发回那个方向。
第 50 题
- (A) 分支区域
- (B) 标准区域
- (C) 主干区域
- (D) 存根区域
答案与解析
- 试题难度:一般
- 知识点:计算机网络>其它
- 试题答案:[['D']]
- 试题解析:Stub区域是一种比较特殊的区域,因为它不能像其他区域那样,经过该区域中的ABR接收其他OSPF AS路由。在Stub区域的内部路由器仅需要配置一条到达该区域ABR的默认路由(0.0.0.0 0.0.0.0)来实现与同一AS中不同区域间的路由,这样可使得这些区域中内部路由器的路由表的规模以及路由信息传递的数量都会大大减少。
第 51 题
- (A) ifconfig
- (B) config
- (C) ip-address
- (D) ipconfig
答案与解析
- 试题难度:一般
- 知识点:计算机网络>网络故障诊断
- 试题答案:[['A']]
- 试题解析:在Linux中为计算机配置IP地址的命令为ifconfig,而在Windows中,为计算机配置IP地址的命令为ipconfig。
第 52 题
- (A) 80
- (B) 88
- (C) 8080
- (D) 880
- (A) RSA
- (B) SSL
- (C) SSH
- (D) SHA-1
答案与解析
- 试题难度:容易
- 知识点:计算机网络>TCP/IP协议族
- 试题答案:[['A'],['B']]
- 试题解析:HTTP是超文本传输协议,它采用的标准端口号为:80。HTTPS=HTTP+SSL,所以HTTPS中使用了SSL作为加密协议。
第 53 题
- (A) System logical modeling
- (B) use case modeling
- (C) requirements modeling
- (D) application modeling
- (A) systems planning phase
- (B) systems modeling phase
- (C) systems analysis phase
- (D) systems design phase
- (A) system charter
- (B) system scope definition
- (C) system blueprint
- (D) system requirements document
- (A) application architecture
- (B) system data model
- (C) system process model
- (D) implement environment
- (A) system architecture description
- (B) system design specification
- (C) system technique architecture
- (D) physical deployment architecture
答案与解析
- 试题难度:一般
- 知识点:专业英语>专业英语
- 试题答案:[['C'],['A'],['D'],['A'],['B']]
- 试题解析:系统分析阶段的目的是建立新系统的逻辑模型。第一步是_____,调查业务流程并记录新系统必须做哪些以满足用户需求。这一步继续在____开始的调查。你可以使用事实调查结果构建业务模型,数据和流程模型以及对象模型。系统分析阶段的可交付成果是____,它描述了管理和用户要求,成本和收益,并概述了替代发展策略。系统设计阶段的目的是创建一个能够满足系统所有文件化要求的物理模型。在系统设计阶段,你需要确定_,哪些程序员将把逻辑设计转换为程序模块和代码。该阶段的可交付成果是__,提交给管理层和用户审查和批准。
A、System logical modeling 系统逻辑建模
B、use case modeling 用例建模
C、requirements modeling 需求建模
D、application modeling 应用建模
A、systems planning phase 系统规划阶段
B、systems modeling phase 系统建模阶段
C、systems analysis phase 系统分析阶段
D、systems design phase 系统设计阶段
A、system charter 系统章程
B、system scope definition 系统范围定义
C、system blueprint 系统蓝图
D、system requirements document 系统要求文件
A、application architecture 应用架构
B、system data model 系统数据模型
C、system process model 系统过程模型
D、implement environment 实施环境
A、system architecture description 系统架构描述
B、system design specification 系统设计规范
C、system technique architecture 系统技术架构
D、physical deployment architecture 物理部署架构







